14.2 Производные гиперболических функций
Заметим сначала, что:
(14.5)
1. .
2. .
3. .
4. .
Таким образом, дополним таблицу производных формулами:

14.3 Производные сложных функций
Если заданная функция имеет вид:
,
то производная этой функции равна произведению производной внешней функции
попромежуточному аргументу
на производную этого промежуточного
аргумента. Таким образом, можем записать:
(14.6)
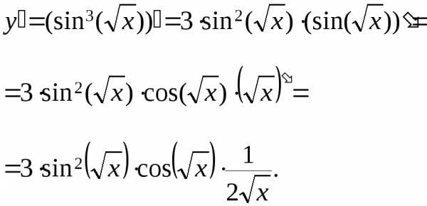
Пример. Найти производную функции
Решение

14.4 Производные высших порядков
Производной второго порядка называется производная от первой производной.
Производной третьего порядка называется производная от второй производной. И т.д.
ЛЕКЦИЯ 15
Функции, заданные параметрически. Их производные
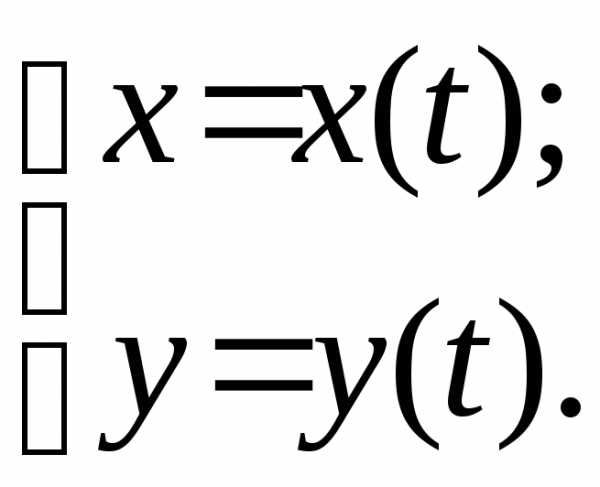
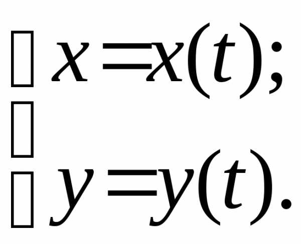
15.1 Параметрическое задание функций
Одним
из способов задания функции является
такой способ, при котором текущие
координаты
и
рассматриваются как функцииодних
и тех же значений третьей переменной величины:
(15.1)
При
этом, уравнения (15.1) называются
параметрическими уравнениями некоторой
линии на плоскости, а переменная
называетсяпараметром.
Примеры параметрических уравнений некоторых известных линий:
ОКРУЖНОСТЬ:
(15.2)
ЭЛЛИПС:
(15.3)
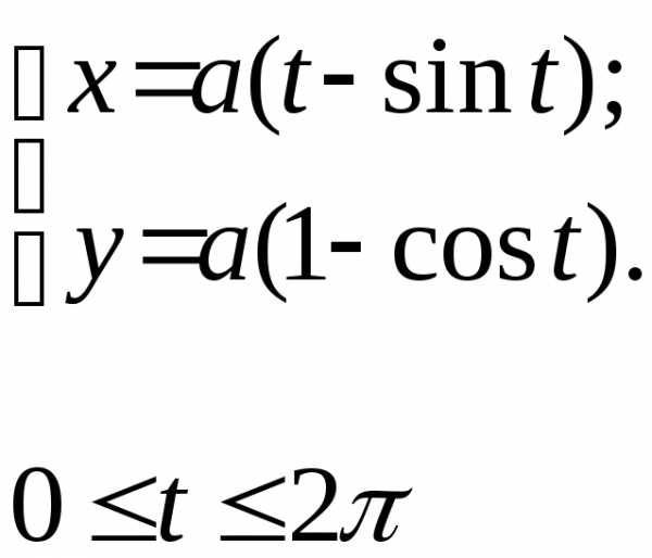
ЦИКЛОИДА:
(15.4)
Циклоидой называется
линия, описываемая окружностью с центром
в точке
,
радиуса



О
х
15.2 Производные параметрических функций
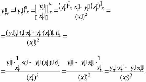
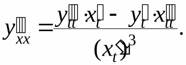
Рассмотрим функцию, заданную параметрическими уравнениями:

Таким образом, получили формулу:
(15.5)
Найдем вторую производную параметрической функции:

Таким образом, получили формулу:
(15.6)
Темы: «Дифференцирование неявных функций» и «Логарифмическое дифференцирование» Рассматриваются на практических занятиях!
15.3 Уравнения касательной и нормали к графику функции в заданной точке
Рассмотрим
функцию
,
непрерывную на некотором промежутке
.
Найдем уравнение касательной к графику
этой функции в точке,
принадлежащей данному промежутку.
Воспользуемся известным уравнением
прямой на плоскости, проходящей через
заданную точку с заданным угловым
коэффициентом. При этом, из геометрического
смысла производной известно, что угловым
коэффициентом касательной является
производная данной функции, вычисленная
в точке касания. Следовательно, искомым
уравнением является уравнение:
(15.7)
Нормалью графика функции в точке называется прямая, проходящая через эту точку, перпендикулярно касательной в данной точке. Следовательно, уравнение нормали:
(15.8)
ЛЕКЦИЯ 16
Дифференциал
studfiles.net
Гиперболические функции. Их свойства и дифференцирование.
В приложениях показательные функции часто встречаются в комбинациях
Вследствие этого эти комбинации получили особые названия. Первую называют гиперболическим косинусом, обозначая его через ch x (cos hyp х), а вторую — гиперболическим синусом, обозначая его через sh x (sin hyp x). Таким образом имеем
Эти обозначения и названия введены по аналогии с известными формулами Эйлера для тригонометрических функций
Исходя из равенств, определяющих sh x и ch x, можно развить теорию гиперболических функций. Формулы ее весьма схожи с формулами обыкновенной тригонометрии. Нетрудно проверить, что
ch (- х) = ch х, sh (- х) = — sh x, ch xi = cos x, sh xi = i sin x, ch2x — sh2x = 1.
Рассматривают также гиперболические тангенс и котангенс, определяя их с помощью равенств
Теорема сложения для гиперболических функций имеет вид
ch (x + y) = ch x·ch у + sh x·sh у,
sh (x + y) = sh х·ch у + sh y·ch x.
Нетрудно видеть, что
sh 2х = 2 sh х·ch x, ch 2x = ch2x + sh2x,
.
В приложениях приходится рассматривать и обратные гиперболические функции. Если положим ch
относительно ех, находим
,
откуда
.
Следовательно,
.
Впервой из этих двух формул допустимы перед корнем оба знака. Во второй — только один, ибо при отрицательном знаке логарифм перестает быть вещественным.
Дифференцируемость функции.
Дифференцируемость функции
Операция нахождения производной называется дифференцированием функции. Функция называетсядифференцируемой в некоторой точке, если она имеет в этой точке конечную производную, и дифференцируемой на некотором множестве, если она дифференцируема в каждой точке этого множества.
В силу геометрического смысла производной следующие два свойства равносильны друг другу: 1) функция дифференцируема при ; 2) график этой точки имеет касательную в точке , не параллельную оси ординат (т.е. с конечным угловым коэффициентом).
Теорема.Если функция дифференцируема в некоторой точке, она непрерывна в этой точке.
Доказательство. Пусть в некоторой точке области определения функции существует конечный предел
Запишем приращение функции в виде
и найдём
Следовательно, если , то и , а это означает, что функция непрерывна в рассматриваемой точке.
Таким образом, из дифференцируемости функции вытекает её непрерывность. Обратная теорема неверна, так как существуют непрерывные функции, которые в некоторых точках являются недифференцируемыми.
Пример 3. Функция
непрерывна в точке , но не дифференцируема в этой точке, так как в ней график не имеет касательной. (рис. 79).
Из сказанного выше следует, что непрерывность в точке x является необходимым, но не достаточным условием дифференцируемости функции в этой точке, так как из непрерывности функции в точке не всегда следует дифференцируемость в этой точке.
infopedia.su
, поэтому Аналогично: (chx)‘ = shx. Аналогично: | Известно, что (xn)‘ = nxn-1 для натурального n. Пусть теперь n любое действительное число и х>0. Справедливо тождество xn = enlnx. Тогда у = enlnx – сложная функция и ее производная вычисляется следующим образом: y’ = (enlnx)’ = enlnx(nlnx)’ = enlnx = xn = nxn-1. Итак, при любом действительном n и х>0 верна формула (xn)‘ = nxn-1. Можно показать, что эта формула справедлива и при х<0, если при этом функция y = xn определена. | В таблице приняты обозначения: с, n – любые действительные числа; а – любое положительное действительное число, кроме единицы. u= u(x) – функция, дифференцируемая в точке х, y = f (u) – функция, дифференцируемая в соответствующей точке u. Таблица составлена на основании формул дифференцирования основных элементарных функций и теоремы о производной сложной функции.
| Оцените материал:
lections.tk

