§. Производная сложной функции.
Т0.Если
– функция дифференцируемая в точкеР0и функции
дифференцируемы вt0, то функциядифференцируема в точкеt0и
.
Δ. =
=
=
.
Это и доказывает дифференцируемость функции и
. ▲
Без труда можно доказать и формулы для дифференцирования сложной функции и в более общем случае:
Пусть
и.
Тогда длясправедливо:
Примеры.
10. Пустьи.
Найти
и
.
;.
20. (контрпример). Пусть
и.
Найти
.
а);б)
.
Получили результаты, противоречащие один другому. Этот случай показывает, что формула производной сложной функции в этом случае не работает.
NB. Оказывается существование частных производных недостаточно для дифференцируемости (хотя наоборот верно). Дифференцируемость более жесткое требование, чем существование частных производных.§. Формула конечных приращений для функции многих переменных.
=
= =
= .
Δ. Доказательство основано на возможности
соединить точки
иРпрямолинейным отрезком,
принадлежащим области
.
▲
§. Производная функции по направлению.

называется .Запишем параметрическое уравнение прямой проходящей через точки
;:.
Тогда: и, значит
.
Если ввести в рассмотрение вектор
то получим
.
Значит
,
где- угол между
направлением
и направлением
.
Следовательно, показывает направление наискорейшего возрастания функцииf, а его длина совпадает со скоростью возрастания функции в этом направлении.
§. Инвариантность формы 1го дифференциала при замене переменных.
Пусть , и.
Тогда и
===
= =
= =
.То есть: .
Последняя формула выражает свойство инвариантности формы первого дифференциала относительно замены переменных.
§. Производные высших порядков.
Определение производной более высокого порядка, чем первый, можно дать индуктивно. Обозначения для высших производных: .
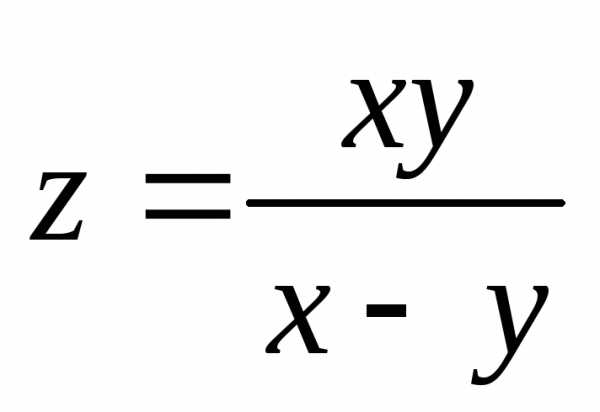
Пример:
10.Найти частные
производные первого и второго порядка
функции
.
Производные первого порядка:
;
;
.
;
;
;
;
;
;
;
;
.
Производные
называются вторыми одноименными
производными.
Обозначение
обозначает, что от функции
производная бралась вначале по
,
а затем по
,
а при нахождении
наоборот, вначале по
,
а затем по
.
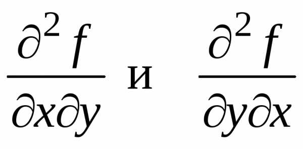
Обратим внимание на совпадения соответствующих вторых смешанных производных:
.
Возникает вопрос: случайно ли это совпадение?
20.Рассмотрим функцию, заданную соотношениями:
и.
Функция непрерывна в (0,0) т.к.
и, следовательно,.
а) .б) .
в) .
Если в
положитьх = 0, получим,
в (0,0).
г).
Полагая y= 0, получим,
в (0,0).
Получили, что
в точке (0,0). Смешанные производные в
точке (0,0) не совпадают.
Итак, вторые смешанные производные не всегда совпадают. А когда?
Т.Пустьопределена в открытой области
и в этой области, существуют
,
а также
и, наконец,
непрерывны в некоторой точке
.
Тогда:.
Δ. Рассмотрим .
а).Введем вспомогательную функцию. Эта функция дифференцируема:и, следовательно, непрерывна.
Учитывая это, получим:

Дважды применим формулу конечных приращений:
…= =.
б)Введем. Тогда аналогично получаем, что
.
Устремим
и воспользовавшись непрерывностьюв
точке
получаем:.
▲
В общем случае:
Т0.Пустьопределена в открытой области
евклидового пространстваЕnи имеет в этой области всевозможные
частные производные до (n-1)гопорядка включительно и смешанные
производныеnгопорядка, причем
все производные непрерывны в области
studfiles.net
Производные и дифференциалы функций нескольких переменных
Определение. Пусть в некоторой области задана функция z = f(x, y). Возьмем произвольную точку М(х, у) и зададим приращение Dх к переменной х. Тогда величина Dxz = f( x + Dx, y) – f(x, y) называется частным приращением функции по х.
Можно записать
.
Тогда
называетсячастной
производной функции
z
= f(x,
y)
по х.
Обозначение:
Аналогично определяется частная производная функции по у.
Геометрическим
смыслом частной
производной (допустим
)
является тангенс угла наклона касательной,
проведенной в точкеN0(x0,
y0,
z0)
к сечению поверхности плоскостью у =
у0.
Полное приращение и полный дифференциал
Определение. Для функции f(x, y) выражение Dz = f( x + Dx, y + Dy) – f(x, y) называется полным приращением.
Если функция f(x, y) имеет непрерывные частные производные, то
Применим теорему Лагранжа к выражениям, стоящим в квадратных скобках.

здесь
Тогда получаем
Т.к. частные производные непрерывны, то можно записать равенства:
Определение. Выражение называетсяполным приращением функции f(x, y) в некоторой точке (х, у), где a1 и a2 – бесконечно малые функции при Dх ® 0 и Dу ® 0 соответственно.
Определение: Полным дифференциалом функции z = f(x, y) называется главная линейная относительно Dх и Dу приращения функции Dz в точке (х, у).
Для функции произвольного числа переменных:
Пример.
Найти полный дифференциал функции
.
Пример. Найти полный дифференциал функции 

Геометрический смысл полного дифференциала Касательная плоскость и нормаль к поверхности
нормаль
N
j N0
касательная плоскость
Пусть N и N0 – точки данной поверхности. Проведем прямую NN0. Плоскость, которая проходит через точку N0, называется касательной плоскостью к поверхности, если угол между секущей NN0 и этой плоскостью стремится к нулю, когда стремится к нулю расстояние NN0.
Определение. Нормалью к поверхности в точке N0 называется прямая, проходящая через точку N0 перпендикулярно касательной плоскости к этой поверхности.
В какой – либо точке поверхность имеет, либо только одну касательную плоскость, либо не имеет ее вовсе.
Если поверхность задана уравнением z = f(x, y), где f(x, y) – функция, дифференцируемая в точке М0(х0, у0), касательная плоскость в точке N0(x0,y0,(x0,y0)) существует и имеет уравнение:
.
Уравнение нормали к поверхности в этой точке:
Геометрическим смыслом полного дифференциала функции двух переменных f(x, y) в точке (х0, у0) является приращение аппликаты (координаты z) касательной плоскости к поверхности при переходе от точки (х0, у0) к точке (х0+Dх, у0+Dу).
Как видно, геометрический смысл полного дифференциала функции двух переменных является пространственным аналогом геометрического смысла дифференциала функции одной переменной.
Пример. Найти уравнения касательной плоскости и нормали к поверхности
в точке М(1, 1, 1).
Уравнение касательной плоскости:
Уравнение нормали:
Приближенные вычисления с помощью полного дифференциала
Пусть функция f(x, y) дифференцируема в точке (х, у). Найдем полное приращение этой функции:
Если подставить в эту формулу выражение
то получим приближенную формулу:
Пример. Вычислить приближенно значение , исходя из значения функцииприx = 1, y = 2, z = 1.
Из заданного выражения определим Dx = 1,04 – 1 = 0,04, Dy = 1,99 – 2 = -0,01,
Dz = 1,02 – 1 = 0,02.
Найдем значение функции u(x, y, z) =
Находим частные производные:


Полный дифференциал функции u равен:
Точное значение этого выражения: 1,049275225687319176.
studfiles.net
§6 Частные производные сложных функций нескольких переменных
Очень часто при решении практических задач (например, в высшей геодезии или аналитической фотограмметрии) появляются сложные функции нескольких переменных, т. е. аргументы x, y, zодной функцииf (x,y,z)) сами являются функциями от новых переменныхU, V, W).
Так, например, бывает при переходе от неподвижной системы координат Oxyzв подвижную системуO0UVWи обратно. При этом важно знать все частные производные по «неподвижным» — «старым» и «подвижным» — «новым» переменным, так как эти частные производные обычно характеризуют положение объекта в этих системах координат, и, в частности, влияют на соответствие аэрофотоснимков реальному объекту. В таких случаях применяются следующие формулы:
То есть задана сложная функцияTтрех «новых» переменныхU, V, Wпосредством трёх «старых» переменныхx, y, z,тогда:
Замечание. Возможны вариации в количестве переменных. Например: если
то
В частности, еслиz = f(xy), y = y(x), то получаем так называемую формулу «полной производной»:
Эта же формула «полной производной» в случае:
примет вид:
Возможны и иные вариации формул (1.27) — (1.32).
Замечание: формула «полной производной» используется в курсе физики, раздел «Гидродинамика» при выводе основополагающей системы уравнений движения жидкости.
Пример 1.10. Дано:
Найти
Решение
Согласно (1.31):

Ответ:
§7 Частные производные неявно заданной функции нескольких переменных
Как известно, неявно заданная функция одной переменной определяется так: функция у независимой переменной xназывается неявной, если она задана уравнением, не разрешенным относительноy:
Пример 1.11.
Уравнение
неявно задаёт две функции:
А уравнение
не задаёт никакой функции.
Теорема 1.2 (существования неявной функции).
Пусть функция z =f(х,у)и ее частные производныеf’xиf’yопределены и непрерывны в некоторой окрестностиUM0точкиM0(x0y0). Кроме того,f(x0,y0)=0иf'(x0,y0)≠0, тогда уравнение (1.33) определяет в окрестностиUM0неявную функциюy= y(x), непрерывную и дифференцируемую в некотором интервалеDс центром в точке x0, причемy( x0)=y0.
Без доказательства.
Из теоремы 1.2 следует, что на этом интервале D:
то- есть имеет место тождество по
Поэтому
где «полная» производная находится согласно (1.31)
То есть (1.35) дает формулу нахождения производной неявно заданной функции одной переменной x.
Аналогично определяется и неявная функция двух и более переменных.
Например, если в некоторой области VпространстваOxyzвыполняется уравнение:
то при некоторых условиях на функцию Fоно неявно задаёт функцию
При этом по аналогии с (1.35) ее частные производные находятся так:
Пример 1.12. Считая, что уравнение
неявно задаёт функцию
найти z’x, z’y.
Решение
Имеем:
поэтому согласно (1.37) получаем ответ.
Ответ.
§8 Частные производные второго и более высоких порядков
Определение 1.9 Частные производные второго порядка функции z=z(x,y)определяются так:
Их оказалось четыре. Причем, при некоторых условиях на функции z(x,y)выполняется равенство:
Замечание. Частные производные второго порядка могут обозначаться и так:
Определение 1.10 Частных производных третьего порядка — восемь (23):
и так далее.
studfiles.net
14 Функции многих переменных
Функции многих переменных
§1. Понятие функции многих переменных.
Пусть имеется n переменных величин
.
Каждый наборобозначает точкуn—мерного
множества
(п-мерный
вектор).
Пусть даны множества
и
.
Опр.
Если каждой точке
ставится в соответствие единственное
число
,
то говорят, что задана числовая функция n переменных:
.
называют областью определения,
— множеством значений данной функции.
В случае n=2
вместо
обычно пишутx, y, z.
Тогда функция двух переменных имеет
вид:
z=f(x,y).
Например,
— функция двух переменных;
— функция трех переменных;
— линейная функция n переменных.
Опр.
Графиком функции n переменных называется n—мерная
гиперповерхность в пространстве
,
каждая точка которой задается координатами
.
Например, графиком функции двух переменных z=f(x,y) является поверхность в трехмерном пространстве, каждая точка которой задается координатами (x,y,z), где , и.
Поскольку график функции трех и более переменных изобразить не представляется возможным, в основном мы будем (для наглядности) рассматривать функции двух переменных.
Построение графиков функций двух переменных является довольно сложной задачей. Существенную помощь в ее решении может оказать построение так называемых линий уровня.
Опр. Линией уровня функции двух переменных z=f(x,y) называется множество точек плоскости ХОУ, являющихся проекцией сечения графика функции плоскостью, параллельной ХОУ. В каждой точке линии уровня функция имеет одно и то же значение. Линии уровня описываются уравнением f(x,y)=с, где с – некоторое число. Линий уровня бесконечно много, и через каждую точку области определения можно провести одну из них.
Опр.
Поверхностью уровня функции n переменных y=f ()
называется гиперповерхность в пространстве
,
в каждой точке которой значение функции
постоянно и равно некоторому значениюс.
Уравнение поверхности уровня: f ()=с.
Пример. Построить график функции двух переменных
.
.
При с=1: ;.
При с=4: ;.
При с=9: ;.
Линии уровня – концентрические окружности, радиус которых уменьшается с ростом z.
§2. Предел и непрерывность функции многих переменных.
Для функций многих переменных определяются те же понятия, что и для функции одной переменной. Например, можно дать определения предела и непрерывности функции.
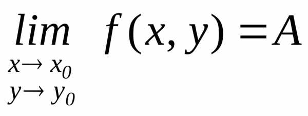
Опр.
Число А называется пределом функции
двух переменных z=f(x,y) при
,
и обозначается
,
если для любого положительного числа
найдется положительное число
,
такое, что если точка
удалена от точки
на расстояние меньше
,
то величиныf(x,y) и А отличаются
меньше чем на
.
Опр.
Если функция z=f(x,y) определена в точке
и имеет в этой точке предел, равный
значению функции,
то она называется непрерывной в данной
точке.
Пример.
.
.
§3. Частные производные функции многих переменных.
Рассмотрим функцию двух переменных .
Зафиксируем
значение одного из ее аргументов,
например
,
положив
.
Тогда функция
есть функция одной переменной
.
Пусть она имеет производную в точке
:
.
Данная производная
называется частной производной (или
частной производной первого порядка)
функции
по
в точке
и обозначается:;;
;
.
Разность
называется частным приращением по
и обозначается
:
.
Учитывая приведенные обозначения, можно записать
.
Аналогично определяется
.
Частной производной функции нескольких переменных по одной из этих переменных называется предел отношения частного приращения функции к приращению соответствующей независимой переменной, когда это приращение стремится к нулю.
При нахождении частной производной по какому-либо аргументу другие аргументы считаются постоянными. Все правила и формулы дифференцирования функций одной переменной справедливы для частных производных функции многих переменных.
Заметим, что частные производные функции являются функциями тех же переменных. Эти функции, в свою очередь, могут иметь частные производные, которые называются вторыми частными производными (или частными производными второго порядка) исходной функции.
Например, функция имеет четыре частных производных второго порядка, которые обозначаются следующим образом:
;
;
;
.
и
— смешанные частные производные.
Пример. Найти частные производные второго порядка для функции
.
Решение.
,
.
,
.
, .
Задание.
1. Найти частные производные второго порядка для функций
,
;
2. Для функции
доказать, что.
Полный дифференциал функции многих переменных.
При одновременном
изменении величин х и у функция
изменится на величину,
называемую полным приращением функцииz в точке
.
Так же, как и в случае функции одной
переменной, возникает задача о
приближенной замене приращения
на линейную функцию от
и
.
Роль линейного приближения выполняетполный
дифференциал функции:

Полный дифференциал второго порядка:
=
= .
=.
В общем виде полный дифференциал п-го порядка имеет вид:
Производная по направлению. Градиент.
Пусть функция z=f(x,y) определена в некоторой окрестности
точки M(x,y)
и
— некоторое направление, задаваемое
единичным вектором 
.
Координаты единичного вектора выражаются
через косинусы углов, образуемых вектором
и осями координат и называемых
направляющими косинусами:
,
.
При перемещении точки M(x,y) в данном направлении l в точку функцияz получит приращение
,
называемое приращением функции в данном направлении l.

Если ММ1=∆l, то
.
Т

.
О







функции z=f(x,y) по направлению
называется предел отношения приращения
функции в этом направлении к величине
перемещения ∆l при стремлении последней
к нулю:.
Производная по
направлению характеризует скорость
изменения функции в данном направлении.
Очевидно, что частные производные
и
представляют собой производные по
направлениям, параллельным осямOx и Oy.
Нетрудно показать, что
.
Пример.
Вычислить производную функции
в точке (1;1) по направлению
.
Опр. Градиентом функции z=f(x,y) называется вектор с координатами, равными частным производным:
.
Рассмотрим скалярное произведение векторов и:
Легко видеть, что
,
т.е. производная по направлению равна
скалярному произведению градиента и
единичного вектора направления
.
Поскольку , то скалярное произведение максимально, когда векторы одинаково направлены. Таким образом, градиент функции в точке задает направление наискорейшего возрастания функции в этой точке, а модуль градиента равен максимальной скорости роста функции.
Зная градиент функции, можно локально строить линии уровня функции.
Теорема.
Пусть задана дифференцируемая функция z=f(x,y) и в точке
градиент функции не равен нулю:
.
Тогда градиент перпендикулярен линии
уровня, проходящей через данную точку.
Таким образом, если, начиная с некоторой точки, строить в близких точках градиент функции и малую часть перпендикулярной ему линии уровня, то можно (с некоторой погрешностью) построить линии уровня.
Локальный экстремум функции двух переменных
Пусть функция
определена и непрерывна в некоторой
окрестности точки
.
Опр.
Точка
называется точкой локального максимума
функции,
если существует такая окрестность точки
,
в которой для любой точки
выполняется неравенство:
.
Аналогично вводится понятие локального минимума.
Теорема (необходимое условие локального экстремума).
Для того, чтобы
дифференцируемая функция
имела локальный экстремум в точке
,
необходимо, чтобы все ее частные
производные первого порядка в этой
точке были равны нулю:

Итак, точками возможного наличия экстремума являются те точки, в которых функция дифференцируема, а ее градиент равен 0: . Как и в случае функции одной переменной, такие точки называются стационарными.
Пример. .
studfiles.net
Частная производная функции нескольких переменных
Понятие функции одной переменной можно обобщить на случай двух и большего числа аргументов.
Рассмотрим значения и Если задан закон, согласно которому каждой паре ставится в соответствие единственное числовое значение то говорят, что задана функция двух переменных. Обычно такая функция обозначается в виде
Если найти производные по каждой из переменных от частных производных первого порядка, то получим частные производные второго порядка:
Последние две производные называются смешанными производными.
Если смешанные частные производные являются непрерывными функциями, то они не зависят от порядка дифференцирования, то есть имеет место равенство
Примеры вычисления частных производных
| Понравился сайт? Расскажи друзьям! | |||
ru.solverbook.com
Лекция 1 Функции нескольких переменных
81
Государственное образовательное учреждение
Высшего профессионального образования Тюменской области
ТЮМЕНСКАЯ ГОСУДАРСТВЕННАЯ АКАДЕМИЯ
МИРОВОЙ ЭКОНОМИКИ, УПРАВЛЕНИЯ И ПРАВА
Кафедра математики, информатики и естественных наук
Р.М. Султанаев
Высшая математика
Курс лекций
для студентов всех специальностей
очной и заочной форм обучения
( ЧАСТЬ 2 )
Тюмень, 2009
Функции одной переменной не охватывают все зависимости существующие в природе. Поэтому естественно расширить известное понятие функциональной зависимости и ввести понятие функции нескольких переменных. В качестве примера функций нескольких переменных будем рассматривать функцию двух переменных, т.к. основные особенности таких многоаргументных зависимостей вполне проявляются и в этом случае.
Функция двух переменных
Пусть задано множество Dупорядоченных пар чисел (х;у),и
соответственно f, которое каждой паре
чисел (х;у) сопоставляет только одно
число Z,f=Zназывается функция двух непременных
определенной на множествоDи записывается в виде Z= f(х;у). При этом
х и у называются независимыми переменными
(аргументами),а Z зависимой переменной
(функцией)., множествоD–
называется областью определения функции.
Примером такой функции может служить
площадь прямоугольника,
треугольника
и
т.д.
Функция двух переменных, как и функции одной переменной может быть задана разными способами (табличный, графический и аналитический). Мы, как правило, будем пользоваться аналитическим способом, когда функция задается с помощью формулы.
Предел функции
Э
то
понятие вводится аналогично случаю
одной переменной. Для этого надо ввести
понятие окрестности точки, (δ-окрестность
точки М0(х0,у0)). Это
будут все внутренние точки круга с
центром М0 и радиусом δ. Итак, пусть
f(х; у) =.Z определена в некоторой окрестности
точки М0(х0,у0), кроме,
может быть, этой самой точки. Число А
называется пределом Z= f(х; у) при х→х0и у→у0, если для любого
>0
существует δ>0, такое, что для всех х≠х0и у≠у0удовлетворяющих неравенству<δ
выполняется неравенство │f(x,y)-A│<
.
Записывают :
или
Непрерывность функции двух переменных
Z= f(х; у) называется непрерывной в точке М0(х0,у0), если она:
а) определена в этой точке и некоторой ее окрестности.
б) имеет предел 
в) этот предел равен значению функции в точке М0, т.е.
Функция, непрерывная в каждой точке
некоторой области, называется непрерывной
в этой области. Точки, в которых
непрерывность нарушается, называются
точками разрыва этой функции. Точки
разрыва могут образовывать целую линию
разрыва. Так, функция
имеет линию разрыва у=х.
Производные и дифференциалы функции нескольких переменных
а) частные производные первого порядка.
Пусть задана функция Z= f(х; у). Т.к. х и у
– независимые переменные, то одна из
них может меняться, а вторая сохранять
свое значение. Дадим х приращение ∆х,
сохраняя у=const. Тогда
∆хZ=f(x+∆x,y)-f(x,y).
Аналогично получим ∆у Z=f(х,у+∆у)-f(x,y).
Полное приращение функции
∆Z=f(x+∆x,у+∆y)-f(x,y).
Если существует предел,
то он называется частной производной
функции Z= f(х;у) в точке М(х;у) по переменной
х и обозначаетсяZ′x,
;
.
Аналогично определяется и частная
производная по уZ′=.
Все частные производные находятся
по формулам и правилам, полученным
раннее для функций одной переменной и
при условии, что или х или у – считаютсяconst.
Частные производные высших порядков
Если Z= f(х;у) имеет частные производные
и
и они являются функциями от (х,у), то их
можно продифференцировать и получить
частные производные второго порядка
Z″xx;
Z″xy;
Z″yxи
Z″yy; аналогичным образом можно ввести и
определить частные производные 3, 4 и
т.д. порядков. Частные производные,
взятые по различным переменным, называются
смешанными частными производными. ЭтоZ″xyи Z″yx.
Теорема. Если частные производные высшего порядка непрерывны, то смешанные производные одного порядка, отличающиеся лишь порядком дифференцирования, равны между собой, т.е.Z″xy=Z″yx.
studfiles.net
§. Производная сложной функции.
Т0.Если
– функция дифференцируемая в точкеР0и функции
дифференцируемы вt0, то функциядифференцируема в точкеt0и
.
Δ. =
=
=
.
Это и доказывает дифференцируемость функции и
. ▲
Без труда можно доказать и формулы для дифференцирования сложной функции и в более общем случае:
Пусть
и.
Тогда длясправедливо:
.
Примеры.
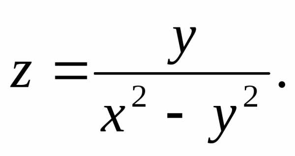
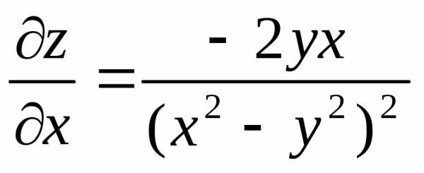
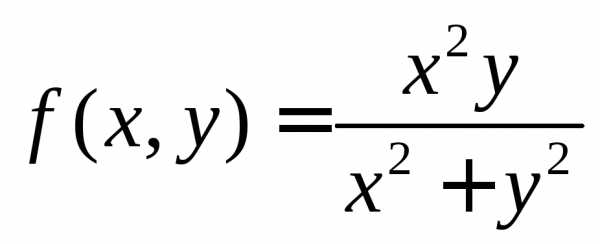
10. Пустьи.
Найти
и
.
;.
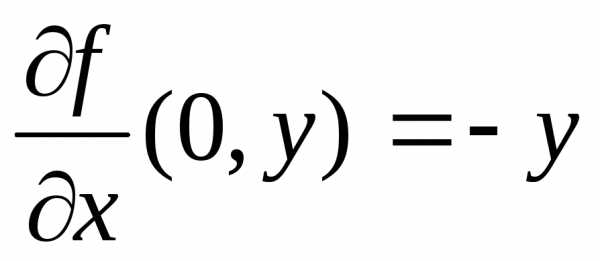
20. (контрпример). Пусть
и.
Найти
.
а);б)
.
Получили результаты, противоречащие один другому. Этот случай показывает, что формула производной сложной функции в этом случае не работает.
NB. Оказывается существование частных производных недостаточно для дифференцируемости (хотя наоборот верно). Дифференцируемость более жесткое требование, чем существование частных производных.
§. Формула конечных приращений для функции многих переменных.
=
= =
= .
Δ. Доказательство основано на возможности
соединить точки
иРпрямолинейным отрезком,
принадлежащим области
.
▲
§. Производная функции по направлению.

называется .Запишем параметрическое уравнение прямой проходящей через точки Р иР0:
;:.
Тогда: и, значит
.
Если ввести в рассмотрение вектор
то получим
.
Значит
,
где- угол между
направлением
и направлением
.
Следовательно, показывает направление наискорейшего возрастания функцииf, а его длина совпадает со скоростью возрастания функции в этом направлении.
§. Инвариантность формы 1го дифференциала при замене переменных.
Пусть , и.
Тогда и
===
= =
= =
.
То есть: .
Последняя формула выражает свойство инвариантности формы первого дифференциала относительно замены переменных.
§. Производные высших порядков.
Определение производной более высокого порядка, чем первый, можно дать индуктивно. Обозначения для высших производных: .
Пример:
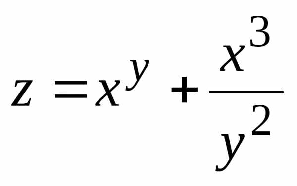
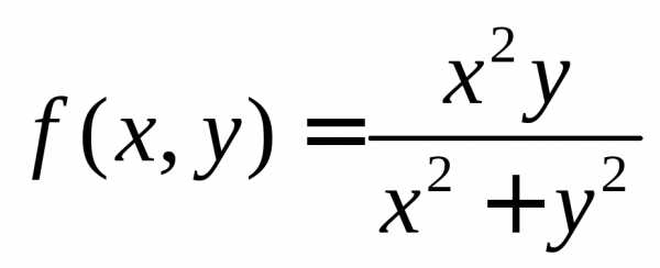
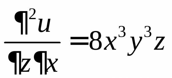
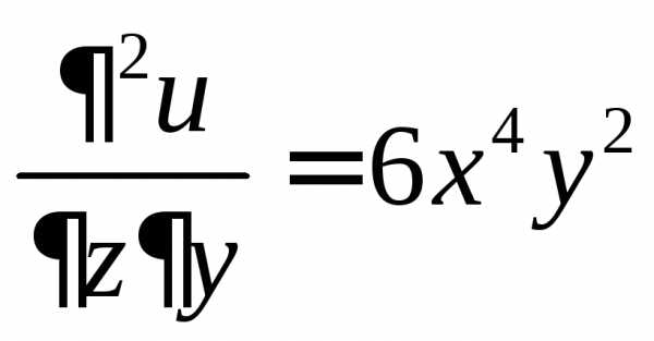
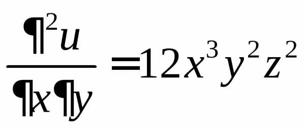
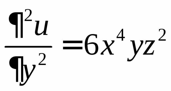
10.Найти частные
производные первого и второго порядка
функции
.
Производные первого порядка:
;
;
.
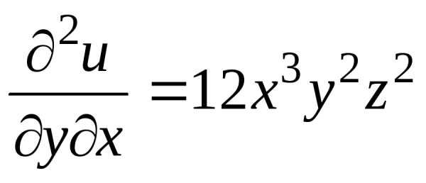
Производные второго порядка:
;
;
;
;
;
;
;
;
.
Производные
называются вторыми одноименными
производными.
Обозначение
обозначает, что от функции
производная бралась вначале по
,
а затем по
,
а при нахождении
наоборот, вначале по
,
а затем по
.
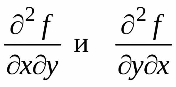
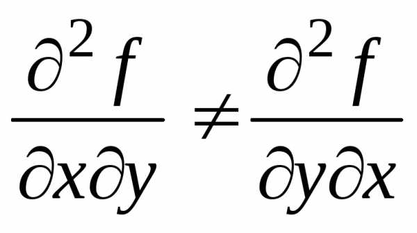
Обратим внимание на совпадения соответствующих вторых смешанных производных:
.
Возникает вопрос: случайно ли это совпадение?
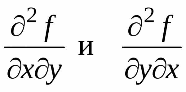
20.Рассмотрим функцию, заданную соотношениями:
и.
Функция непрерывна в (0,0) т.к.
и, следовательно,.
а) .б) .
в) .
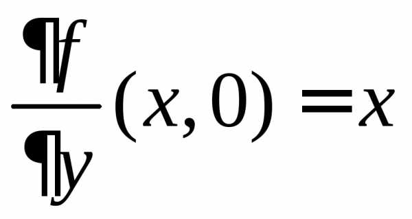
Если в
положитьх = 0, получим,
в (0,0).
г).
Полагая y= 0, получим,
в (0,0).
Получили, что
в точке (0,0). Смешанные производные в
точке (0,0) не совпадают.
Итак, вторые смешанные производные не всегда совпадают. А когда?
Т.Пустьопределена в открытой области
и в этой области, существуют
,
а также
и, наконец,
непрерывны в некоторой точке
.
Тогда:.
Δ. Рассмотрим .
а).Введем вспомогательную функцию. Эта функция дифференцируема:и, следовательно, непрерывна.
Учитывая это, получим:
=
=
=…
Дважды применим формулу конечных приращений:
…= =.
б)Введем. Тогда аналогично получаем, что
.
Устремим
и воспользовавшись непрерывностьюв
точке
получаем:.
▲
В общем случае:
Т0.Пустьопределена в открытой области
евклидового пространстваЕnи имеет в этой области всевозможные
частные производные до (n-1)гопорядка включительно и смешанные
производныеnгопорядка, причем
все производные непрерывны в области
.
Тогда значение любойnйсмешанной производной не зависит от
того порядка, в котором производится
дифференцирование. Δ▲.
studfiles.net
