§2. Формула Пуассона
При больших значениях числа испытаний
применение формулы Бернулли (4.1.2)
затруднительно. Поэтому применяются
простые, но достаточно точные приближенные
формулы для вычисления
.
Пусть число испытаний
достаточно «велико», вероятность
«успеха»
достаточно «мала». Пусть произведение
(4.2.1)
и не мало, и
не велико. В таких случаях удобно
использовать для вероятности
предложенное Пуассоном приближение
(формула Пуассона), которое мы сейчас
выведем. По формуле Бернулли (4.1.2)
(4.2.2)
При и сделанных выше допущениях очевидны следующие приближения:
,
.
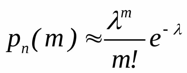
Следовательно, (4.2.2) примет вид:
,(4.2.3)
а это и есть формула Пуассона.
Замечание.При выводе формулы
Пуассона (4.2.3) использовалось то, что
мало.
Замечание.Формула Пуассона (4.2.3)
зависит от
и
.
Значения функции (4.2.2) можно определить
следующими способами:
можно воспользоваться Приложением 1;
используя функцию ПУАССОН(x;среднее;интегральная) изEXCEL; в которой аргументxравен числу «успехов»
,
аргумент «среднее» равен
,
аргумент «интегральная» должен равняться
0;используя функцию dpois(k, l)изMATHCAD, в которой
и
.
Пример 4.Найти вероятность того, что среди 1460 человек ровно трое родились 29 февраля.
Решение.Вероятность того, что
один конкретный человек родился 29
февраля, равна
,
т.к. 29 февраля бывает ровно 1 раз в 4 года.
Далее находим коэффициент 
.
Применяя (4.2.2), получаем:
.
Пример 5.Вероятность попадания в цель при каждом выстреле равна 0,001. Найти вероятность того, что при 5000 выстрелах в цель попало не менее двух выстрелов.
Решение. Рассмотрим два противоположных события:
— при 5000 выстрелах в цель попало не
менее двух выстрелов;
— при 5000 выстрелах в цель попало менее
двух выстрелов.
Найдем вероятность события
:
.
В рассматриваемом примере
.
Используя формулу Пуассона, получим
.
Используя свойство вероятности противоположного события, получим.
§3. Формулы Муавра – Лапласа
Если в схеме Бернулли , , , (4.3.1)
то следует применять формулы Муавра – Лапласа: локальную или интегральную.
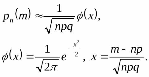
Локальная теорема Муавра‑Лапласа(без доказательства). Если в схеме
Бернулли
,
то для всех
справедлива локальная формула
Муавра‑Лапласа:
(4.3.2)
Значения функции
,
которую называютплотностью нормального
распределенияс параметрами
,
можно найти одним из следующих способов:
можно воспользоваться Приложением 2;
используя функцию НОРМРАСП(
x;среднее;стандартное_откл;интегральная) изEXCEL; в которой «среднее» необходимо положить равным 0, аргумент «стандартное_откл» необходимо положить равным 1, аргумент «интегральная» должен равняться 0.используя функцию dnorm(x, mu, sigma)изMATHCAD, в которой
и.
Очевидно, что функция
является четной. Поэтому при определении
для отрицательных
нужно воспользоваться равенством.
Интегральная теорема Муавра‑Лапласа(без доказательства). Если в схеме
Бернулли число испытаний,
то для вероятноститого, что число успехов
заключено в пределах от
,
справедлива интегральная теорема
Муавра‑Лапласа:(4.3.3)
Функция
,
определенная формулой (4.3.3), называется
функцией распределения нормального
распределения с параметрами
.
Значения функции
можно найти одним из следующих способов:
можно воспользоваться Приложением 3;
используя функцию НОРМРАСП(x;среднее;стандартное_откл;интегральная) изEXCEL; в которой «среднее» необходимо положить равным 0, аргумент «стандартное_откл» необходимо положить равным 1, аргумент «интегральная» должен равняться 1.
- используя функцию pnorm(x, mu, sigma)изMATHCAD, в которой
и.
Функцию
при отрицательных значениях переменной
можно определить по формуле.
Замечание. Наряду с функцией
используют функцию
. (4.3.4)
Для нее
справедливо равенство
;
она связана с функцией
равенством
. (4.3.5)
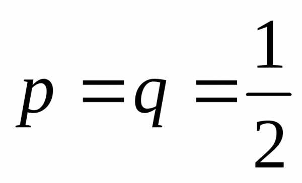
Пример 6. Симметричную монету бросают 400 раз. Определить вероятность появления герба:
а) от 185 до 210 раз;
б) ровно 200 раз;
в) не менее 200 раз.
Решение. Для решения задачи применим локальную и интегральную теоремы Муавра‑Лапласа, для которых
,
т.к. монету подбрасывали 400 раз,
,
т.к. монета симметрична.
а) Используя интегральную теорему Муавра‑Лапласа, получим
б) Используя локальную теорему Муавра‑Лапласа, получим
;
в) Используя интегральную теорему Муавра‑Лапласа, получим
.
Пример 7.Команда состоит из 10 отличных и 15 хороших стрелков. Каждый стрелок производит по своей мишени 5 независимых выстрелов. Отличный стрелок при каждом выстреле попадает в цель с вероятностью 0,9, хороший — с вероятностью 0,8. Определить вероятность того, что общее число попаданий будет не менее 110.
Решение.Найдем вероятность
попадания при одном выстреле для
произвольного стрелка. Для этого
воспользуемся формулой полной вероятности.
Пусть искомое событие
— стреляет отличный стрелок;
— стреляет хороший стрелок.
Очевидно, что:
,,,.
Отсюда получаем:
,.
Заметим, что общее число выстрелов
.
Теперь найдем вероятность того, что при 125 выстрелах число попаданий будет не менее 110. Для этого применим интегральную теорему Муавра‑Лапласа:
,
,
.
Пример 8.Вероятность попадания в мишень при одном выстреле
.
Найти наименьшее число выстрелов,
которое надо произвести по мишени, чтобы
с вероятностью 0,95 число попаданий было
не менее 70. Решение.По условию задачи.
Для вычисления
применим интегральную теорему Муавра
– Лапласа:
Заметим, что
мы использовали то, что при больших
значениях 

.
Далее получаем
.
Используя Приложение 3 находим, что
.
,
получаем, что n=132 .studfiles.net
6.4. Формула Пуассона
вероятностью p = 0.7 . Найти наиболее вероятное число m0 людей, которые придут на собрание, и соответствующую вероятность Pn (m0 ) .
Решение. Поскольку P50 (m0 ) =C50m0 (0,7)m0 (0,3)50−m0 , то задача состоит в отыскании неотрицательного целого числа m0 ≤50 ,доставляющего максимум функции P50 (m0 ) . Мы видели выше, что такое число дается формулой (6.4). В
нашем случае n =50, p = 0.7 . | Подставляя эти | значения в (6.4), получим: |
51 0.7 −1< m0 ≤51 0.7 , т.е. | 34.7 < m0 <35.7 , | и m0 =35 . Вероятность |
P50 (35) =C5035 (0.7)35 (0.3)15 ≈ 0.123.
Формулы (6.1) и (6.3) дают точныезначениявероятностей, связанных со схемой независимых испытаний Бернулли. Однако вычисления по этим формулам, особенно при больших значениях n и m, весьма затруднительны. Представляет большой практический интерес получение достаточно простых приближенных формул для вычисления соответствующих вероятностей. Впервые подобную формулу вывел в 1837 году французский математик и физик Симон Пуассон (1781–1840). Ниже дается формулировка результата Пуассона.
Рассмотрим схему независимых испытаний Бернулли, в которой число испытаний n «относительно велико», вероятность «успеха» p «относительно мала», а произведение λ = np «не мало и не велико»41. При этих условиях справедлива формула
b(k; n, p) ≈ | λk | e−λ, λ = np . | (6.6) |
| k! |
|
|
Это – знаменитое пуассоновское приближение для биномиального распределения. Доказательство формулы (6.6) будет дано в дополнении к настоящему параграфу.
41 Точный смысл взятых в кавычки терминов будет объяснен ниже, в частности, в § 6д.
90
Функция, стоящая в правой части формулы (6.6), называется
распределением Пуассона:
p(k, λ) = | λk | e-λ; k = 0,1,2,…; λ > 0. | (6.7) |
| k! |
|
|
При таком обозначении p(k, λ) будет приближенным выражением для вероятности b(k; n, λn), когда n «достаточно велико».
Прежде, чем обсуждать формулу (6.6), приведем весьма показательные примеры ее использования.
Значения биномиального распределения и значения распределения Пуассона при n =100, p = 0.01, λ =1 представлены в табл. 6.2. Как мы видим, точность приближенной формулы достаточно высока.
Чем больше n, тем выше точность формулы Пуассона. Это наглядно представляет следующий пример. Вычислим вероятность pk того, что в обществеиз500человекровно k человекродилисьводинитотжеконкретный день года. Если эти 500 человек выбраны наугад, то можно применить схему Бернулли из n =500 испытаний с вероятностью «успеха» p =1365 . Вычисления по точной формуле (6.1) и приближенной формуле (6.6) при λ =500365≈1,3699 представлены в табл. 6.3. Как мы видим, ошибка лишь в четвертом десятичном знаке, что вполне приемлемо для практики.
|
|
| Таблица 6.2 |
|
|
|
|
k | b (k; 100, 1.100) |
| p (k; 1) |
|
|
|
|
0 | 0,366032 |
| 0,367879 |
|
|
|
|
1 | 0,369730 |
| 0,367879 |
|
|
|
|
2 | 0,184865 |
| 0,183940 |
|
|
|
|
3 | 0,060999 |
| 0,061313 |
|
|
|
|
4 | 0,014942 |
| 0,015328 |
|
|
|
|
5 | 0,002898 |
| 0,003066 |
|
|
|
|
6 | 0,000463 |
| 0,000511 |
|
|
|
|
|
| 91 |
|
7 | 0,000063 | 0,000073 |
|
|
|
8 | 0,000007 | 0,000009 |
|
|
|
9 | 0,000001 | 0,000001 |
|
|
|
Таблица 6.3.
| k | b(k; 500,1/ 365) | p(k, λ) |
|
|
|
|
|
|
| 0 | 0,2537 | 0,2541 |
|
|
|
|
|
|
1 | 0,3484 | 0,3481 |
| |
|
|
|
|
|
2 | 0,2388 | 0,2385 |
| |
|
|
|
|
|
3 | 0,1089 | 0,1089 |
| |
|
|
|
|
|
4 | 0,0372 | 0,0373 |
| |
|
|
|
|
|
5 | 0,0101 | 0,0102 |
| |
|
|
|
|
|
6 | 0,0023 | 0,0023 |
| |
|
|
|
|
|
Рассмотрим следующий типичный пример на применение формулы | ||||
Пуассона. |
|
|
| |
Пусть известно, что вероятность «сбоя» в работе телефонной станции при каждом вызове равна 0,002. Поступило 1000 вызовов. Определить вероятность того, что при этом произойдет 7 «сбоев».
Решение. Естественно предположить, что в обычных условиях вызовы, поступающие на телефонную станцию – независимы друг от друга. Будем считать «успехом» в испытании – вызове – сбой телефонной станции. Вероятность сбоя ( p = 0,002 ) можно считать «достаточно малой» величиной, а число вызовов ( n =1000 ) – «достаточно большим». Таким образом, мы находимся в условиях теоремы Пуассона. Для параметра λ получаем значение
λ = 0,002 1000= 2 . Поэтому, | по | формуле Пуассона, получаем для |
интересующей нас вероятности числа сбоев величину | ||
p(7, 2) = | 27 e−2 | ≈ 0,0034 . |
| 7! |
|
Обсудим теперь пределы применимости формулы Пуассона. При
92
использовании любой приближенной формулы вопрос о пределах ее применимости возникает естественным образом. При этом мы встречаемся с двумя аспектами проблемы. Во-первых, закономерен вопрос о том, в каких реальных условиях применим закон Пуассона? Опыт показывает, что простое распределение Пуассона обладает сравнительно универсальной применимостью. Вообще, с точки зрения применений, математические теоремы бывают хорошими и плохими в следующем смысле: хорошие теоремы продолжают действовать, если даже нарушить их условия, а плохие сразу перестают быть верными при нарушении условий их вывода. Теорема Пуассона (6.6) является в этом смысле хорошей и даже превосходной. Именно, закон Пуассона продолжает действовать даже тогда, когда условия схемы Бернулли нарушаются (т.е. можно допускать переменную вероятность успеха и даже не слишком сильную зависимость результатов отдельных испытаний)42. Можно даже утверждать, что распределение Пуассона обладает сравнительно универсальной применимостью. Это надо понимать в том смысле, что если экспериментальные данные показывают, что закон Пуассона неприменим, в то время как, сообразно со здравым смыслом, он должен был бы действовать, то естественнее подвергнуть сомнению статистическую устойчивость наших данных, чем искать какой-то другой закон распределения.Инымисловами,распределениеПуассонапредставляетсобой очень удачную математическую формулировку одного из универсальных (в рамках применимости теории вероятностей) законов природы.
Во-вторых, возникает вопрос о порядках величин тех параметров, которые входят в формулу Пуассона, и для которых выше мы использовали расплывчатые термины «относительно велико», «относительно мало», «не малоиневелико».Опятьже,разъясняющиеответыдаетпрактикаприменения формулы (6.6). Оказывается, что формула Пуассона достаточно точна для практического применения, если число испытаний n имеет порядок
42 Естественно, этими особенностями распределения Пуассона не следует злоупотреблять. Например, закон Пуассона заведомо нарушается в ситуациях сильной зависимости результатов отдельных испытаний.
93
нескольких десятков (лучше – сотен), а величина параметра λ = np лежит в пределах от 0 до 10.
Для иллюстрации применения формулы Пуассона, рассмотрим еще один пример.
Пусть известно, что на выпечку 1000 сладких булочек с изюмом полагается 10 000 изюмин. Требуется найти распределения числа изюмин в какой-то случайным образом выбранной булочке.
Решение. Последовательность независимых испытаний мы формируем следующим образом. Всего будет n =10 000 испытаний (по числу изюмин), а именно: испытание с номером k будет состоять в том, что мы определяем, попалалиизюминасномеромk внашуслучайновыбраннуюбулочку43. Тогда, поскольку всего булочек 1000, вероятность того, что k-я изюмина попала именно в нашу булочку, есть p =1/1000 (при условии достаточно хорошего перемешивания теста при приготовлении булочек). Применяем теперь распределение Пуассона с параметром λ = np =10000 11000=10. Получим:
P10000 (k) ≈ p(k,10) =10k e−10 .
k!
В частности, вероятность того, что нам достанется булочка вовсе без изюма (k = 0) , равна e−10 ≈ 0,5 10−4 . Наиболее вероятное число изюмин будет, согласно формуле (6.4), равно 10. Соответствующая вероятность
P10000 (10) ≈1010 e−10 ≈ 0,125 . 10!
Пример с булочками и изюминами, несмотря на его приземленную формулировку, носит весьма общий характер. Так, вместо изюмин в булочках можно говорить, например, о числе бактерий в капле воды, взятой из хорошо перемешанного ведра. Другой пример. Предположим, что атомы радиоактивного вещества распадаются независимо друг от друга, причем в течение данного интервала времени распад данного атома происходит с
43 Заметим, что на покупку булочки в магазине вполне можно смотреть как на случайный выбор.
94
studfiles.net
Формула Пуассона. Примеры вычисления
Если вероятность появления события в отдельном испытании достаточно близка к нулю , то даже при больших значениях количества испытаний вероятность, вычисляемая по локальной теореме Лапласа, оказывается недостаточно точной. В таких случаях используют формулу, выведенную Пуассоном.
ТЕОРЕМА ПУАССОНА
Если вероятность наступления события в каждом испытании постоянна, но достаточно мала, число независимых испытаний достаточно велико, при этом сочетания меньше десяти то вероятность того, что в количестве испытаниях событие наступит ровно раз примерно равна
где
Для формулы Пуассона используют таблицы табулирования функции .
——————————-
Рассмотрим примеры типичных для студентов задач.
Пример 1. Автобиография писателя издается тиражом в 1000 экземпляров. Для каждой книги вероятность быть неправильно сброшюрованной равна 0,002. Найти вероятность того, что тираж содержать ровно 7 бракованных книг.
Решение. Проверим выполнение условия теоремы Пуассона. Для входных значений
получим
что условия выполняются.
По табличным значениям функции Пуассона находим вероятность
Применения к этому событию локальную теорему Лапласа получим
Точное значение вероятности определяем по формуле Бернулли
Из анализа трех методов следует, что формула Пуассона дает более точнее приближения, чем формула Лапласа. Именно поэтому ее рекомендуют применять для отыскания вероятности в такого сорта задачах.
——————————-
Пример 2. Вероятность изготовления нестандартной детали равна 0,004. Найти вероятность того, что среди 1000 деталей окажется 5 нестандартных.
Решение. Имеем даные , которые удовлетворяют требования теоремы Пуассона По таблице функции Пуассона при получим:
Найдем вероятность того же события по локальной теореме Лапласа.
Для ,
искомая вероятность:
Точное значение вычисляем согласно формулы Бернулли:
Таким образом, формула Пуассона дает гораздо более точное приближение, чем формула Лапласа.
——————————-
Пример 3. Станок штампует детали. Вероятность того, что изготовленная деталь бракованная, равна 0,02. Какова вероятность того, что среди 200 деталей окажется 5 бракованных?
Решение. Есть , есть удовлетворяются требования теоремы
По таблице функции Пуассона при получим:
———————————————-
Используйте формулу Пуассона в тех задачах, где она более уместна. Всегда проверяйте выполнения условия теоремы Пуассона, при значениях которые не удовлетворяют условие формула дает большую погрешность при вычислении вероятности. Для проверки результата применяйте формулу Бернулли, она более точна и с ее результатом найденную вероятность по формуле Пуассона лучше всего сравнивать. Если погрешность невелика, тогда Вы все сделали правильно, в противном случае придется вычислять снова или найти слабое место и исправить ошибки.
yukhym.com
Распределение Пуассона
Ранее мы рассмотрели два типа дискретных числовых распределений: биномиальное и гипергеометрическое. Во многих практически важных приложениях большую роль играет распределение Пуассона. Многие из числовых дискретных величин являются реализациями пуассоновского процесса, обладающего следующими свойствами:[1]
- Нас интересует, сколько раз происходит некое событие в заданной области возможных исходов случайного эксперимента. Область возможных исходов может представлять собой интервал времени, отрезок, поверхность и т.п.
- Вероятность данного события одинакова для всех областей возможных исходов.
- Количество событий, происходящих в одной области возможных исходов, не зависит от количества событий, происходящих в других областях.
- Вероятность того, что в одной и той же области возможных исходов данное событие происходит больше одного раза, стремится к нулю по мере уменьшения области возможных исходов.
Скачать заметку в формате Word или pdf, примеры в формате Excel2013
Чтобы глубже понять смысл пуассоновского процесса, предположим, что мы исследуем количество клиентов, посещающих отделение банка, расположенное в центральном деловом районе, во время ланча, т.е. с 12 до 13 часов. Предположим, требуется определить количество клиентов, приходящих за одну минуту. Обладает ли эта ситуация особенностями, перечисленными выше? Во-первых, событие, которое нас интересует, представляет собой приход клиента, а область возможных исходов — одноминутный интервал. Сколько клиентов придет в банк за минуту — ни одного, один, два или больше? Во-вторых, разумно предположить, что вероятность прихода клиента на протяжении минуты одинакова для всех одноминутных интервалов. В-третьих, приход одного клиента в течение любого одноминутного интервала не зависит от прихода любого другого клиента в течение любого другого одноминутного интервала. И, наконец, вероятность того, что в банк придет больше одного клиента стремится к нулю, если временной интервал стремится к нулю, например, становится меньше 0,1 с. Итак, количество клиентов, приходящих в банк во время ланча в течение одной минуты, описывается распределением Пуассона.
Распределение Пуассона имеет один параметр, обозначаемый символом λ (греческая буква «лямбда») – среднее количество успешных испытаний в заданной области возможных исходов. Дисперсия распределения Пуассона также равна λ, а его стандартное отклонение равно . Количество успешных испытаний Х пуассоновской случайной величины изменяется от 0 до бесконечности. Распределение Пуассона описывается формулой:
где Р(Х) — вероятность X успешных испытаний, λ — ожидаемое количество успехов, е— основание натурального логарифма, равное 2,71828, X— количество успехов в единицу времени.
Вернемся к нашему примеру. Допустим, что в течение обеденного перерыва в среднем в банк приходят три клиента в минуту. Какова вероятность того, что в данную минуту в банк придут два клиента? А чему равна вероятность того, что в банк придут более двух клиентов?
Применим формулу (1) с параметром λ = 3. Тогда вероятность того, что в течение данной минуты в банк придут два клиента, равна
Вероятность того, что в банк придут более двух клиентов, равна Р(Х > 2) = Р(Х = 3) + Р(Х = 4) + … + Р(Х = ∞) . Поскольку сумма всех вероятностей должна быть равной 1, члены ряда, стоящего в правой части формулы, представляют собой вероятность дополнения к событию Х≤ 2. Иначе говоря, сумма этого ряда равна 1 – Р(Х ≤ 2). Таким образом, Р(Х> 2) = 1 – Р(Х≤2) = 1 – [Р(Х = 0) + Р(Х = 1) + Р(Х = 2)]. Теперь, используя формулу (1), получаем:
Таким образом, вероятность того, что в банк в течение минуты придут не больше двух клиентов, равна 0,423 (или 42,3%), а вероятность того, что в банк в течение минуты придут больше двух клиентов, равна 0,577 (или 57,7%).
Такие вычисления могут показаться утомительными, особенно если параметр λ достаточно велик. Чтобы избежать сложных вычислений, многие пуассоновские вероятности можно найти в специальных таблицах (рис. 1). Например, вероятность того, что в заданную минуту в банк придут два клиента, если в среднем в банк приходят три клиента в минуту, находится на пересечении строки X = 2 и столбца λ = 3. Таким образом, она равна 0,2240 или 22,4%.

Рис. 1. Пуассоновская вероятность при λ = 3
Сейчас вряд ли кто-то будет пользоваться таблицами, если под рукой есть Excel с его функцией =ПУАССОН.РАСП() (рис. 2). Эта функция имеет три параметра: число успешных испытаний Х, среднее ожидаемое количество успешных испытаний λ, параметр Интегральная, принимающий два значения: ЛОЖЬ – в этом случае вычисляется вероятность числа успешных испытаний Х (только Х), ИСТИНА – в этом случае вычисляется вероятность числа успешных испытаний от 0 до Х.

Рис. 2. Расчет в Excel вероятностей распределения Пуассона при λ = 3
Аппроксимация биноминального распределения с помощью распределения Пуассона
Если число n велико, а число р — мало, биномиальное распределение можно аппроксимировать с помощью распределения Пуассона. Чем больше число n и меньше число р, тем выше точность аппроксимации. Для аппроксимации биномиального распределения используется следующая модель Пуассона.
где Р(Х) — вероятность X успехов при заданных параметрах n и р, n — объем выборки, р— истинная вероятность успеха, е— основание натурального логарифма, X — количество успехов в выборке (X = 0, 1, 2, …, n).
Теоретически случайная величина, имеющая распределение Пуассона, принимает значения от 0 до ∞. Однако в тех ситуациях, когда распределение Пуассона применяется для приближения биномиального распределения, пуассоновская случайная величина — количество успехов среди n наблюдений — не может превышать число n. Из формулы (2) следует, что с увеличением числа n и уменьшением числа р вероятность обнаружить большое количество успехов уменьшается и стремится к нулю.
Как говорилось выше, математическое ожидание µ и дисперсия σ2 распределения Пуассона равны λ. Следовательно, при аппроксимации биномиального распределения с помощью распределения Пуассона для приближения математического ожидания следует применять формулу (3).
(3) µ = Е(Х) = λ = np
Для аппроксимации стандартного отклонения используется формула (4).
Обратите внимание на то, что стандартное отклонение, вычисленное по формуле (4), стремится к стандартному отклонению в биномиальной модели – , когда вероятность успеха p стремится к нулю, и, соответственно, вероятность неудачи 1 – р стремится к единице.
Предположим, что 8% шин, произведенных на некотором заводе, являются бракованными. Чтобы проиллюстрировать применение распределения Пуассона для аппроксимации биномиального распределения, вычислим вероятность обнаружить одну дефектную шину в выборке, состоящей из 20 шин. Применим формулу (2), получим
Если бы мы вычислили истинное биномиальное распределение, а не его приближение, то получили бы следующий результат:
Однако эти вычисления довольно утомительны. В то же время, если вы используете Excel для вычисления вероятностей, то применение аппроксимации в виде распределения Пуассона становится излишним. На рис. 3 показано, что трудоемкость вычислений в Excel одинакова. Тем не менее, этот раздел, на мой взгляд, полезен понимаем того, что при некоторых условиях биноминальное распределение и распределение Пуассона дают близкие результаты.

Рис. 3. Сравнение трудоемкости расчетов в Excel: (а) распределение Пуассона; (б) биноминальное распределение
Итак, в настоящей и двух предыдущих заметках были рассмотрены три дискретных числовых распределения: биномиальное, гипергеометрическое и Пуассона. Чтобы лучше представлять, как эти распределения соотносятся друг с другом приведем небольшое дерево вопросов (рис. 4).

Рис. 4. Классификация дискретных распределений вероятностей
Предыдущая заметка Гипергеометрическое распределение
Следующая заметка Нормальное распределение
К оглавлению Статистика для менеджеров с использованием Microsoft Excel
[1] Используются материалы книги Левин и др. Статистика для менеджеров. – М.: Вильямс, 2004. – с. 320–328
baguzin.ru
Приближенная формула Пуассона, примеры решений и теория. Онлайн учебник по теории вероятностей
Если вероятность появления события в отдельном испытании достаточно близка к нулю , то даже при больших значениях количества испытаний вероятность, вычисляемая по локальной теореме Лапласа, оказывается недостаточно точной. В таких случаях используют формулу, выведенную Пуассоном.
ТЕОРЕМА ПУАССОНА
Если вероятность наступления события в каждом испытании постоянна, но достаточно мала, число независимых испытаний достаточно велико, при этом сочетания меньше десяти то вероятность того, что в количестве испытаниях событие наступит ровно раз примерно равна
где
Для формулы Пуассона используют таблицы табулирования функции .
——————————-
Рассмотрим примеры типичных для студентов задач.
Пример 1. Автобиография писателя издается тиражом в 1000 экземпляров. Для каждой книги вероятность быть неправильно сброшюрованной равна 0,002. Найти вероятность того, что тираж содержать ровно 7 бракованных книг.
Решение. Проверим выполнение условия теоремы Пуассона. Для входных значений
получим
что условия выполняются.
По табличным значениям функции Пуассона находим вероятность
Применения к этому событию локальную теорему Лапласа получим
Точное значение вероятности определяем по формуле Бернулли
Из анализа трех методов следует, что формула Пуассона дает более точнее приближения, чем формула Лапласа. Именно поэтому ее рекомендуют применять для отыскания вероятности в такого сорта задачах.
——————————-
Пример 2. Вероятность изготовления нестандартной детали равна 0,004. Найти вероятность того, что среди 1000 деталей окажется 5 нестандартных.
Решение.
Формула Пуассона
Имеем даные , которые удовлетворяют требования теоремы Пуассона По таблице функции Пуассона при получим:
Найдем вероятность того же события по локальной теореме Лапласа.
Для ,
искомая вероятность:
Точное значение вычисляем согласно формулы Бернулли:
Таким образом, формула Пуассона дает гораздо более точное приближение, чем формула Лапласа.
——————————-
Пример 3. Станок штампует детали. Вероятность того, что изготовленная деталь бракованная, равна 0,02. Какова вероятность того, что среди 200 деталей окажется 5 бракованных?
Решение. Есть , есть удовлетворяются требования теоремы
По таблице функции Пуассона при получим:
———————————————-
Используйте формулу Пуассона в тех задачах, где она более уместна. Всегда проверяйте выполнения условия теоремы Пуассона, при значениях которые не удовлетворяют условие формула дает большую погрешность при вычислении вероятности. Для проверки результата применяйте формулу Бернулли, она более точна и с ее результатом найденную вероятность по формуле Пуассона лучше всего сравнивать. Если погрешность невелика, тогда Вы все сделали правильно, в противном случае придется вычислять снова или найти слабое место и исправить ошибки.
laservirta.ru
Формула Пуассона. Приклади
Якщо ймовірність p появи події A в окремому випробуванні близька до нуля p<<0,1, то навіть при відносно невеликих n кількостях випробувань значення ймовірністі, обчислюване за локальною теоремою Лапласа виявляється недостатньо точним. В таких випадках використовують формулу виведену Пуассоном.
ТЕОРЕМА ПУАССОНА
Якщо ймовірність p настання події A в кожному випробуванні постійна, але достатньо мала p<<0,1, число незалежних випробувань достатньо велике, при цьомувиконується то ймовірність того, що в n випробуваннях подія A наступить рівно k разів приблизно рівна
— формула Пуассона
де «»лямда» рівна
Для формули Пуассона використовують таблиці табулювань функції Pn(k).
Приклади на формулу Пуассона
Приклад 1. Автобіографія письменника видається тиражем в 1000 екземплярів. Для кожної книжки ймовірність бути неправильно зброшурованою рівна 0,002. Знайти ймовірність того, що тираж міститиме рівно 7 бракованих підручників.
Розв’язання. Перевіримо виконання умов теореми Пуассона. Для вхідних даних
отримаємо,
що умови теореми виконуються.
За значеннями функції Пуассона знаходимо ймовірність
Застосуємо до цієї події локальну теорему Лапласа
та визначимо ймовірність
Точне значення імовірності дає формула Бернуллі
З аналізу трьох методів слідує, що формула Пуассона дає точніше наближення, ніж формула Лапласа. Саме тому її рекомендують застосовувати для відшукання ймовірності в такого сорту задачах.
Приклад 2. Ймовірність виготовлення нестандартної деталі рівна 0,002. Знайти ймовірність того, що серед 1000 деталей виявиться 5 нестандартних.
Розв’язання. Для даних задачі n=1000, p=0,004 виконуються вимоги теореми Пуассона
За таблицею функції Пуассона при k=5 отримаємо:
Знайдемо ймовірність тієї ж події за локальною теоремою Лапласа.
Маємо n=1000, p=0,004, k=5.
Шукана ймовірність рівна 0,1763
Точне значення надає формула Бернулі:
Таким чином, у даному випадку формула Пуассона дає набагато більш точне наближення, ніж формула Лапласа, яка загалом випадає з діапазону.
Приклад 3. Верстат штампує деталі. Ймовірність того, що виготовлена деталь бракована, дорівнює 0,02. Яка ймовірність того, що серед 200 деталей виявиться 5 бракованих?
Розв’язання. Маємо значення n=200, p=0,02, k=5, які задовільняють вимоги теореми
За таблицею функції Пуассона при k=5 одержимо наступне значення ймовірності:
Приклад 4. Фабрика випускає в середньому 0,4% нестандартних виробів.
Яка ймовірність того, що число нестандартних виробів у партії з 1000 штук буде 15?
Обчислення: Переведемо відсотки вибрати нестандартний виріб в ймовірність
p=0,4%/100%=0,004.
Партія n=1000 штук, звідси λ=n•p=1000•0,004=4<10, тому для знаходження ймовірності скористаємося теоремою Пуассона
P1000(15)= λ^15•exp(λ)/15!.
Враховуючи раніше знайдене «ламбда» виконуємо обчислення
P1000(15)= 4^15•2,718^4/15!=0,04483
Відповідь: 0,04483.
На цьому коротка практика завершена.
Використовуйте формулу Пуассона в тих завданнях, де вона більш доречна. Завжди перевіряйте виконання умови теореми Пуассона, при значеннях, які не задовольняють умову n*p<10 формула дає велику похибку при обчисленні ймовірності. Для перевірки результату застосовуйте формулу Бернуллі, вона більш точна і з її результатом знайдену ймовірність за формулою Пуассона краще всього порівнювати. Якщо похибка невелика, тоді Ви все зробили правильно, в іншому випадку доведеться обчислювати знову або знайти слабке місце і виправити помилки.
yukhym.com
Формула Пуассона —
Вычисление Pn(k) при больших значениях n и k приводит к большим вычислительным сложностям. Затруднения возрастают также в связи с воз-можными малыми значениями вероятности p, входящими в формулу Бернулли. Поэтому возникает необходимость получения более простых приближенных формул вычисления вероятности Pn(k). Такие формулы, называемые асимптотическими, существуют и утверждаются теоремами
Симеон Дени Пуассон (1781 –1840) |
Пуассона, локальной и интегральной теоремами Муавра – Лапласа. Данные приближенные формулы при боль-шом числе испытаний дают сколь угодно малую относительную погрешность.
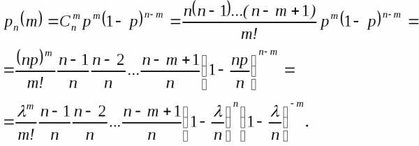
Теорема Пуассона. Если число испытаний с событиями A1, A2, … , Anнеограниченно увеличивается (n → ¥) и вероятность наступления событий Anв каждом испытании неограниченно уменьшается (p→ 0), причем произведение n × p стремится к постоянному числу λ (n × p → λ), то вероятность Pn(k) удовлетворяет предельному соотношению
(2.7)
Доказательство. Действительно, преобразуя формулу Бернулли с уче-том получим
Так как
и
то, следовательно, Что и требовалось доказать.
Замечание 11. Строго говоря, условие теоремы Пуассона, в которой предполагается p → 0 при n → ¥ (n× p → λ), противоречит исходному предположению схемы испытаний Бернулли, состоящему в том, что в каждом испытании p = const. Однако, если вероятность p – постоянна и мала, а число испытаний n велико n ≥ 50 и λ = n× p ≤ 10, то из предельного соотношения (2.7) следует приближенная формула Пуассона:
(2.8)
Значения функции приводятся в таблице (см. приложение 3).
Пример 7. С камнедобывающего карьера на отделку метро отправлено 1500 ящиков облицовочной плиты. Вероятность того, что в пути упаковочный ящик может быть поврежден, равна 0,002. Найти вероятность того, что в пути будет повреждено не более четырех ящиков.
Решение. Событие А – в пути будет повреждено не более четырех ящиков. В данной задаче n = 1500 >>1, p = 0,002 <<1; n× p = λ = 3. Вероятность события А найдем по формуле Пуассона:
P1500 (k ≤ 4) = P1500(0) + P1500(1) + P1500(2) + P1500(3) + P1500(4),
C использованием таблицы приложения 3 вычисления упрощаются. В этом случае вероятность P1500 (k ≤ 4) записывается в виде функции 2-х параметров P(k,λ). Тогда P1500 (k ≤ 4) = P(0,3) + P(1,3) + P(2,3) + P (3,3) + P(4,3) = 0,0498 + 0,1494 + 0,2240 + 0,2240 + 0,1680 = 0,815.
einsteins.ru

,
аргумент «среднее» равен
,
аргумент «интегральная» должен равняться
0;
и
.
и.
и.