Рефрактометр со шкалой Брикса. Проверяем сахарный песок
Здравствуйте. В сегодняшнем обзоре я расскажу о рефрактометре RSG-100ATC со шкалой 0-32% Brix. Рефрактометр измеряет коэффициент преломления жидкости. В данном случае используется шкала Брикс — мера массового отношения растворённой в воде сахарозы к жидкости. Например, Раствор в 25 °Bx — 25 % (вес/вес), означает 25 граммов сахарозы в 100 граммах жидкости. Или, выражаясь иначе, в 100 граммах раствора находятся 25 граммов сахарозы и 75 граммов воды. Шкала Брикса используется в пищевой промышленности для измерения среднего количества сахара во фруктах, овощах, соках, вине, безалкогольных напитках, в сахарной промышленности и т.д. Из обзора вы узнаете зачем это нужно, а также в завершении обзора вас ждет тестирование сахарного песка от четырёх производителей. Как выяснилось, не весь сахар одинаково полезен…
Рефрактометр добрался ко мне за две недели почтой Китая. Он поставляется вот в такой удобной пластиковой коробочке для хранения:
В комплект входит инструкция на английском языке:
Тряпочка для протирки призмы, отвертка для калибровки и пипетка для отбора проб:
И, прежде чем я перейду непосредственно к рефрактометру – его краткие характеристики со страницы магазина:
Test Range: Brix 0 — 32%
Min.Div.: Brix 0.2%
Accuracy: Brix ± 0.20%
Automatic Temperature Compensation System (ATC)
Traditional version: Using screw driver for calibration
Sturdy and light weighted Aluminum body
Item length: approx. 175 mm
Рефрактометр выполнен из алюминиевого сплава. Для удобного удержания используется рифлёная резина.
Рефрактометр оснащен системой ATC. Это автоматическая температурная компенсация, позволяющая использовать растворы температурой от 10 до 30 градусов. Но наиболее точное измерение обеспечивается при температуре раствора 20 градусов:
На фото вы видите калибровочный винт, прикрывающийся резиновым колпачком. Для калибровки нужно капнуть на линзу дистиллированную воду и винтом установить шкалу на ноль.
Призма, прикрытая стеклом:
Откидываем стекло:
И капаем одну – две капли раствора на призму:
После чего закрываем призму стеклом.
Много раствора не требуется, самое главное, чтобы раствор равномерно распределился по призме и при этом отсутствовали воздушные пузырьки.
Принцип действия рефрактометра основан на свойстве света при переходе из более плотной оптической среды в менее плотную, полностью отражаться от границы сред.
Преломление знакомо многим. Наверное, все видели, эффект преломления в воде, например, ложки в стакане или:
В случае с рефрактометром на стекло известной оптической плотности наносится капля жидкости и по углу преломления считывается коэффициент преломления. Плотность раствора изменяется в зависимости от количества сахара в нём. Для считывания показаний достаточно поднести к глазу окуляр рефрактометра и считать показание по нанесённой шкале. При этом вращением окуляра можно подстроить резкость под своё зрение. Соответственно, одним рефрактометром можно измерять различные величины. Существуют специальные таблицы для перевода различных величин. Но всё же проще и удобнее для разных величин использовать разные рефрактометры.
Например, на фото сверху рефрактометр со шкалой Брикса, снизу рефрактометр с бОльшей по размеру шкалой содержания алкоголя:
Соответственно и длина алкогольного рефрактометра – больше.
Перед использованием, как я и писал выше нужно капнуть на призму дистиллированной воды и проверить, а при необходимости и произвести калибровку:
В данном случае – калибровки не потребовалось.
Рефрактометр полезен домашним виноделам, пивоварам, самогонщикам. Можно посмотреть, выработали ли дрожжи весь сахар в браге и не нужно ли добавить подкормку. В случае плодовых браг рефрактометр позволит узнать, не нужно ли добавить сахару и его количество для нормальной работы дрожжей.
Вот результат по сахарной браге. Гидромодуль: 1 килограмм сахара на 4 литра воды.
Изначально – 22 Брикс:
К сожалению, не на всех снимках получилась четкая граница, глазом всё видно резко.
По окончании брожения – 6,5 Брикс:
Для Android существует калькулятор «BrixCalc», который позволяет по этим показаниям определить примерное содержание алкоголя в браге:
13,9 градусов – это нормальное содержание алкоголя. Для браги нормой считается 12-15 градусов, которые можно получить естественным путём, без укрепления, например, «хвостами». При этих градусах дрожжи заканчивают свою работу и умирают.
И в завершении обзора, как я и обещал в самом начале – проверка сахарного песка от четырёх производителей. Наверное, многие замечали, например, когда вы пьёте чай, что один сахарный песок более сладкий, чем другой. И это вам не показалось. Недобросовестные производители – не спят.
В гипермаркете крупной торговой сети «Липкая железяка» я приобрел четыре пакета сахарного песка от разных производителей. Эта торговая сеть очень распространена и многие легко могут приобрести данный сахарный песок. Впрочем, он есть и в других магазинах, но от этого он не станет лучше или хуже.
Сахарный песок в количестве 5 грамм разводился водой до 50 грамм. Все измерения выполнены не на глаз, а всё взвешивалось:
В результате, в идеале мы должны получить 10 Брикс.
Итак, образец номер один:
Беларусь, город Слуцк:
10 Брикс:
Это качественный сахарный песок.
Образец номер два:
Беларусь, г.п. Городея:
9,5 Брикс:
Качество подкачало. Да и на вкус этот сахар не такой сладкий. И в браге градус получается меньшим. Не советую к приобретению.
Образец номер три:
Россия, Санкт-Петербург:
После изготовления раствора, стало понятно, что тут всё не так просто… На поверхности воды появилась белая пена. Давайте вспомним, как изготовляется сахар из сахарной свёклы:
Свеклу, которая поступает на сахарные заводы, моют и заливают раствором извести. Это делается для того, чтобы обеззаразить побитую, треснутую, подгнившую свеклу. Раствор извести или известковое молоко уничтожает микробы и бактерии.Если производитель не соблюдает технологию, остатки извести попадают в готовый продукт. А при добавлении такого сахара в чай и появляется белая пена на поверхности жидкости.
А ещё пены может добавить:
Следующим этапом в производстве сахара является измельчение свеклы, получение так называемой стружки, из которой при добавлении воды вытягивают сахар. Сахар вытягивают из свеклы с помощью особых химических соединений. Они называются поверхностно активными веществами (ПАВ). По сути, это чистящее средство. Оказывается, ПАВ есть в мыле и стиральных порошках. Было замечено, что если в смесь тертой свеклы и воды добавить поверхностно активные вещества, сходные с поверхностно активными веществами стирального порошка, то выход сахара в конце процесса увеличивается. Почему так происходит? Грубо говоря, свекольную стружку отстирали. ПАВ склеивают всю грязь в сахарном сиропе и превращают её в осадок. После этого ПАВ отфильтровываются.Если это делают с нарушением технологии, поверхностно активные вещества попадают в готовый продукт. А это однозначно брак.
И мало того, что на поверхности появилась белая пена, на дне осталось немного не растворившегося вещества.
Кроме того, рафинированный и нерафинированный сахар-песок могут быть заменены частично на другие пищевые продукты (мука, манная крупа) или непродовольственные товары (мел, алебастр, гипс, известь, песок). Известны также случаи обнаружения инспекторами Госторгинспскции (ныне Роспотребнадзор) подмешивания к сахарному песку толченого стекла. Для обнаружения таких способов фальсификации проверяется растворимость продукта и прозрачность раствора сахара. Все указанные средства фальсификации нерастворимы в воде. После размешивания и растворения сахара они выпадут в осадок.
Как итог – самый худший результат теста. Всего 9 Брикс:
Данный сахарный песок КАТЕГОРИЧЕСКИ не рекомендую к приобретению.
Мало того, что он содержит вещества не полезные для здоровья, сахар не сладкий, так еще и раствор имеет мерзкий вид из-за пены и осадка.
Образец номер четыре:
Россия, город Курск:
Результат – 10 Брикс:
Качественный и сладкий сахарный песок, вреда здоровью он не нанесёт, в отличии от предыдущего образца.
Спасибо за внимание. Всем здоровья.
Товар предоставлен для написания обзора магазином. Обзор опубликован в соответствии с п.18 Правил сайта.
Перевод брикс в г см3. Рефрактометр со шкалой Брикса. Проверяем сахарный песок. Определение влажности меда
13.01.04
Число Брикса
Вопрос:
— Собираюсь импортировать фруктовые соки. Расскажите, что такое число Брикса. И для чего его требуют на таможне?
Ответ:
— Для правильного декларирования товаров нужно знать состав соков.
Основными качественными показателями этих напитков, которые часто принимаются во внимание в коммерческих операциях, являются: плотность, растворимые сухие вещества — число Брике, а также показатель Ratio.
Число Брике характеризует содержание растворимых сухих веществ. По данному показателю можно судить о степени концентрации сока. Наиболее высокую плотность и соответственно высокие содержания растворимых сухих веществ имеют концентрированные соки. Например, концентрированный апельсиновый сок должен иметь число Брике 60 — 67, а минимальный показатель для восстановленного сока около 11.
Показатель Ratio используют для оценки вкусовых качеств напитков. Он характеризует соотношение сахара и кислот. Продукты со сбалансированным соотношением Сахаров и кислот имеют показатель Ratio, лежащий в интервале от 12 до 15. Продукты с Ratio более 15 имеют преобладающий сладкий вкус. с Ratio менее 12 — преобладающий кислый.
Качественные показатели соков определяются в лабораторных условиях.
Здравствуйте. В сегодняшнем обзоре я расскажу о рефрактометре RSG-100ATC со шкалой 0-32% Brix. Рефрактометр измеряет коэффициент преломления жидкости. В данном случае используется шкала Брикс — мера массового отношения растворённой в воде сахарозы к жидкости.
Например, Раствор в 25 °Bx — 25 % (вес/вес), означает 25 граммов сахарозы в 100 граммах жидкости. Или, выражаясь иначе, в 100 граммах раствора находятся 25 граммов сахарозы и 75 граммов воды. Шкала Брикса используется в пищевой промышленности для измерения среднего количества сахара во фруктах, овощах, соках, вине, безалкогольных напитках, в сахарной промышленности и т.д. Из обзора вы узнаете зачем это нужно, а также в завершении обзора вас ждет тестирование сахарного песка от четырёх производителей. Как выяснилось, не весь сахар одинаково полезен…
Рефрактометр добрался ко мне за две недели почтой Китая. Он поставляется вот в такой удобной пластиковой коробочке для хранения:
В комплект входит инструкция на английском языке:
Тряпочка для протирки призмы, отвертка для калибровки и пипетка для отбора проб:
И, прежде чем я перейду непосредственно к рефрактометру – его краткие характеристики со страницы магазина:
Specifications:
Test Range: Brix 0 — 32%
Min.
Div. : Brix 0.2%
Accuracy: Brix ± 0.20%
Automatic Temperature Compensation System (ATC)
Traditional version: Using screw driver for calibration
Sturdy and light weighted Aluminum body
Item length: approx. 175 mm
Рефрактометр выполнен из алюминиевого сплава. Для удобного удержания используется рифлёная резина.
Рефрактометр оснащен системой ATC . Это автоматическая температурная компенсация, позволяющая использовать растворы температурой от 10 до 30 градусов. Но наиболее точное измерение обеспечивается при температуре раствора 20 градусов:
На фото вы видите калибровочный винт, прикрывающийся резиновым колпачком. Для калибровки нужно капнуть на линзу дистиллированную воду и винтом установить шкалу на ноль.
Призма, прикрытая стеклом:
Откидываем стекло:
И капаем одну – две капли раствора на призму:
После чего закрываем призму стеклом. Много раствора не требуется, самое главное, чтобы раствор равномерно распределился по призме и при этом отсутствовали воздушные пузырьки.
Принцип действия рефрактометра основан на свойстве света при переходе из более плотной оптической среды в менее плотную, полностью отражаться от границы сред.
Преломление знакомо многим. Наверное, все видели, эффект преломления в воде, например, ложки в стакане или:
В случае с рефрактометром на стекло известной оптической плотности наносится капля жидкости и по углу преломления считывается коэффициент преломления. Плотность раствора изменяется в зависимости от количества сахара в нём. Для считывания показаний достаточно поднести к глазу окуляр рефрактометра и считать показание по нанесённой шкале. При этом вращением окуляра можно подстроить резкость под своё зрение. Соответственно, одним рефрактометром можно измерять различные величины. Существуют специальные таблицы для перевода различных величин. Но всё же проще и удобнее для разных величин использовать разные рефрактометры. Это практичнее и быстрее, к тому же бОльшая шкала может не уместится в конкретном рефрактометре.
Например, на фото сверху рефрактометр со шкалой Брикса, снизу рефрактометр с бОльшей по размеру шкалой содержания алкоголя:
Соответственно и длина алкогольного рефрактометра – больше.
Перед использованием, как я и писал выше нужно капнуть на призму дистиллированной воды и проверить, а при необходимости и произвести калибровку:
Рефрактометр полезен для определения сладости водных растворов, сладости и зрелости ягод и фруктов. Вот этим мы сейчас и займёмся, как я и обещал в самом начале – проверка сахарного песка от четырёх производителей. Наверное, многие замечали, например, когда вы пьёте чай, что один сахарный песок более сладкий, чем другой. И это вам не показалось. Недобросовестные производители – не спят.
В гипермаркете крупной торговой сети «Липкая железяка» я приобрел четыре пакета сахарного песка от разных производителей. Эта торговая сеть очень распространена и многие легко могут приобрести данный сахарный песок. Впрочем, он есть и в других магазинах, но от этого он не станет лучше или хуже.
Сахарный песок в количестве 5 грамм разводился водой до 50 грамм. Все измерения выполнены не на глаз, а всё взвешивалось:
В результате, в идеале мы должны получить 10 Брикс.
Итак, образец номер один:
Беларусь, город Слуцк:
10 Брикс:
Это качественный сахарный песок.
Образец номер два:
Беларусь, г.п. Городея:
9,5 Брикс:
Качество подкачало. Да и на вкус этот сахар не такой сладкий. Не советую к приобретению.
Образец номер три:
Россия, Санкт-Петербург:
После изготовления раствора, стало понятно, что тут всё не так просто… На поверхности воды появилась белая пена. Давайте вспомним, как изготовляется сахар из сахарной свёклы:
Свеклу, которая поступает на сахарные заводы, моют и заливают раствором извести. Это делается для того, чтобы обеззаразить побитую, треснутую, подгнившую свеклу. Раствор извести или известковое молоко уничтожает микробы и бактерии.
Если производитель не соблюдает технологию, остатки извести попадают в готовый продукт. А при добавлении такого сахара в чай и появляется белая пена на поверхности жидкости.
А ещё пены может добавить:
Следующим этапом в производстве сахара является измельчение свеклы, получение так называемой стружки, из которой при добавлении воды вытягивают сахар. Сахар вытягивают из свеклы с помощью особых химических соединений. Они называются поверхностно активными веществами (ПАВ). По сути, это чистящее средство. Оказывается, ПАВ есть в мыле и стиральных порошках. Было замечено, что если в смесь тертой свеклы и воды добавить поверхностно активные вещества, сходные с поверхностно активными веществами стирального порошка, то выход сахара в конце процесса увеличивается. Почему так происходит? Грубо говоря, свекольную стружку отстирали. ПАВ склеивают всю грязь в сахарном сиропе и превращают её в осадок. После этого ПАВ отфильтровываются. Если это делают с нарушением технологии, поверхностно активные вещества попадают в готовый продукт.
А это однозначно брак.
И мало того, что на поверхности появилась белая пена, на дне осталось немного не растворившегося вещества.
Кроме того, рафинированный и нерафинированный сахар-песок могут быть заменены частично на другие пищевые продукты (мука, манная крупа) или непродовольственные товары (мел, алебастр, гипс, известь, песок). Известны также случаи обнаружения инспекторами Госторгинспскции (ныне Роспотребнадзор) подмешивания к сахарному песку толченого стекла. Для обнаружения таких способов фальсификации проверяется растворимость продукта и прозрачность раствора сахара. Все указанные средства фальсификации нерастворимы в воде. После размешивания и растворения сахара они выпадут в осадок.
Как итог – самый худший результат теста. Всего 9 Брикс:
Данный сахарный песок КАТЕГОРИЧЕСКИ не рекомендую к приобретению. Мало того, что он содержит вещества не полезные для здоровья, сахар не сладкий, так еще и раствор имеет мерзкий вид из-за пены и осадка.
Образец номер четыре:
Россия, город Курск:
Результат – 10 Брикс:
Качественный и сладкий сахарный песок, вреда здоровью он не нанесёт, в отличии от предыдущего образца.
Спасибо за внимание. Всем здоровья.
Здравствуйте. В сегодняшнем обзоре я расскажу о рефрактометре RSG-100ATC со шкалой 0-32% Brix. Рефрактометр измеряет коэффициент преломления жидкости. В данном случае используется шкала Брикс — мера массового отношения растворённой в воде сахарозы к жидкости. Например, Раствор в 25 °Bx — 25 % (вес/вес), означает 25 граммов сахарозы в 100 граммах жидкости. Или, выражаясь иначе, в 100 граммах раствора находятся 25 граммов сахарозы и 75 граммов воды. Шкала Брикса используется в пищевой промышленности для измерения среднего количества сахара во фруктах, овощах, соках, вине, безалкогольных напитках, в сахарной промышленности и т.д. Из обзора вы узнаете зачем это нужно, а также в завершении обзора вас ждет тестирование сахарного песка от четырёх производителей.
Как выяснилось, не весь сахар одинаково полезен…
Рефрактометр добрался ко мне за две недели почтой Китая. Он поставляется вот в такой удобной пластиковой коробочке для хранения:
В комплект входит инструкция на английском языке:
Тряпочка для протирки призмы, отвертка для калибровки и пипетка для отбора проб:
И, прежде чем я перейду непосредственно к рефрактометру – его краткие характеристики со страницы магазина:
Test Range: Brix 0 — 32%
Min. Div.: Brix 0.2%
Accuracy: Brix ± 0.20%
Automatic Temperature Compensation System (ATC)
Traditional version: Using screw driver for calibration
Sturdy and light weighted Aluminum body
Item length: approx. 175 mm
Рефрактометр выполнен из алюминиевого сплава. Для удобного удержания используется рифлёная резина.
Рефрактометр оснащен системой ATC. Это автоматическая температурная компенсация, позволяющая использовать растворы температурой от 10 до 30 градусов.
Но наиболее точное измерение обеспечивается при температуре раствора 20 градусов:
На фото вы видите калибровочный винт, прикрывающийся резиновым колпачком. Для калибровки нужно капнуть на линзу дистиллированную воду и винтом установить шкалу на ноль.
Призма, прикрытая стеклом:
Откидываем стекло:
И капаем одну – две капли раствора на призму:
После чего закрываем призму стеклом. Много раствора не требуется, самое главное, чтобы раствор равномерно распределился по призме и при этом отсутствовали воздушные пузырьки.
Принцип действия рефрактометра основан на свойстве света при переходе из более плотной оптической среды в менее плотную, полностью отражаться от границы сред.
Преломление знакомо многим. Наверное, все видели, эффект преломления в воде, например, ложки в стакане или:
В случае с рефрактометром на стекло известной оптической плотности наносится капля жидкости и по углу преломления считывается коэффициент преломления.
Плотность раствора изменяется в зависимости от количества сахара в нём. Для считывания показаний достаточно поднести к глазу окуляр рефрактометра и считать показание по нанесённой шкале. При этом вращением окуляра можно подстроить резкость под своё зрение. Соответственно, одним рефрактометром можно измерять различные величины. Существуют специальные таблицы для перевода различных величин. Но всё же проще и удобнее для разных величин использовать разные рефрактометры. Это практичнее и быстрее, к тому же бОльшая шкала может не уместится в конкретном рефрактометре.
Например, на фото сверху рефрактометр со шкалой Брикса, снизу рефрактометр с бОльшей по размеру шкалой содержания алкоголя:
Соответственно и длина алкогольного рефрактометра – больше.
Перед использованием, как я и писал выше нужно капнуть на призму дистиллированной воды и проверить, а при необходимости и произвести калибровку:
В данном случае – калибровки не потребовалось.
Рефрактометр полезен домашним виноделам, пивоварам, самогонщикам.
Можно посмотреть, выработали ли дрожжи весь сахар в браге и не нужно ли добавить подкормку. В случае плодовых браг рефрактометр позволит узнать, не нужно ли добавить сахару и его количество для нормальной работы дрожжей.
Вот результат по сахарной браге. Гидромодуль: 1 килограмм сахара на 4 литра воды.
Изначально – 22 Брикс:
К сожалению, не на всех снимках получилась четкая граница, глазом всё видно резко.
По окончании брожения – 6,5 Брикс:
Для Android существует калькулятор «BrixCalc», который позволяет по этим показаниям определить примерное содержание алкоголя в браге:
13,9 градусов – это нормальное содержание алкоголя. Для браги нормой считается 12-15 градусов, которые можно получить естественным путём, без укрепления, например, «хвостами». При этих градусах дрожжи заканчивают свою работу и умирают.
И в завершении обзора, как я и обещал в самом начале – проверка сахарного песка от четырёх производителей. Наверное, многие замечали, например, когда вы пьёте чай, что один сахарный песок более сладкий, чем другой.
И это вам не показалось. Недобросовестные производители – не спят.
В гипермаркете крупной торговой сети «Липкая железяка» я приобрел четыре пакета сахарного песка от разных производителей. Эта торговая сеть очень распространена и многие легко могут приобрести данный сахарный песок. Впрочем, он есть и в других магазинах, но от этого он не станет лучше или хуже.
Сахарный песок в количестве 5 грамм разводился водой до 50 грамм. Все измерения выполнены не на глаз, а всё взвешивалось:
В результате, в идеале мы должны получить 10 Брикс.
Итак, образец номер один:
Беларусь, город Слуцк:
Это качественный сахарный песок.
Образец номер два:
Беларусь, г.п. Городея:
9,5 Брикс:
Качество подкачало. Да и на вкус этот сахар не такой сладкий. И в браге градус получается меньшим. Не советую к приобретению.
Образец номер три:
Россия, Санкт-Петербург:
После изготовления раствора, стало понятно, что тут всё не так просто… На поверхности воды появилась белая пена.
Давайте вспомним, как изготовляется сахар из сахарной свёклы:
Свеклу, которая поступает на сахарные заводы, моют и заливают раствором извести. Это делается для того, чтобы обеззаразить побитую, треснутую, подгнившую свеклу. Раствор извести или известковое молоко уничтожает микробы и бактерии. Если производитель не соблюдает технологию, остатки извести попадают в готовый продукт. А при добавлении такого сахара в чай и появляется белая пена на поверхности жидкости.
А ещё пены может добавить:
Следующим этапом в производстве сахара является измельчение свеклы, получение так называемой стружки, из которой при добавлении воды вытягивают сахар. Сахар вытягивают из свеклы с помощью особых химических соединений. Они называются поверхностно активными веществами (ПАВ). По сути, это чистящее средство. Оказывается, ПАВ есть в мыле и стиральных порошках. Было замечено, что если в смесь тертой свеклы и воды добавить поверхностно активные вещества, сходные с поверхностно активными веществами стирального порошка, то выход сахара в конце процесса увеличивается.Почему так происходит? Грубо говоря, свекольную стружку отстирали. ПАВ склеивают всю грязь в сахарном сиропе и превращают её в осадок. После этого ПАВ отфильтровываются. Если это делают с нарушением технологии, поверхностно активные вещества попадают в готовый продукт. А это однозначно брак.
И мало того, что на поверхности появилась белая пена, на дне осталось немного не растворившегося вещества.
Кроме того, рафинированный и нерафинированный сахар-песок могут быть заменены частично на другие пищевые продукты (мука, манная крупа) или непродовольственные товары (мел, алебастр, гипс, известь, песок). Известны также случаи обнаружения инспекторами Госторгинспскции (ныне Роспотребнадзор) подмешивания к сахарному песку толченого стекла. Для обнаружения таких способов фальсификации проверяется растворимость продукта и прозрачность раствора сахара. Все указанные средства фальсификации нерастворимы в воде. После размешивания и растворения сахара они выпадут в осадок.
Как итог – самый худший результат теста. Всего 9 Брикс:
Образец номер четыре:
Россия, город Курск:
Результат – 10 Брикс:
Качественный и сладкий сахарный песок, вреда здоровью он не нанесёт, в отличии от предыдущего образца.
Спасибо за внимание. Всем здоровья.
Товар предоставлен для написания обзора магазином. Обзор опубликован в соответствии с п.18 Правил сайта.
Планирую купить +50 Добавить в избранное Обзор понравился +111 +210
Плотность сусла и крепость пива, какая взаимосвязь?
Измеряем плотность сусла
Если быть кратким, сусло – это водный охмеленный экстракт пивного солода. Именно от первоначальной и конечной плотности пивного сусла зависит крепость пива. Для определения плотности сусла используется специальный прибор называемый ареометром.
Ареометр погружается в емкость (мерный цилиндр или пробирку) с пивным суслом до его брожения, смотрим показания ареометра и записываем, получаем начальную плотность сусла.
Повторяем процесс измерения после того как сусло перебродило, тем самым узнаем конечную плотность сусла. Теперь мы готовы расчитать крепость пива, а точнее содержание алкоголя на объем.
Как снимать показания
Начальная плотность меряется очень просто, вы просто капаете на Рефрактометр 1-2 капли сусла перед тем, как поставить пиво на брожение и определяете его плотность в Brix. Граница белого поля и синего четко показывает текущий результат.
C конечной плотность немного сложнее. Когда жидкость уже содержит алкоголь, рефрактометр дает искаженные показания, но существует специальный калькулятор, который позволяет определить точные цифры конечной плотности вашего пива. Так же он помогает посчитать конечное содержание алкоголя.
Калькулятор начальной плотности из Brix в Gravity
C помощью данного калькулятора вы можете пересчитать показания из Brix в Gravity: вставьте цифру Measured Brix (Измерения в Brix), нажмите Посчитать и калькулятор посчитает данный показатель в Gravity.
Чтать также: Для чего нужна махорка
Калькулятор из Brix в Gravity во время брожения и после его окончания
Введите Original Brix (Начальная плотность в Brix – то что показывал рефрактометр в самом начале) и Current Brix (Конечная плотность в Brix — то, что вам показывает рефрактометр сейчас). Нажмите Посчитать и калькулятор высчитывает Current Gravity (Реальную конечную плотность в Gravity).
Калькулятор Содержания алкоголя в % и Начальной плотности в Gravity
Введите Current Brix (Конечная плотность в Brix — то, что вам показывает рефрактометр сейчас) и Current Gravity (Реальную конечную плотность в Gravity, то, что вы посчитали в пункте 2).
Нажмите Посчитать и калькулятор покажет ABV (Конечное содержания алкоголя в вашем пиве в %) и Original Gravity (Начальной плотности в Gravity).
Международная шкала горечи (International Bitterness Units — IBU)
— измеряет количество изогумолона (isohumulone) – горького вещества в хмеле, альфа кислота, соответственно в пиве, количество миллиграмм на литр. Этот IBU калькулятор рассчитывает хмелевую горечь на основе внесения до шести хмелей. Он работает для солодового и экстрактного пивоварения. Международная единица горечи (IBU) используется для того, что бы узнать на сколько ваше пиво горькое (чем выше горечь, тем выше показатель IBU). Пиво с количеством изогумолона до 20 IBU, для подавляющего большинства людей, имеет мягкий, не горький вкус, это разные легкие Лагеры. Пиво с 60 IBU имеет достаточно горький привкус – это Стауты типа Гинесса. После 100 IBU у большинства людей возникает что-то похожее на вкусовой шок, однако всегда найдутся любители погорчее и погорячее. В этом деле существую, конечно же, и крайности.
Так компания Flying Monkeys Brewery из Ontario выпустила напиток под названием “Alpha Fornication” с горечью в 2500 IBU, что побило предыдущий рекород — напиток от Mikkeller “Hop Juice X 2007 IBU” – в 2007 IBU.
Вы можете использовать этот калькулятор для собственного крафтового рецепта, чтобы ваше пиво соответствовало выбранному стилю пива.
| Калькулятор горечи (IBU) |
Расчитываем крепость пива
Зная начальную плотность пивного сусла до постановки его на брожение и конечную плотность сусла после брожения можно рассчитать крепость пива. Алкоголь определятся как разница алкоголя соответствующего начальной плотности сусла и алкоголя соответствующего конечной плотности сусла.
В итоге получим следующую формулу:
Alc(%)=Alc(P1)-Alc(P2)
.
К примеру, плотность сусла при постановке на брожение была 9,85%, что соответствует алкоголю 4,75%, а после брожения плотность сусла была 3%, что соответствует алкоголю 1,25%. Получим: Alc(%)=4,75-1,25=3,5% — конечное содержание алкоголя на объем.
СТОП!
После того как пиво перебродило, мы добавляем в него сахарный сироп и ставим на дображивание для естественнго процесса карбонизации. А это означает, что пиво после карбонизации станет немного крепче. Для учета этой погрешности мы будет к конечному содержанию алкоголя на объем добавлять еще 0,4-0,5%. В итоге содержание алкоголя Alc(%)=3,5%+0,5%=4%
Теперь я думаю всем понятно, что ареометр просто необходимая вещь для любого пивовара, как начинающего, так и для «бывалого».
Ниже я привел таблицу соответствия плотности пива к алкоголю, также вы можете расчитать конечное сожержание алкоголя с помощью калькулятора на сайте.
Таблица плотности пива и соответствия алкоголя
| Алкоголь, % | Плотность по гидрометру | Плотность по ареометру рос. шкала, % | Алкоголь, % | Плотность по гидрометру | Плотность по ареометру рос. шкала, % |
| 0,00 | 1,002 | 0,50 | 7,50 | 1,060 | 15,00 |
| 0,25 | 1,004 | 1,00 | 7,75 | 1,061 | 15,38 |
| 0,50 | 1,006 | 1,50 | 8,00 | 1,063 | 15,75 |
| 0,75 | 1,008 | 2,00 | 8,25 | 1,065 | 16,25 |
| 1,00 | 1,010 | 2,50 | 8,50 | 1,067 | 16,75 |
| 1,25 | 1,012 | 3,00 | 8,75 | 1,069 | 17,25 |
| 1,50 | 1,014 | 3,50 | 9,00 | 1,071 | 17,75 |
| 1,75 | 1,016 | 4,00 | 9,25 | 1,073 | 18,25 |
| 2,00 | 1,018 | 4,50 | 9,50 | 1,075 | 18,75 |
| 2,25 | 1,020 | 5,00 | 9,75 | 1,076 | 19,13 |
| 2,50 | 1,022 | 5,50 | 10,00 | 1,078 | 19,50 |
| 2,75 | 1,024 | 6,00 | 10,25 | 1,080 | 20,00 |
| 3,00 | 1,026 | 6,50 | 10,50 | 1,082 | 20,50 |
| 3,25 | 1,028 | 7,00 | 10,75 | 1,084 | 21,00 |
| 3,50 | 1,030 | 7,50 | 11,00 | 1,086 | 21,50 |
| 3,75 | 1,032 | 8,00 | 11,25 | 1,088 | 22,00 |
| 4,00 | 1,034 | 8,50 | 11,50 | 1,090 | 22,50 |
| 4,25 | 1,036 | 9,00 | 11,75 | 1,092 | 23,13 |
| 4,50 | 1,038 | 9,50 | 12,00 | 1,093 | 23,25 |
| 4,75 | 1,040 | 9,88 | 12,25 | 1,095 | 23,75 |
| 5,00 | 1,041 | 10,25 | 12,50 | 1,097 | 24,25 |
| 5,25 | 1,043 | 10,75 | 12,75 | 1,098 | 24,50 |
| 5,50 | 1,045 | 11,25 | 13,00 | 1,100 | 25,00 |
| 5,75 | 1,047 | 11,75 | 13,25 | 1,100 | 25,50 |
| 6,00 | 1,049 | 12,25 | 13,50 | 1,104 | 26,00 |
| 6,25 | 1,051 | 12,75 | 13,75 | 1,105 | 26,25 |
| 6,50 | 1,053 | 13,25 | 14,00 | 1,107 | 26,75 |
| 6,75 | 1,055 | 13,38 | 14,25 | 1,109 | 27,25 |
| 7,00 | 1,056 | 14,00 | 14,50 | 1,111 | 27,75 |
| 7,25 | 1,058 | 14,50 | 14,75 | 1,113 | 28,25 |
Вот теперь имея под рукой таблицу сравнения, Вы можете полностью контролировать процесс пивоварения, зная, что получите в результате.
Если Вы решили серьезно подойти к процессу пивоварения рекомендую и распечатать таблицу, чтобы она всегда была у Вас перед глазами.
В дальнейших статьях, когда мы будем поэтапно рассматривать процесс пивоварения, я опишу, как можно повлиять на крепость пива, хотя я думаю, Вы уже и сами догадались.
Удачного Вам процесса сбраживания!
Брикс, Боллинг, Плато
Шкала Боллинга была разработана немецким химиком Карлом Боллингом. Она опирается на концентрацию раствора сахарозы как массовая доля сахарозы при 17,5 °C
Шкала Брикса изначально была выведена, когда Адольф Брикс пересчитал шкалу Боллинга в отношении температуры 15,5 °C. Шкала Брикса была впоследствии пересчитана снова и сейчас ссылается к температуре 20°C. Брикс может быть исчислен по следующей формуле: 261.3*(1 — 1/р), где р — плотность раствора при температуре 20°C.
Чтать также: Поможет ли уголь при отравлении
Шкала Плато, исчисляемая в градусах Плато также является усовершенствованием шкалы Боллинга.
Она основывается на температуре раствора 17,5 °C с небольшой особенностью, с приближением 260*(1 — 1/р), где р — плотность раствора при температуре 17,5 °C.
Эти три шкалы часто используются попеременно, так как разница несущественна. Брикс в основном используется для фруктовых соков, в виноделии и сахарной промышленности.
Плато используется в пивоварении.
Боллинг все ещё встречается в старых сахариметрах и все ещё используется в винодельческой промышленности Южной Африки.
Применение
Шкала Брикса используется в пищевой промышленности для измерения среднего количества сахара в фруктах, овощах, соках, вине, безалкогольных напитках и в сахарной промышленности. Различные страны используют шкалу в различных отраслях промышленности.
Для фруктовых соков один градус брикс примерно равен 1-2% сахара по массе, что обычно хорошо сопоставимо с воспринимаемой сладостью.
Так как Брикс связан с концентрацией растворённых твёрдых веществ (в основном сахарозы) в жидкости, он также связан с удельной массой (плотностью) жидкостей.
А поскольку удельная масса (плотность) раствора сахарозы широко известна, Брикс также может быть определён рефрактометром.
Современные измерители по шкале Брикса — это цифровые рефрактометры, которые определяют значение Брикса на основе значения рефрактометра. Эти приборы обычно компактны, брызгонепроницаемы и просты в использовании, и могут быть использованы кем угодно прямо на месте. Всё чаще Брикс измеряется для определения идеального времени для сбора урожая фруктов и овощей, чтобы продукция достигла потребителя в идеальной стадии или в идеальном качестве для последующей переработки в виноделии.
Существует две шкалы измерений плотности (содержания сахара) в жидкости: Brix и Gravity. По сути, это одно и то же, но в разных единицах измерения, как температура по Цельсию и по Фаренгейту. В России более популярны Ареометры, которые измеряют в единицах Brix, в Европе и мире более популярны Гидрометры, где единица измерения Gravity.
ИНСТРУКЦИЯ:
- Введите объем вашего сусла до кипячения в литрах
- Введите объем сусла в конце варки (после кипячения) в литрах
- Укажите начальную плотность сусла (после кипячения).
Для перевода процентной экстрактивности в весовую необходимо умножить показатель на 4. Например, начальная экстрактивность сусла составила 12 %. 12 х 4 = 48, значит весовая плотность равна 1.048 - Введите вес хмеля в граммах
- Введите содержание альфа-кислоты в вашем хмеле;
- Укажите время варки в минутах, если хмель добавляется за 45 минут до конца варки, введите 45.
1.3. Аппаратура, материалы, реактивы
Весы лабораторные общего назначения с наибольшим пределом взвешивания 1 кг, ценой деления не более 0,1 г, по ГОСТ 24104*.
Весы лабораторные общего назначения с наибольшим пределом взвешивания 200 г, ценой деления не более 0,1 мг, по ГОСТ 24104.
Аппарат универсальный для встряхивания жидкости в колбах и пробирках типа АВУ или других типов, обеспечивающих возможность встряхивания жидкостей в бутылках.
Баня водяная.
Шкаф сушильный.
Часы механические с сигнальным устройством по ГОСТ 3145 или других марок.
Термометр по ГОСТ 28498.
Колба Кн-1-1000 или Кн-2-1000 по ГОСТ 25336.
Колба П-1, П-2—250 или П-1, П-2—500 по ГОСТ 25336.
Воронка В-56 или В-75, или В-100 по ГОСТ 25336.
Холодильник ХПТ-3 или ХШ-3 по ГОСТ 25336.
Каплеуловитель КО-14/23—60 или КО-60 по ГОСТ 25336.
Пикнометр ПЖ2—50 или ПЖЗ—1—50, или ПЖЗ—2—50 по ГОСТ 22524, допускается применение пикнометра Рейшауэра номинальной вместимостью 50 см3 и горловиной диаметром не более 6 мм.
Стакан 4 или 5 по ГОСТ 9147.
Вода дистиллированная по ГОСТ 6709.
Издание официальное
* С 1 июля 2002 г. введен в действие ГОСТ 24104-2001. На территории Российской Федерации действует ГОСТ Р 53228-2008 (здесь и далее).
Перепечатка воспрещена
© Издательство стандартов, 1981 © СТАНДАРТИНФОРМ, 2011
ИНФОРМАЦИОННЫЕ ДАННЫЕ
1. РАЗРАБОТАН И ВНЕСЕН Министерством пищевой промышленности СССР РАЗРАБОТЧИКИ
П.М. Яшнова, канд. техн. наук; Л.Г. Шмидт; Т.П. Рыжова
2. УТВЕРЖДЕН И ВВЕДЕН В ДЕЙСТВИЕ Постановлением Государственного комитета СССР по стандартам от 31.
12.81 № 5940
3. Стандарт полностью соответствует СТ СЭВ 4261—83, СТ СЭВ 4262—83
4. ВЗАМЕН ГОСТ 12787-67
5. ССЫЛОЧНЫЕ НОРМАТИВНО-ТЕХНИЧЕСКИЕ ДОКУМЕНТЫ
| Обозначение НТД, на который дана ссылка | Номер пункта |
| ГОСТ 2652-78 | 1.3 |
| ГОСТ 3145-84 | 1.3 |
| ГОСТ 4204-77 | 1.3 |
| ГОСТ 5962-67 | 1.3 |
| ГОСТ 6709-72 | 1.3 |
| ГОСТ 9147-80 | 1.3 |
| ГОСТ 12026-76 | 1.3 |
| ГОСТ 12786-80 | 1.2; 2.2 |
| ГОСТ 18300-87 | 1.3 |
| ГОСТ 22524-77 | 1.3 |
| ГОСТ 24104-88 | 1.3 |
| ГОСТ 25336-82 | 1.3 |
| ГОСТ 28498-90 | 1.3 |
6. Ограничение срока действия снято Постановлением Госстандарта от 27.10.92 № 1460
7. ИЗДАНИЕ (февраль 2011 г.) с Изменениями № 1, 2, утвержденными в октябре 1984 г.
, июне 1987 г. (ИУС 1-85, 10-87)
46
Калия бихромат по ГОСТ 2652.
Кислота серная по ГОСТ 4204.
Спирт этиловый ректификованный по ГОСТ 59621 или ГОСТ 18300.
Бумага фильтровальная лабораторная по ГОСТ 12026.
(Измененная редакция, Изм. № 2).
Методы определения спирта, действительного экстракта и расчет сухих веществ в начальном сусле
Methods for determination of spirit, actual extract and estimation of dry substances in the initial must
МКС 67.160.10 ОКСТУ 9109
Дата введения 01.01.83
Настоящий стандарт распространяется на пиво и устанавливает методы определения спирта, действительного экстракта в пиве и вычисления сухих веществ в начальном сусле.
Стандарт полностью соответствует СТ СЭВ 4261—83, СТ СЭВ 4262—83.
(Измененная редакция, Изм. № 1).
brix scale — русский перевод
( BRIX) | ( BRIX) |
Brix | R2 0,80 |
Minimum Brix | Минимальное значение по шкале Брикса |
Minimum Brix | 3. |
To Brix? | Бриксу? |
Brix speaking. | Вы можете поговорить с Мейером. |
Graph Brix º | График Индекс Брикса |
Grapes Brix levels | Grapes Brix levels |
Brix is waiting. | Брикс ждет. |
Brix found this. | Брикс нашел это. |
Brix here. Yes. | Брикс слушает. |
Table 4 Brix º | Таблица 4 Индекс Брикса |
Discussion on brix values | Обсуждение величин по шкале Брикса |
Minimum sugar content ( Brix) | Минимальное содержание сахара (градусы по шкале Брикса) |
Round them up, Brix. | Окружай их, Брикс. |
Brix is out there. | Брикс уже там. |
Brix for all seedless varieties. | 13 по шкале Брикса для всех прочих разновидностей. |
Mr. Bohuslav BRIX (Czech Republic) | Г н Богуслав БРИКС (Чешская Республика) |
I’m Lennart Brix, deputy manager. | Я Леннарт Брикс, заместитель начальника полиции. |
Brix won’t use any resources. | Брикс счел это пустой тратой времени. |
14 Brix for all seedless varieties. | 14о по шкале Брикса для всех бескосточковых разновидностей. |
14 Brix for all seedless varieties, | 14 по шкале Брикса для всех бессемянных разновидностей |
13 Brix for all other varieties. | 13 по шкале Брикса для всех прочих разновидностей. |
The minimum sugar content in Brix | минимальное содержание сахара (по шкале Брикса). |
14 Brix for all seedless varieties. | 14о по шкале Брикса для всех бескосточковых разновидностей. |
Measurement of Brix level at harvest | определение степени зрелости по методу Брикса к моменту сбора урожая. |
The minimum sugar content in Brix | Минимальное содержание сахара (в градусах по шкале Брикса) |
Bohuslav Brix Director, Air Protection Department | Богуслав Брикс Директор Отдела охраны воздуха |
Mr. Bohuslav Brix (Czech Republic) and | г н Богуслав БРИКС (Чешская Республика) и |
14 Brix for all seedless varieties, | 14по шкале Брикса для всех бессемянных разновидностей |
13 Brix for all other varieties. | 13по шкале Брикса для всех прочих разновидностей. |
14 Brix for all seedless varieties. | 14 по шкале Брикса для всех бессемянных разновидностей. |
13 Brix for all other varieties. | 13по шкале Брикса для всех прочих разновидностей. |
14 Brix for all seedless varieties. | 14 по шкале Брикса для всех бессемянных разновидностей. |
Then do what you say. Brix. | Ключ в машине. |
Call Brix and let it confirm. | Мы готовим арест подозреваемого. |
Dry matter content is measured in Brix degrees by refractometer 14 of dry matter corresponds to … Brix.. | Содержание сухого вещества определяется с помощью рефрактометра в градусах по шкале Брикса 14 сухого вещества соответствует . |
The total soluble solids content of the fruit flesh should be at least 120 Brix (twelve Brix degrees). | Минимальное общее содержание растворимых твердых веществ в мякоти должно составлять не менее (12 ) двенадцати градусов по шкале Брикса. |
13 Brix for all other seeded varieties, | 13о по шкале Брикса для всех других косточковых разновидностей, |
13 Brix for all other seeded varieties, | 13о по шкале Брикса для всех других косточковых разновидностей, |
13 Brix for all other seeded varieties, | 13 по шкале Брикса для прочих разновидностей с семенами, |
Brix levels for apples English and French | Brix levels for apples English and French |
13 Brix for all other seeded varieties, | 13 по шкале Брикса для прочих разновидностей с семенами, |
Lennart Brix is waiting in your office. | Леннарт Брикс ждет в вашем офисе. |
Brix expects us to bring Hartmann in. | Мы должны заниматься Хартманном. |
Поляриметрия. Глоссарий
ICUMSA. Международная комиссия по унифицированным методам анализа в сахарной промышленности — международный орган по стандартизации, объединяющий деятельность национальных комитетов по анализу сахара в более чем двадцати странах, и публикующий подробные лабораторные процедуры для анализа сахара. Основана в 1897 году. ICUMSA — единственная международная организация, занимающаяся исключительно аналитическими методами для сахарной промышленности. Помимо использования в этой отрасли, методы ICUMSA признаны такими органами, как Комиссия Codex Alimentarius, OIML, ЕС и Кодекс пищевых химикатов США.
Оптическая активность. Свойство некоторых веществ вращать плоскость поляризации проходящего через них линейно поляризованного света.
Оптическая активность обнаружена в 1811 Д.Ф. Араго в кварце, а в 1815 Ж. Б. Био – в органических веществах, он же установил закон вращения плоскости поляризации (закон Био). Оптическая активность может быть естественной и наведённой.
Оптически активное вещество, оптически активная среда. Вещества, обладающие естественной оптической активностью, называются оптически активными веществами или оптически активной средой.
Измерительная кювета (Observation Tube). В большинстве поляриметров для выполнения измерений в качестве кюветы используется стеклянная трубка, внутренняя часть которой заполняется исследуемым веществом. Чаще всего используются измерительные кюветы длиной 100 и 200 мм. 200-миллиметровые измерительные кюветы в основном используются в сахарной промышленности, а 100-миллиметровые – в фармацевтической промышленности. Существуют также короткие кюветы длиной, например, 10 или 50 мм.
* В серии рефрактополяриметров RePo измерительная кювета представляет собой ячейку, углубление в корпусе прибора для размещения образца (не кювету).
Угол вращения (поворота) плоскости поляризации, α (Angle of Rotation, AR). При прохождении поляризованного света через оптически активную среду плоскость поляризации поворачивается. Значение угла поворота, выражаемое в угловых градусах («°») и направление вращения (влево/вправо) характеризуют свойства этой среды. Угол поворота плоскости поляризации (AR) является базовой величиной, измеряемой поляриметром, и зависит от концентрации жидкого образца, длины измерительной кюветы, температуры измерений и длины волны света, который проходит через кювету.
Длина волны измерения, λ (Measurement Wavelength). Угол поворота плоскости поляризации зависит от длины волны света. В поляриметрах применяются специальные оптические фильтры (интерференционные фильтры), позволяющие производить измерения на одной длине волны. Почти все поляриметры используют длину волны D-линии натрия (589,3 нм). С помощью модели поляриметра SAC-i 589/882 можно выполнять измерения либо на длине волны 589 нм, либо на длине волны 882 нм.
Удельное вращение (Specific Rotation, SR). Для сравнительной оценки способности различных веществ вращать плоскость поляризации света вычисляют величину удельного вращения
Удельное оптическое вращение представляет собой угол вращения α плоскости поляризации монохроматического света при длине волны D линии в спектре натрия (589,3 нм), выраженный в градусах, измеренный при температуре 20 °С, рассчитанный для толщины слоя испытуемого вещества 1 дм и приведенный к концентрации вещества, равной 1 г/мл. Согласно российской фармакопее выражается в градус-миллилитрах на дециметр-грамм [(°) ∙ мл ∙ дм-1 ∙ г-1]. Для веществ, находящихся в растворе, удельное вращение
где: α – измеренный угол вращения, в градусах;
l – толщина слоя, в дециметрах;
c – концентрация раствора, в граммах вещества на 100 мл раствора.
В международной фармакопее принято измерять толщину слоя в миллиметрах и поэтому формула для расчета приобретает вид:
Концентрация (Concentration).
Подразумевается массовая концентрация, то есть масса растворенного вещества, выраженная в граммах, в 100 миллилитрах раствора.
где α – измеренный угол вращения, в градусах;
l — толщина слоя, в дециметрах*;
[α] – удельное вращение.
* 1 дм = 10 см = 100 мм.
Международная сахарная шкала (International Sugar Scale, ISS). Шкала, преобразованная из величины угла поворота плоскости поляризации. Единица шкалы выражается в «°Z» (градусы Z). Концентрация раствора сахарозы, равная 26 г / 100 мл раствора и измеренная с помощью измерительной кюветы длиной 200 миллиметров при температуре 20 °C, соответствует 100 °Z. Данная шкала используется в сахарной промышленности. Как и в случае использования шкалы Брикс необходимо применение температурной компенсации. Раствор сахарозы 100 °Z составляет 23,70% по шкале Брикс. Перевод значений из угловых градусов в «°Z» осуществляется по формуле:
Здесь ISS – содержание сахарозы в растворе в градусах международной сахарной шкалы.
Оптическая плотность (OpticalDencity, OD). Мера ослабления света прозрачными объектами (кристаллами, стеклами и др.). Оптическую плотность часто называют также поглощением из-за того, что обе величины определяются по одной и той же формуле, хотя, строго говоря, ослабление излучения может происходить не только благодаря поглощению, но и рассеянию. Зависит от длины волны. Оптическая плотность связана с коэффициентом пропускания десятичным логарифмом, таким образом, для данной длины волны света коэффициент пропускания 10% соответствует оптической плотности ODравной 1,0, при коэффициенте пропускания 1% ODравна 2,0, а для коэффициента пропускания 0,1% OD составляет 3,0.
Дисперсия оптического вращения (вращательная дисперсия) Optical rotatory dispersion — зависимость угла поворота плоскости поляризации света в веществе от длины волны.
ТехОборудование | Рефрактометр Refracto
ТехОборудование | Рефрактометр Refracto- О компании
- Контакты
- +7 (812) 982-52-03
- info@techob.
ru
- Каталог
- Каталог приборов
- Оптические приборы
- Рефрактометры и поляриметры
- Рефрактометр Refracto
Рефрактометр Refracto
Универсальные портативные рефрактометры Refracto 30PX/30GS позволяют мгновенно определить показатель преломления в лаборатории или в полевых условиях.
В зависимости от задачи рефрактометры могут быть использованы как настольные приборы (просто поместите несколько капель образца в ячейку) или как погружные приборы (достаточно погрузить измерительную часть рефрактометра в исследуемую жидкость).
Области применения:
Пищевая промышленность
Контроль качества по показателю преломления, определение концентрации сахара (Brix) и перевод в другие единицы измерения (Боме, KMW, HFCS42/55, Oechsle, T.A.1990).
Фармацевтическая промышленность и медицина
Контроль качества лекарственных препаратов и инфузионных растворов, анализ физиологических жидкостей
Химия и нефтехимия
Показатель преломления масел и смол, консистентных смазок.
Определение концентрации химических веществ в растворах, качества растворителей, присадок в продукции.
Полевые исследования
Определение показателя преломления в продуктах из хранилищ, бочек, цистерн, гальванических ванн.
Антиобледенительные жидкости
Определение концентрации антифризов (этиленгликоль, пропиленгликоль, этанол, хлорид натрия). Прямое определение температуры замерзания в градусах Цельсия.
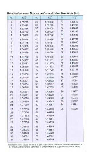
| Принцип действия | Определение показателя преломления по предельному углу полного отражения луча света D-линии натрия (589.3 нм) | |
| Диапазон измерений | 1.32 … 1.5 nD (Brix: 0 … 85%) | 1.32 … 1.65 nD (Brix: 0 … 85%) |
| Цена деления | 0. 0001 nD (Brix: ±0.1%) |
|
| Погрешность | ±0.0005 nD (±0.2 Brix) | |
| Единицы измерения |
|
|
| Измерение температуры | 10 . .. 40°С, цена деления 0.1°С |
|
| Условия эксплуатации | при температуре от 5 до 35°С | |
| Температурная компенсация | С введением коэффициента температурной компенсации (nD приведенный к заданной пользователем температуре) или автоматическая. В память прибора можно ввести до 10 коэфициентов температурной компенсации. | |
| Калибровка | по воде | |
| Память | Память 1000 результатов измерений (включая идентификационный номер образца, результат измерения и коэффициент температурной компенсации) | |
| Дисплей | Жидкокристаллический дисплей высокого разрешения с подсветкой, встроенные часы | |
| Аппаратный интерфейс | Инфракрасный порт для передачи данных на компьютер или принтер | |
| Вес | 250 г | |
| Питание | 3 батарейки ААА, срок службы — около 60 часов работы (при одном измерении в минуту).![]() |
|
| Материал ячейки и держателя | Стекло, нержавеющая сталь | сапфир, позолоченная латунь |
Copyright © 2021 — All Rights Reserved — techob.ru
Мы используем cookie на нашем сайте. Некоторые из них являются необходимыми, в то время как другие помогают улучшить функциональность сайта. Вы можете принять их или изменить настройки своего браузера.
Калькулятор преобразования единиц FermCalc
FermCalc — Калькулятор преобразования единиц измерения
- Введение
- Детали расчета
- Преобразование удельного веса в плотность
- Удельный вес <--> Brix
- Удельный вес <--> Oechsle
- Удельный вес <--> Боме
- Удельный вес <--> Klosterneuburger Mostwaage (KMW)
- Удельный вес <--> Twaddell
- Удельный вес <--> Плотность
- Удельный вес <--> г/л Сахар
- Удельный вес <--> Потенциальный спирт
- Преобразование кислотности
- Эталон кислоты
- грамм/литр <--> процент
- грамм/литр <--> мэкв/л
- Преобразование содержания алкоголя
- % спирта по объему <--> % спирта по весу
- % спирта по объему <--> Проба (США)
- % алкоголя по объему <--> Проба (британская)
- Преобразование концентрации
- Преобразование рефракции
- Показатель преломления <--> Brix
- Показатель преломления <--> Oechsle
- Показатель преломления <--> Боме
- Показатель преломления <--> KMW
- Показатель преломления <--> Единицы Zeiss
Компоновка панели «Конверсии» чем-то похожа на превосходную панель Джоша Мэдисона.
Преобразовать программу.
Convert является бесплатным программным обеспечением, если вам нужно
более комплексная программа для выполнения преобразований.
FermCalc предоставляет восемь категорий преобразования единиц измерения:
- Том
- Масса
- Температура
- Удельный вес / плотность
- Кислотность
- Содержание алкоголя
- Концентрация
- Преломление
Детали расчета приведены ниже. Только удельный вес, кислотность, содержание алкоголя,
Преобразования концентрации и рефракции подробно описаны здесь, поскольку другие
довольно прямолинейны. Если иное не указано ниже, коэффициенты пересчета принимаются
из Ф.
Кардарелли (2003).
Преобразование удельного веса в плотность
Преобразования удельного веса (SG) предназначены для преобразования между различные шкалы показаний ареометра. Преобразования в Brix, Oechsle, KMW, г/л сахара и потенциальный алкоголь действительны только до ферментации. После начала брожения эти показания будут затемнены алкоголем, и поэтому отражают кажущиеся показания ареометра для этих величин. Все эти преобразования исходят из исходной температуры 20°C для SG.
Удельный вес
<--> Brix Брикс эквивалентен концентрации сахара в процентах по весу в соке или сусле.
Шкала Брикса практически идентична шкалам Боллинга и Плато. это самое
важное преобразование в FermCalc, потому что оно используется для расчета процентного содержания сахара по весу
от SG во всех расчетах сахара.
Вычисление процента сахара из SG таким образом по своей сути предполагает, что в нем нет растворенных твердых веществ.
сусла, кроме сахара. Хотя на самом деле это никогда не так, поскольку расчеты сахара
обычно включают в себя определение различий между начальным и конечным удельным весом и сахаром
концентрации, это приближение обычно дает приемлемые результаты.
FermCalc использует уравнение, разработанное J. Hackbarth (2011), которое основано на AOAC. Таблицы Брикса (Horwitz and Latimer, 2005) для преобразования из Брикса в SG. Уравнение это:
sg = 1 + Σ k m k ( B /100) k (1)
куда
сг = specific gravity
B = degrees Brix
k = 1 to 10
m 1 = +0.3875135555
m 2 = +0.09702881653
m 3 = +0.3883357480
м 4 = -1,782845295м 5 = +5.5292
m 6 = -11.00667976
m 7 = +13.62230734
m 8 = -10.33082001
m 9 = +4.387787019
m 10 = -0,7995558730
FermCalc использует итеративный метод для решения уравнения (1) для B , заданного значение сг . Для значений sg менее 1,0 наклон кривой B по сравнению с sg при sg = 1,0 экстраполируется на более низкие значения для получения соответствующих отрицательных значений Брикса.
Предыдущие версии FermCalc использовали таблицу преобразования сахарозы в
Технический USDA
Руководство по процедурам для этого преобразования.
Использование уравнения (1) приводит к разнице
менее 0,1% в преобразованиях Брикса и расчетах сахара по сравнению с предыдущими версиями.
Удельный вес
<--> OechsleOechsle — это весы для измерения веса сусла, которые используются в основном в Германии. для классификации вин Prädikat. Есть два определения Oechsle используется в настоящее время. Первый основан на удельном весе и упоминается как «старый» Oechsle в Германии. Он до сих пор используется в Люксембурге. и Швейцария. Эта шкала Oechsle рассчитывается как:
Оео = 1000( сг — 1.0) (2)
куда
Oeo = градусы Oechsle (старые)
sg = удельный вес
Новая шкала Oechsle основана на показателе преломления и является текущей официальной шкалой Oechsle.
шкала в Германии.
Эта шкала основана на
следующую связь с показателем преломления и имеет диапазон достоверности от 40 ° до
120° Оксле (Шмитт, 1983 и Якоб, 1995 г.):
Оэн = 2639,22 ri — 3514,83 (3)
куда
Oen = градусы Oechsle (новые)
ri = показатель преломления
FermCalc использует уравнения (1) и (37) для преобразования между
SG и показатель преломления для расчета Оксле по уравнению (3).
Вне диапазона применимости уравнения (3) значения Оен ар
линейно интерполированные между значениями Oen в пределах
допустимого диапазона и Оео на основе уравнения (2) при минимальном и максимальном значениях сг .
Удельный вес
<--> БомеШкала ареометра Боме была изобретена французским химиком Антуаном Боме. до сих пор используется в пищевой и химической промышленности. Есть две шкалы Боме: одна для жидкостей тяжелее воды и один для жидкостей легче воды. Для жидкостей, которые тяжелее воды, 0°Bé соответствует показателю чистой воды, а 15°Bé соответствует показанию раствора 15% NaCl по массе. Для более легких жидкостей чем вода, 10°Bé обозначает уровень чистой воды, а 0°Bé соответствует в раствор, содержащий 10% NaCl по массе.
Обратите внимание, что тяжелая и легкая шкалы идут в противоположных направлениях.
Уравнение для жидкостей тяжелее воды:
Бе = 145 — 145/ SG (4)
где Bé — это градусы Боме.
Уравнение для жидкостей легче воды:
Бе = 140/ пг — 130 (5)
В FermCalc включена только шкала для жидкостей тяжелее воды, потому что это только один используется в виноделии.
НаверхУдельный вес
<--> Klosterneuburger Mostwaage (KMW)Шкала Klosterneuburger Mostwaage (KMW) используется в Австрии для измерения сахара. обязательное содержание. Он используется для классификации вин по различным австрийским классификациям качества. В Италии она известна как шкала Бабо. Юридически он связан со старой шкалой Оксле следующим образом:
Oe старый = 0,022· кмвт 2 + 4,54 · кмвт (7)
где KMW — градусы KMW.
FermCalc конвертирует между KMW и SG прямым решением уравнений (2) и (7).
Удельный вес
<--> TwaddellШкала Твадделла — это шкала SG для жидкостей тяжелее воды, которая используется в основном в Соединенном Королевстве. Преобразование в SG аналогично преобразованию для приведенная выше шкала Оксле, но в ней используется коэффициент 200 вместо 1000, или:
Tw = 200( sg — 1,0) (6)
где Tw — градусы Твадделла.
НаверхУдельный вес
<--> Плотность SG вещества – это отношение его плотности при 20ºC к плотности
воды при температуре 20ºC.
Чтобы преобразовать SG в плотность, нам просто нужно умножить
SG плотностью воды и соответствующим коэффициентом преобразования.
коэффициенты преобразования, используемые в FermCalc:
грамм/литр = 1000 · sg · ρ w (8) кг/литр = 1,0 · sg · ρ w (9) кг/куб.м = 1000· sg · ρ w (10) фунтов/галлон (США) = 8,34540445· sg · ρ w (11) фунтов/галлон (англ.) (12) фунтов/куб. футов = 62,42796058 · sg · ρ w
(13)
куда:
sg = удельный весНаверх
ρ w = плотность воды = 0,9982 кг/л при 20ºC
Удельный вес
<--> г/л СахарСодержание сахара в граммах на литр (г/л) на самом деле не является единицей SG, но включено здесь, потому что это полезная величина для ряда расчетов. важно обратите внимание, что это преобразование строго справедливо только для чистых водных растворов сахарозы, поэтому его нельзя использовать для любых жидкостей, содержащих спирт. Также не должно быть путают с единицами плотности грамм/литр. Уравнение для определения г/л сахара из сг это:
г/л Сахар = 10· sg · B · ρ w (14)
Вычисление sg из г/л сахара требует итеративного
расчет с B является функцией sg .
Удельный вес
<--> Потенциальный спиртХотя потенциальный алкоголь на самом деле не является единицей SG, это преобразование часто используется виноделами для соотнесения исходного содержания сахара в сусле с потенциальным содержанием алкоголя. состав готового вина. Для этого расчета FermCalc использует метод, предложенный Duncan and Acton (1967), что требует измерения как начального, так и конечного удельного веса. тяжести. Для целей этого расчета, который обычно используется для установления начальная sg i обязательно, FermCalc берет на себя окончательный SG sg f равен 1,0. Уравнения имеют следующий вид в терминах из сг :
a p = 1000( sg i — sg f )/ F (15) F = 7,75 — 3000( sg c — 1,0)/800 (16) sg c = sg i — 0,007 (17)
куда
a p = потенциальный спирт, объемные %
sg i = начальный удельный вес
sg f = окончательный удельный вес
F = коэффициент пересчета
sg c = начальный удельный вес с поправкой на растворенные вещества, не содержащие сахара
Объединив уравнения (15)–(17) выше и предполагая, что sg f равно 1,0 дает следующее уравнение.
а р = 1000( sg i — 1,0)/[7,75 — 3,75( sg i — 1,007)] (18)
Расчетные значения потенциального содержания алкоголя ограничены максимальным значением 100% и минимальным 0%.
На приведенном ниже графике сравниваются таблицы потенциального содержания алкоголя из различных источников с уравнением (18). выше. Результаты FermCalc хорошо согласуются с нижней тенденцией. Более высокий тренд очков (от Дункана и Актона, 1967 и Leverett, 1995) предположительно не учитывают не содержащие сахара растворенные вещества (растворенные твердые вещества, которые увеличивают SG, но не превращаются в спирт во время ферментации).
НаверхПреобразование кислотности
Преобразование эталона кислоты
Когда мы титруем кислотность сусла или вина, все, что мы на самом деле определяем, — это количество доступной кислоты.
водород (H + ) ионы в вине, а не типы присутствующих кислот. Для этого
Поэтому мы должны выбрать кислоту в качестве эталона, чтобы выразить кислотность в виде концентрации.
В разных текстах по виноделию используются разные ссылки на кислоты, когда речь идет о титруемой кислотности. уровни. Большинство используют винную кислоту в качестве эталона в процентах или граммах на литр. (частей на тысячу или ppt). Однако в других текстах в качестве эталона используются другие кислоты. серная кислота является популярной альтернативой винной кислоте.
Чтобы разработать коэффициенты преобразования, которые преобразуют один эталон кислоты в другой, нам нужно
знать их молекулярные массы и число ионов H + в каждой молекуле
кислота способствует подкислению раствора. В таблице ниже перечислены эти значения для
наиболее распространенные ссылки на кислоты, составленные из Margalit (2004) и Weast (1977).
| Кислота | Молекулярный вес | Н + Ионы |
|---|---|---|
| Татарский | 150.09 | 2 |
| Малик | 134,09 | 2 |
| Цитрик | 192,12 | 3 |
| молочная | 90.08 | 1 |
| Уксусная кислота | 60,05 | 1 |
| Серный | 98.08 | 2 |
Количество молей ионов H + , вносимых кислотой, можно рассчитать как:
М = i ( м / мВт ) (19)
куда
M = моль H + ионов
i = количество H + ионов на молекулу
m = масса кислоты, граммы
mw = 1 моль кислотыМасса кислоты в растворе — это просто произведение кислотности на объем, или:
м = а·в (20) куда
v = объем раствора, литры
a = кислотность, грамм/литрОбъединяя уравнения (18) и (19), получаем:
M = i ( a·v / mw ) (21) Чтобы преобразовать одну ссылку кислоты в другую, мы знаем, что количество молей H + ионы и объем одинаковы независимо от того, какую ссылку мы используем, поэтому мы можем написать:
и 1 ( а 1 / мвт 1 ) = i 2 ( a 2 / mw 2 ) (22) Преобразовав уравнение (22) для преобразования одной кислотной ссылки в другую, мы получим:
2 = 1 ( и 1 / и 2 )( мВт 2 / мВт 1 ) (23) Например, чтобы преобразовать 0,420% серной кислоты в % винной:
(0,420% серной)·(2/2)·(150,09/98,08) = 0,643% винной кислотыНаверхГрамм/литр
<--> Преобразование в процентахЭто простое преобразование.
Так как граммы/литр — это части на тысячу (ppt), а проценты это части на сотню, нам просто нужно разделить граммы/литр на 10, чтобы получить проценты, или:
процентов = грамм/литр / 10 (24) Грамм/литр
<--> мг-экв/л КонверсииМиллиэквивалент (мэкв) — это количество вещества, которое вступит в реакцию или даст одну тысячную моля ионов водорода (Н+) в кислотно-щелочной реакции. Если мы знаем массу кислоты в растворе мы можем рассчитать мг-экв/л как:
мэкв/л = 1000· i ( м / мВт )/ против (25) Подставляя уравнение (20) в уравнение (25) получаем:
Наверх
мэкв/л = 1000· i · a / мВт (26) Преобразование содержания алкоголя
Ниже приведены подробные сведения о преобразовании единиц содержания алкоголя.
НаверхВсе значения содержания алкоголя конвертируются в % алкоголя по объему при их вводе и подвергаются верхнему пределу 100% и нижний предел 0%.
% спирта по объему
<--> % спирта по весуПроценты спирта по весу и спирта по объему для водно-спиртовой смеси: определяется соответственно как:
a w = 100( м a / м м ) (27) a v = 100( v a / v m ) (28) куда
a w = содержание спирта, % по массе
m a = масса спирта, кг
m m = масса водно-спиртовой смеси, кг 9019 = содержание спирта, объемные %
v a = объем спирта, литры
v m = объем водно-спиртовой смеси, литрыМы можем связать объемы и массы спирта и смеси как:
m a = v a ρ a (29) м м = v м ρ м (30) куда
ρ a = плотность спирта, кг/литр
ρ m = плотность водно-спиртовой смеси, кг/литрПодставляя уравнения (29) и (30) в уравнение (27), получаем:
A W = 100 ( V A / V M ) ( ρ A / ρ 9009 M / ρ 9009 M 7) ) ) ) ) ) ) ) ) ).(31) Затем мы можем подставить уравнение (28) в уравнение (31), чтобы получить:
a w = a v ( ρ a / ρ m ) (31) Преобразовывая уравнение (32), получаем:
a v = a w ( ρ m / ρ a ) (33) FermCalc использует общую формулу для расчета плотности смесей этанола и воды в Международная рекомендация 22: Международные алкогольометрические таблицы Международной организации юристов Метрология (OIML, 1973) для расчета плотности спирта ρ a и водно-спиртовые смеси ρ m при 20ºC, которые необходимы для выполнения конвертации.
НаверхПри выполнении преобразования для вина с указанным SG, фактическая плотность вина используется вместо ρ m в уравнении (33).
% алкоголя по объему
<--> Доказательство (США)Шкала Proof в Соединенных Штатах просто равна удвоенному процентному содержанию алкоголя по объему, или:
P u = 2,0 a v (34) куда
P u = Проба (США)Наверх
a v = Содержание алкоголя, % по объему% спирта по объему
<--> Проба (британская)Термин «доказательство», вероятно, произошел от теста на крепость алкоголя, в котором спирт смешивали с порохом и поджигали (Schidrowitz, 1911).
Если бы не порох гореть, дух считался «под доказательством». По алкогольному опьянению Закон об обязанностях (1979), «Спирт считается аттестованным, если объем этилового спирта спирт, содержащийся в нем, доведенный до объема спирта дистиллированной водой. вес, равный весу двенадцати тринадцатых объема дистиллированной воды, равной объем спирта, причем объем каждой жидкости рассчитывается при температуре 51 ºF». по формуле OIML мы можем рассчитать плотность воды при температуре 51ºF как 999,64 кг/м 3 , двенадцать тринадцатых из которых 922,74 кг/м 3 , что соответствует содержанию спирта 57,15% по объему. Затем преобразование становится:
P b = a v / 0,5715 (35) куда
P b = пруф (британский)Наверх
a v = содержание спирта, % по объемуПреобразование концентрации
Все концентрации в FermCalc выражены в виде массы вещества на единицу объема.
решения. Преобразование одного набора единиц в другой — это простое преобразование единицы массы в числителе и единицы объема в знаменателе. Например, чтобы преобразовать из г/мл в фунты/галлоны, мы можем написать:
(1 г) (1 фунт / 453,59 г) / [(1 мл) (1 галлон / 3785,4 мл)] = 8,3454 фунт/галлон (36) Концентрации, выраженные в виде массы на единицу массы, такие как проценты, части на тысячу (ppt), и частей на миллион (ppm) — часто используются взаимозаменяемо с их массой на единицу объема. аналоги. Эти единицы массы/массы показаны в скобках рядом с единицами массы/объема. Строго говоря, эти эквивалентности точны только в том случае, если SG решение равно 1,0. К счастью, большинство решений, с которыми мы имеем дело в виноделии, имеют удельный вес близок к 1,0.
НаверхПреобразование рефракции
Преобразование рефракции включено главным образом для того, чтобы позволить использовать рефрактометры с различными различных шкал, используемых для расчета содержания алкоголя, описанных здесь. Эти преобразования действительны только для рефрактометров. калиброван для водных растворов сахарозы при 20°C.
Показатель преломления
<--> Рефрактометр BrixДля преобразования между показателем преломления и рефрактометром Брикса FermCalc использует уравнение опубликовано в Sugar Journal (1970), основанном на работах Розенхауэра, Шнайдера и Эммерих (1966) для Международной комиссии по унифицированным методам анализа сахара. (ICUMSA) и служит основой для таблиц показателя преломления AOAC (Williams, 1984). Уравнение:
В = 0,0087 + 699,82353( ri — 1,3330) — 1801,9215( ri — 1,3330) 2
+ 4696,422( ri — 1,3330) 3 — 6427,26( ri — 1.3330) 4
(37) куда
B = градусы Брикса
ri = показатель преломленияЧтобы преобразовать показатель Брикса в показатель преломления, FermCalc использует итеративный метод. решить уравнение (37) для ri .
Результат уравнения (37) корректируется для малых значений B , так что он равен 0 при значении ri , равном 1,333.
Показатель преломления
<--> ОкслеFermCalc конвертирует между Oechsle (старый) и показателем преломления, комбинируя преобразования в уравнениях (1), (2) и (37). FermCalc конвертирует между Oechsle (новым) и преломляющим индекс по уравнению (3) в пределах его применимости от 40 до 120 °Э, и экстраполирует на другие значения, как описано выше.
Показатель преломления
<--> БомеFermCalc преобразует Боме в показатель преломления, комбинируя преобразования в уравнениях (1), (4) и (37).
Показатель преломления
<--> KMW FermCalc преобразует KMW в показатель преломления, комбинируя преобразования в уравнениях. (1), (2), (7) и (37).Показатель преломления
<--> Единицы ZeissШкала рефракции Zeiss изначально использовалась в старых иммерсионных рефрактометрах Zeiss. и до сих пор используется в некоторых портативных рефрактометрах. Эта шкала колеблется от -5 до 105, соответствующие значениям показателя преломления 1,32539до 1,36640 (Терстон, 1922 г.). тебя верхний конец шкалы соответствует значению Брикса 21,53, поэтому его применимость ограничена. для виноделия.
FermCalc преобразует единицы Цейсса в показатель преломления, используя уравнение, принятое АОАС (Уильямс, 1984):
ri = 1,327338 + 3,9347·10 -4 Zeiss — 2,0446·10 -7 Цейсс 2 (38) куда
ri = показатель преломленияНаверх
Zeiss = единицы Zeiss© 2007-2021 Стив Гросс
Последнее обновление 11 сентября 2021 г.Калькуляторы удельного веса, Брикса и преобразования Плато
Все мы изучали процесс спиртового брожения на уроках химии в средней школе. Просто чтобы освежить вашу память, ферментация — это просто преобразование сахаров, будь то глюкоза, сахароза или фруктоза, в спирт и углекислый газ.
Проще говоря: без сахара = без алкоголя.
Основным содержанием пива является содержание алкоголя, и очень многое может измениться из-за незначительного изменения содержания алкоголя. Это то, что составляет вкус напитка или даже его плотность, как мы рассмотрим ниже.
Если вы пивовар, вам необходимо установить содержание алкоголя в вашем пиве. Для него существует набор расчетов, которые нужно сделать в первую очередь. Эти расчеты являются неотъемлемой частью процесса пивоварения и определяют решение и процесс, выполняемый на пивоваренных заводах.
Что такое удельный вес?Удельный вес любой жидкости определяется ее плотностью по сравнению с водой.
Теперь, в случае с пивом, густоту напитка связывают с различными факторами. В пиве есть следы сахара, крахмала, хмеля, солода, масла и минералов.
Многие пивовары измеряют удельный вес пива перед началом процесса брожения. Делают это также после кульминации процесса брожения. Затем эти пивовары используют эти данные и некоторые расчетные алгоритмы и формулы для расчета содержания спирта по объему каждой партии.
Что такое Брикс?Значение Брикса выражается в градусах Брикса. (°Bx) и определяется как количество сахарозы в граммах, присутствующее в каждых 100 граммах жидкости.
Значение этого параметра может варьироваться от 1 до 100 и полезно при расчете приблизительного содержания алкоголя путем простого умножения на 0,59.
Например, если предварительно ферментированная жидкость измеряет 10 Bx, ее потенциальное содержание алкоголя будет равно 5,9.
Однако следует отметить, что это лишь приблизительное значение, и другие факторы, такие как температура и технологический процесс, не учитываются при расчете.
Как вы это измеряете?Теперь мы знаем, что такое Брикс, и это позволяет нам оценить потенциальное содержание алкоголя в пивной смеси. Для измерения Брикса мы используем два прибора, а именно –
.
- Рефрактометр
- Ареометр
Рефрактометр : Рефрактометр использует преломление света, проходящего через определенный образец жидкости. Жидкости, содержащие сахар, более плотные, чем вода, и в соответствии со снеллом лоу – плотность прямо пропорциональна увеличению преломления. Затем этот прибор сравнивает это преломление, чтобы получить значение Брикса.
Ареометры : Ареометры используются как до, так и после процесса пивоварения. Он использует относительную плотность жидкости для расчета содержания сахара.
Многие пивовары, тем не менее, выбирают метод, включающий рефрактометры для расчета Брикса образца. Это просто потому, что рефрактометр намного удобнее, чем ареометр,
Рефрактометр измеряет уровни потенциального содержания алкоголя в присутствии алкоголя.
Это делает рефрактометр идеальным инструментом для определения исходной плотности напитка. Несмотря на то, что расчеты, учитывающие эти факторы, помогут вам приблизиться к правильному значению потенциального содержания алкоголя, существует много предположений относительно их точности.
В подобных ситуациях, когда этот расчет может иметь решающее значение, всегда следует пользоваться ареометром сразу после начала процесса брожения.
При этом при расчете значения Брикса важно учитывать температуру, чтобы обеспечить точные значения.
Почему мы измеряем Брикс?Расчет и оценка крепости пива представляет большой интерес для всех пивоваров.
Пивовары должны записывать значения и данные до, после и во время процесса брожения. Затем эти данные позволяют отслеживать такие факторы, как ход ферментации, эффективность затирания и результаты каждого рецепта.
Подобно пивоварам, многие виноделы также рассчитывают значение Брикса для расчета потенциальной крепости алкоголя.
Это значение помогает им оценить и изучить время созревания винограда или повышения уровня сахара.
Для виноделов важно знать значение Брикса. Это то, что помогает им узнать, насколько созрел виноград на винограднике, и выяснить, когда они могут начать сбор урожая.
Виноделы должны понимать, когда им следует добавлять сахар в алкоголь, чтобы обеспечить соответствие минимальному уровню алкоголя, как того требует закон.
Как рассчитать Брикс?Когда вы закончите определение удельного веса раствора, вы можете обратиться к многочисленным доступным таблицам пересчета.
Вот что вам нужно знать при использовании ареометра для измерения содержания сахара и хода брожения.
Брикс и уравнение удельного веса
Brix -> SG Уравнение:SG = (Брикс / (258,6-((Брикс / 258,2) * 227,1))) + 1
Удельный вес по шкале БриксаБрикс = (((182,4601 * SG -775,6821) * SG +1262,7794) * SG -669,5622)
Между удельным весом и Бриксом нет большой разницы; это всего лишь два разных измеряемых параметра, как фунты и килограммы.
Таблицы преобразования удельного веса, Брикса и Платона:
ЗаключениеПомните, что Брикс и удельный вес — это разные единицы измерения потенциальной крепости спирта в растворе.
Brix можно легко преобразовать в SG, используя следующее уравнение –
SG = 1 + (0,004 x Brix)
Говоря простыми словами, возьмите значение Брикса, умножьте его на четыре, и тогда вы получите удельный вес.
Другая формула, которая оказалась более точной, –
.SG = 1,000019 + [0,003865613 (Брикс) + 0,00001296425 (Брикс) + 0,00000005701128 (Брикс)]
Приготовление пива может быть сложным, и если вы являетесь любителем пива, вы знаете, что выбор подходящего пива для вас может занять некоторое время, и есть много вещей, которые нужно попробовать, протестировать, измерить и повторить.
Карл С.
Ведущий маркетолог, пивовар, папа и муж. Почти всесторонне классный парень.
Таблица преобразования удельного весав Brix
Загрузите таблицу преобразования удельного веса в Birx в формате .
pdf здесь.
Градусы Brix (°Bx) – содержание сахара в водном растворе. Один градус Brix составляет 1 грамм сахарозы в 100 граммах раствора и представляет собой крепость раствора в процентах по массе. Брикс говорит нам о растворенных твердых веществах (процентное отношение массы растворенного вещества к раствору — граммы на 100 граммов). °Bx традиционно используется в производстве вина, сахара, газированных напитков, фруктовых соков и меда.
Сопоставимой шкалой для определения содержания сахарозы является градус Плато (°P), который широко используется как коммерческими пивоварами, так и некоторыми домашними пивоварами.
Как только домашний пивовар определит удельный вес рассматриваемого раствора, мы можем взять это показание и свериться с таблицами преобразования.
Если пивовар обратился к таблицам Платона (которые ведутся Американским обществом химиков-пивоваров), то результат будет представлен как °P. Если бы пивовар сверился с таблицами Brix (которые поддерживаются NIST), результат был бы представлен как °Bx.
От MoreBeer.com: для точного ареометра, который измеряет содержание сахара и ход ферментации при брожении вина, ознакомьтесь с этими ареометрами Brix. Он поставляется со встроенным термометром / поправочной шкалой. Примечание: для этого ареометра вам понадобится цилиндр большего размера из-за его размера.
Ниже приведена ТАБЛИЦА ПЕРЕВОДА УДЕЛЬНОГО ВЕСА В BRIX. Я надеюсь, что вы найдете это полезным. Чтобы скачать эту таблицу в формате .pdf, нажмите здесь.
Таблица 1
Specific Gravity to Brix Conversion Table
Specific Gravity Brix 0.990 0.00 0.991 0.00 0.992 0.00 0.993 0,00 0,994 0,00 0,995 0,00 0,996 0,00 0,996 0,00 0,996 0,00 0,996 0,00 0,996 0,00 0,996 0,00 0. 997
0.00 0.998 0.00 0.999 0.00 1.000 0.00 1.001 0.26 1.002 0.51 1.003 0.77 1.004 1.03 1.005 1.28 1.006 1.54 1.007 1.80 1.008 2.05 1.009 2.31 1.010 2.56 1.011 2.81 1.012 3.07 1.013 3.32 1.014 3.57 1.015 3.82 1.016 4.08 1.017 4.33 1. 018
4.58 1.019 4.83 1.020 5.08 1.021 5.33 1.022 5.57 1.023 5.82 1.024 6.07 1.025 6.32 1.026 6.57 1.027 6.81 1.028 7.06 1.029 7.30 1.030 7.55 1.031 7.80 1.032 8.04 1.033 8.28 1.034 8.53 1.035 8.77 1.036 9.01 1.037 9.26 1.038 9.50 1. 039
9.74 1.040 9.98 1.041 10.22 1.042 10,46 1,043 10,70 1,044 10,94 1,045 11.18 949494949494949494949494949494944949494944949494949.0095 1.046 11.42 1.047 11.66 1.048 11.90 1.049 12.14 1.050 12.37 1.051 12.61 1.052 12.85 1.053 13.08 1.054 13.32 1.055 13.55 1.056 13.79 1.057 14.02 1.058 14.26 1. 059
14.49 1.060 14.72 1.061 14.96 1.062 15.19 1.063 15.42 1.064 15.65 1.065 15.88 1.066 16.11 1.067 16.34 1.068 16.57 1.069 16.80 1.070 17.03 1.071 17.26 1.072 17.49 1.073 17.72 1.074 17.95 1.075 18.18 1.076 18.40 1.077 18.63 1.078 18.86 1.079 19.08 1. 080
19.31 1.081 19.53 1.082 19.76 1.083 19.98 1.084 20.21 1.085 20.43 1.086 20.65 1.087 20.88 1.088 21.10 1.089 21.32 1.090 21.54 1.091 21.77 1.092 21.99 1.093 22.21 1.094 22.43 1.095 22.65 1.096 22.87 1.097 23.09 1.098 23.31 1.099 23.53 1.100 23.75 1. 101
23.96 1.102 24.18 1.103 24.40 1.104 24.62 1.105 24.83 1.106 25.05 1.107 25.27 1.108 25.48 1.109 25.70 1.110 25,91 1.111 26,13 1,112 26,34 1.113 6.566999999994 1.113 26,5669 1.113 26,5669 1.113 26,566 1.113 26,5669 1.113 26,566 .0113 1.114 26.77 1.115 26.98 1.116 27.20 1.117 27.41 1. 118
27.62 1.119 27.83 1.120 28.05 1.121 28.26 1.122 28.47 1.123 28.68 1.124 28.89 1.125 29.10 1.126 29.31 1.127 29.52 1.128 29.73 1.129 29.94 1.130 30,15 КОНЕЦ УДЕЛЬНОГО ВЕСА В BRIX ПЕРЕСЧЕТ TALBE
Вернуться к рефрактометру
Преобразование Брикса в SG и др.
Содержание
(Последнее обновление: 1 ноября 2021 г.)
Если вы используете рефрактометр, вам, скорее всего, потребуется преобразовать Брикс в SG (удельный вес) при какой-то момент.
ОБНОВЛЕНИЕ
: теперь у меня есть ТРИ удобных калькулятора (включая поправку на алкоголь) вместе с удобной таблицей преобразования Brix в SG, которую вы можете скачать в формате PDF для дальнейшего использования.
Преобразование Брикса в SG (включая поправку на алкоголь)
Теперь у меня есть три БЕСПЛАТНЫХ калькулятора SG/Brix для вашего использования! (Продолжайте читать важные советы и инструкции)
- Первый калькулятор предназначен для использования в день варки, ДО начала ферментации . Если в сусле или пиве присутствует алкоголь, ваши измерения будут неверными.
- Если у вас уже началось брожение вашего пива, и вы знаете свою OG (первоначальную плотность), вам следует использовать калькулятор SECOND в этой статье.
- Наконец, я недавно добавил третий калькулятор в Convert SG to Brix .
В конце поста у меня также есть удобная диаграмма Brix to SG в формате PDF, которую вы можете скачать и распечатать для справки.
![]()
Если вы читаете эту статью, вероятно, у вас уже есть рефрактометр. Надеюсь, вы также уже знаете, что высококачественный прибор даст более точные и стабильные результаты. Несмотря на это, вы также должны калибровать рефрактометр перед каждым сеансом!
Преобразование бриксов в SG (ДО БРОЖЕНИЯ)
ВАЖНО! Этот первый калькулятор предназначен для использования ДО начала брожения. Лучшее время для использования этого калькулятора — день пивоварения, чтобы получить OG (исходную плотность). Я также обычно использую свой рефрактометр Брикса для быстрого измерения плотности перед кипячением, при фильтровании и т. д.
Формула Брикса в SG
Если вы хотите сделать математику самостоятельно, вот формула, используемая этим калькулятором для преобразования Брикса в ЗВ:
SG = (Brix / (258,6-((Brix / 258,2)*227,1))) + 1
Присутствие спирта будет искажать показания вашего рефрактометра.
Если вы не исправите это, ваши измерения будут неточными. Как только алкоголь присутствует, вы должны использовать ВТОРОЙ калькулятор.
Обратите внимание, что для работы второго калькулятора вам необходимо знать свой ОГ.
Конвертер по шкале Брикса Терминология
- Брикс – Количество сахара в растворе. Это показание предназначено для измерения сахарозы; простые сахара в воде. Именно поэтому его так часто используют виноделы. Обычно они измеряют то, что по сути является фруктовым соком.
- SG – удельный вес; Технически это мера плотности жидкости по сравнению с чистой водой. При использовании в контексте пивоварения нас интересует количество сбраживаемых (или не сбраживаемых) сахаров, растворенных в нашем сусле.
Подробнее о различиях между рефрактометрами, ареометрами и способах их использования можно прочитать в этой статье.
Преобразование Brix в SG (во время или после ферментации)
Этот калькулятор можно использовать для получения приблизительного значения удельного веса вашего сусла ПОСЛЕ того, как ферментация началась или завершилась.
Это необходимо, потому что любой спирт, присутствующий в сусле или пиве, изменит степень отклонения света при прохождении через рефрактометр, изменяя показания.
Конвертировать SG в Brix
Я обнаружил, что многие люди заходят на эту страницу в поисках способа расчета SG в Brix. Поэтому, чтобы помочь им, я добавил еще один калькулятор. Начните с вашего удельного веса, нажмите «Конвертировать» и посмотрите соответствующее значение в Бриксах!
Краткое примечание о рефрактометрах и измерениях по шкале Брикса
Большинство рефрактометров измеряют плотность жидкости в единицах Брикса.
Рефрактометры предназначены для измерения количества САКРОЗЫ в воде, а не МАЛЬТОЗА , который является основным типом сахара в нашем сусле.
Таким образом, мы должны произвести некоторые расчеты, чтобы получить единицу измерения, которую домашние пивовары используют чаще всего, а именно SG (удельный вес).
Значения по шкале Брикса можно легко преобразовать в удельный вес для многих распространенных расчетов в домашнем пивоварении.
ПРИМЕЧАНИЕ. Некоторые рефрактометры имеют «двойную шкалу», на которой с одной стороны отображаются значения по шкале Брикса, а с другой — удельный вес (SG). Остерегайтесь, так как зависимость между бриксом и SG не совсем линейна!
Зная начальную и конечную плотность пива, вы можете рассчитать ABV своего пива.
Поэтому лучше всего получить хорошее показание Брикса на качественном рефрактометре, а затем прогнать калькулятор для большей точности.
Диаграмма Brix to SG
BrixToSGChart
Вот версия диаграммы в формате PDF, которую вы можете скачать и распечатать.
Загрузить : Диаграмма Brix to SG (PDF)
Дополнительные калькуляторы пивоварения
Вот некоторые калькуляторы и статьи по домашнему пивоварению, которые могут оказаться полезными:
- Поправка на температуру по ареометру: здесь
- Калькулятор крепости: здесь
- Калькулятор промывной воды: здесь
- Пошаговое затирание: здесь
- Калькулятор линии пива 06: здесь
- Калькулятор отношения плотности к горечи: Здесь
Заинтересованы в модернизации вашего варочного цеха?
Прочтите эти статьи о выборе лучшего ферментера из нержавеющей стали и о переходе на электроварку!
Заключение
Надеюсь, эти калькуляторы и ресурсы были вам полезны! Пожалуйста, оставьте мне комментарий, чтобы сообщить, понравилось ли вам это, и какой еще контент вы хотели бы видеть в будущем.
Резюме
Конвертер Mostwaage — преобразование по разным шкалам для винного сусла
ГлавнаяЭнциклопедияВспомогательные калькуляторы Преобразователь Mostwaage — преобразование по разным шкалам для винного сусла
раствор (сладость) среди разных «сахарных весов». Поскольку каждая шкала основана на различном принципе определения содержания сахара, полученные значения не являются и не могут быть абсолютно точными. Однако для практического использования их достаточно.
Чтобы использовать это приложение, в вашем браузере должен быть включен JavaScript!
Ввод данных
Значение Процентное содержание несахаров % Плотность раствора < 1 (плотнее воды)> 1 (плотнее воды)
Результаты
Градусы Брикса °Bx Нормализованный моштомер ° NM Oechsle Mostwage °Э Клостернойбургер Моствейдж ° KMW градусов Боме ( ) °Ве Градусов °Bg Градусов Плато °P Плотность раствора сахарозы г/см 3 Для измерения сладости винных сортов винограда мы предлагаем оптический рефрактометр RWN10-ATC , который оснащен четырьмя шкалами сладости: шкалой Ческословенского нормализованного мостомера (°ЧНМ, °НМ), шкалой Клостернойбургерской оценки (°КМВ, ° Kl, Babo), шкале Oechsle Mostwaage (°Oe) и универсальной шкале Brix (°Bx).
Он также оснащен одной шкалой для оценки содержания алкоголя в вине естественного брожения ABV/% VOL (согласно чешскому закону № 321/2004 Sb.).
Классификация вин в странах Европы по сладости винограда
Немецкая классификация вин (Deutsche Prädikatsweine)
Предикат Перевод Минимальный вес сусла Примеры требований Минимальный уровень алкоголя в вине В зависимости от сорта винограда и винодельческого региона Рислинг из Мозеля Рислинг из Рейнгау Кабинет Шкаф 67 – 82 °Э 70 °Э 73 °Э 7 % Шпетлезе Поздний урожай 76–90 °Э 76 °Э 85 °Э 7 % Ауслезе Выберите урожай 83–100 °Э 83 °Э 95 °Э 7 % Беэренауслезе Сбор урожая ягод 110–128 °Э 110 °Э 125 °Э 5,5 % Айсвайн Ледяное вино 110–128 °Э 110 °Э 125 °Э 5,5 % Трокенберенауслезе Сбор сухих ягод Select 150–154 °Э 150 °Э 150 °Э 5,5 % Австрийская классификация вин (Österreichische Prädikatsweine) в соответствии с австрийским законом о вине – федеральным законом о торговле вином и фруктовым вином
Прадикатвайне Перевод Минимальный вес сусла Кабинет Шкаф не менее 17 °KMW = 84°Э, макс. 13 % VOL 90 110
Шпетлезе Поздний урожай не менее 19 °KMW = 94 °Э Ауслезе Выберите урожай не менее 21 °KMW = 105 °Э Айсвайн Ледяное вино не менее 25 °KMW = 127 °Э Штрогвайн, Шильфвайн Соломенное вино не менее 25 °KMW = 127 °Э Беэренауслезе Ягоды особого сорта не менее 25 °KMW = 127 °Э Трокенберенауслезе Сбор сухих ягод Select не менее 30 °KMW Чешская классификация вин — качественное вино с особыми свойствами в соответствии с Законом Чехии № 321/2004 Sb.
– Чешский закон о виноградарстве (Jakostní víno s přívlastkem)
Víno s přívlastkem Перевод Минимальный вес сусла — Československý normalizovaný moštoměr [°NM] Шкаф Шкаф Вино, изготовленное из винограда, весовое содержание сусла которого достигло не менее 19 °NM и содержание алкоголя не менее 9,5 %. Поздний сбер Поздний урожай Вино, изготовленное из винограда, весовое содержание сусла которого достигло не менее 21 °NM и содержание алкоголя не менее 9,5 %. Выбер з грозну Виноград особого сорта Вино, изготовленное из виноградных гроздьев, вызревавших очень долго на лозе, весовое содержание сусла которых достигло не менее 24 °NM и не менее 9,5 % алкоголя. Выбер-з-бобули Специальные ягоды Вино, изготовленное из отборных ягод, которые очень долго созревали на лозе, содержание сусла которых достигло не менее 27 °NM и не менее 8 % алкоголя. Выбер з цибеб Особый отбор ягод, пораженных ботритисом Вино, изготовленное из отборных ягод, пораженных благородной гнилью, с содержанием сусла не менее 32 °NM и содержанием спирта не менее 8 %. Ледове вино Ледяное вино Вино из винограда, замороженного на корню. Виноград подвергается прессованию замороженным при температуре не выше -7 °С и с массовой долей сусла не менее 27 °НМ и крепостью не менее 8 %. Славное вино Соломенное вино Вино, изготовленное из винограда, высушенного не менее трех месяцев после сбора урожая на соломенных или тростниковых подстилках или подвешенного в хорошо проветриваемом помещении. Масса сусла виноградного сока во время прессования может быть не менее 27 °НМ и не менее 6 % спирта.
Словацкая классификация вин — качественное вино с особыми свойствами в соответствии со словацким актом № 313/2009 Z. z. – Словацкий закон о виноградарстве (Akostné víno s privlastkom)
Вино с привластком Перевод Минимальный вес сусла — (Ческословенский) Нормализованный муштомер [°NM] Кабинет Шкаф Вино, изготовленное из винограда, весовое содержание сусла которого достигло не менее 19 °NM и содержание алкоголя не менее 9,5 %. Нескоры Збер Поздний урожай Вино, изготовленное из винограда, весовое содержание сусла которого достигло не менее 21 °NM и содержание алкоголя не менее 9,5 %. Выбер из города Особый отбор винограда Вино, изготовленное из виноградных гроздьев, вызревавших очень долго на лозе, весовое содержание сусла которых достигло не менее 23 °NM и не менее 9,5 % алкоголя. Бобульный вибер Ягоды особого сорта Вино, изготовленное из отборных ягод, которые очень долго созревали на лозе, содержание сусла которых достигло не менее 26 °NM и не менее 8 % алкоголя. Грозенковы вибер Изюм отборный Вино, изготовленное из отобранных вручную перезревших натуральных ягод винограда, имеет крепость не менее 28 °NM и крепость не менее 8 %. Цибебовый вибер Особый отбор ягод, пораженных ботритисом Вино, изготовленное из отборных ягод, пораженных благородной гнилью, с содержанием сусла не менее 28 °NM и содержанием спирта не менее 8 %. Ладове вино Ледяное вино Вино из винограда, замороженного на корню. Виноград прессуют замороженным при температуре не выше -7 °С и с массовой долей сусла не менее 27 °НМ и крепостью не менее 6 %. Слабое вино Соломенное вино Вино, изготовленное из винограда, высушенного не менее трех месяцев после сбора урожая на соломенных или тростниковых подстилках или подвешенного в хорошо проветриваемом помещении. Масса сусла виноградного сока во время прессования может быть не менее 27 °НМ и не менее 6 % спирта. Сравнение чешской, словацкой, австрийской и немецкой классификации вин
Вино Чехия Словакия Австрия Германия Шкаф 19 °NM
Крепость 9,5 %
Шкаф19 °NM
Крепость 9,5 %
Кабинет17 °NM
Крепость 9 %
Кабинет15 °NM
Крепость 7 %
КабинетПоздний урожай 21 °NM
крепость 9,5 %
поздний сбер21 °NM
Крепость 9,5 %
Нескорый порошок19 °NM
Крепость 5 %
Spätlese19 °NM
Крепость 7 %
SpätleseВиноград особого сорта 24 °NM
Крепость 9,5 %23 °NM
Крепость 9,5 %21 °NM
Крепость 5 %
Auslese21°NM
АуслесеЯгоды особого сорта 27 °NM
Крепость 8 %
Выбор из бобов26 °NM
Крепость 8 %
bobuľový výber25 °NM
Крепость 5 %
Beerenauslese25 °NM
Крепость 5,5 %
BeerenausleseСпециальный отбор
пораженных ботритисом ягод32 °NM
Крепость 8 %28 °н. м.
крепость 8 %
hrozienkový výber30 °NM
Крепость 5 %
Трокенберенауслезе29 °NM
Крепость 5,5 %
Trockenbeerenauslese28 °NM
Крепость 8 %
Сибирский напитокЛедяное вино 27 °NM
Крепость 6 %
Ледове27 °NM
Крепость 6 %
ľadové25 °NM
Крепость 5 %
Eiswein25 °NM
Крепость 5,5 %
EisweinСоломенное вино 27 °NM
Крепость 6 %
slámové27 °NM
Крепость 6 %
slamové25 °NM
Крепость 5 %
Strohwein— Удельный вес и преобразование Брикса/Плато
Если вы покупаете новый рефрактометр для пивоварения, ищите тот, который включает шкалу SG (в идеале и SG, и Brix/Plato) — тогда вы можете пропустить всю эту чепуху с преобразованием.
I
Я уверен, что многие домашние пивовары сталкиваются с этим — вы получаете новый рефрактометр (который обычно измеряет в градусах Брикса или Платона), однако почти вся документация по домашнему пивоварению относится к удельной массе (SG). Итак, вы ищете формулу преобразования — я имею в виду, насколько это может быть сложно? При поиске вы найдете смесь информации: общее «эмпирическое правило» (см. ниже), несколько онлайн-калькуляторов (которые дают разные результаты) и набор справочных таблиц — все работает, но несоответствия несколько смущают. Я из тех парней, которым нужно знать, почему вещи такие, какие они есть, поэтому эта запись в блоге представляет собой краткое изложение того, что я нашел.
Удельный вес
Сначала немного предыстории. Удельный вес, или, правильнее, , относительная плотность , есть отношение плотности жидкости к плотности чистой воды .
СГ = Д С : Д Ш = Г Ю / Г Ш Где,
- Д S – плотность пробы жидкости,
- D W — это плотность чистой воды, а
- SG — удельный вес.
Итак, для пивоваров интересно, когда в жидкости, например в несброженном сусле, растворено больше сахара, это соотношение больше, чем после брожения. Наиболее распространенным инструментом, используемым домашними пивоварами для измерения относительной плотности жидкости, является ареометр (или, более правильно, сахарометр).
Температурная коррекция
При измерении удельного веса ареометром следует учитывать температуру жидкости, особенно при работе с горячим суслом. Более теплая жидкость менее плотная, поэтому SG будет ниже, чем если бы она была доведена до комнатной температуры. Это важно, поскольку ареометры калибруются для определенной температуры. Ниже приведена формула для температурной поправки SG для ареометров, откалиброванных при 15°C (59°F):
СГ’ знак равно SG + 1 / 1000 (-2.627634×10 -6 T s 3 + 2.057793×10 -3 T s 2 — 1. 32674×10 -1 T с + 1,313454)
Где,
- SG – измеренный удельный вес
- T s — температура образца в градусах Фаренгейта (°F), а
- SG’ — скорректированный удельный вес ареометра, откалиброванного на 59°F.
И, конечно же:
Т Ф = 9 / 5 Т С + 32 ⇔ Т С = 5 / 9 (Т Ф — 32) Где,
- T F – температура в градусах Фаренгейта (°F), а
- T C – температура в градусах Цельсия (°C).
Например, если у нас есть образец с температурой 40°C (104°F), измеряющий 1,028 в ареометре, приведенная выше формула говорит нам, что нам нужно добавить 0,0068, в результате чего удельная плотность составит 1,035 — значительная разница.
Но не все ареометры откалиброваны для 15°C. Итак, вот формула температурной поправки ПГ для данной калибровки ареометра:
SG’ = SG( 2.32820948×10 -9 T s 3 + 2.04052596×10 -6 T s 2 — 1.34722124×10 -4 T s + 1.00130346 ) 2,32820948×10 -9 Т с 3 + 2,04052596×10 -6 T c 2 — 1,34722124×10 -4 T c + 1,00130346 Где,
- SG – измеренный удельный вес
- T s – температура образца в градусах Фаренгейта (°F),
- T c – температура калибровки ареометра в градусах Фаренгейта (°F), а
- SG’ — скорректированный удельный вес.
Брюэрс-Пойнтс
Пивовары часто используют сокращенную единицу для описания удельного веса, называемую « пунктов пивовара » или просто « пунктов ».
Мы опускаем 1 и умножаем на тысячу (перемещая десятичную точку на три позиции вверх). Например, SG 1,035 иногда называют 35 баллами; например 1,0 35 . Итак, математически:
АД = 1000 (СГ — 1) Где,
- SG — удельный вес, а
- BP — это очки пивовара.
Рефрактометры
Так зачем использовать рефрактометр? Прежде всего, рефрактометры хороши тем, что вам нужно всего несколько капель жидкости для пробы, что снижает количество отходов и риск загрязнения. Кроме того, большинство рефрактометров имеют автоматическую температурную компенсацию (ATC), поэтому коррекция не требуется. Однако на самом деле рефрактометр измеряет показатель преломления жидкости, а не удельный вес. Хорошая новость заключается в том, что показатель преломления жидкости напрямую связан с ее плотностью (на которую влияет, например, количество сахара в жидкости), что, в свою очередь, может быть использовано для расчета ее удельного веса.
Брикс / Платон
Единицы, часто используемые для обозначения количества сахарозы в жидкости, представляют собой градусы Брикса (°Bx) или градусы Плато (°P). Существует много историй о том, как эти весы разрабатывались и развивались; например Шкала Брикса основана на шкале Баллинга (другие шкалы включают Боме и Оксле). Для большинства целей Brix и Plato взаимозаменяемы; например 9,99325°Bx = 9,99359°P. Традиционно пивовары используют шкалу Платона, а виноделы – шкалу Брикса. Эти шкалы соответствуют процентному содержанию сахарозы в чистом водном растворе (по массе). Итак, если у нас есть 1 кг раствора, который, как мы знаем, содержит 90 г сахара (т.е. 910 г воды), у нас будет 9% сахара по весу, то есть 9°P или эквивалентно 9°Bx.
ОБНОВИТЬ: Большинство рефрактометров предназначены для измерения растворов сахарозы; к сожалению, у мальтозы немного другой показатель преломления (и сусло содержит некоторые другие несахарные частицы, которые изменяют преломление раствора).
Каждое пиво немного отличается, поэтому один из способов оценить разницу — сравнить ваш рефрактометр с ареометром для этого конкретного раствора. Обычно рефрактометр показывает где-то от +2 до +6%. Необходимость использовать ареометр каждый раз сводит на нет удобство рефрактометра, поэтому большинство людей просто корректируют свое измерение по шкале Брикса на 4%.
Бх’ ≈
Бх 100% + 4% =
Бх 1,04 Где,
- Bx — градусы Брикса (°Bx) раствора мальтозы, измеренные с помощью сахарозного рефрактометра, и
- Bx’ — скорректированные градусы Брикса (°Bx).
Формулы преобразования
Связь между SG и шкалами Брикса/Плато нелинейна, она близка, но не совсем.
Для аппроксимации этой кривой можно использовать несколько формул. Для шкалы Платона есть три функции, от наименее точной к наиболее точной: линейное уравнение (правило большого пальца), квадратное (Линкольн) и полином третьего порядка (кубический).
P Эмпирическое правило = 1000(СГ-1) 4 = Где,
- SG – удельный вес,
- BP — это очки пивовара, а
- P Эмпирическое правило — это градусы Платона (°P), рассчитанные по формуле «Эмпирического правила».
P Линкольн = (-205СГ+463)(СГ-1) = -205SG 2 + 668SG — 463 Где,
- SG — удельный вес, а
- P Линкольн — градусы Платона (°P), рассчитанные по квадратичной формуле Линкольна.
P Кубический = 135 997 / 1000 SG 3 — 630 34 / 125 SG 2 + 1111 7 / 50 SG — 616 217 / 250 = 135.997SG 3 — 630.272SG 2 + 1111.14SG — 616.868 Где,
- SG — удельный вес, а
- P Кубический — градусы Плато (°P), рассчитанные по кубической формуле.
ОБНОВЛЕНИЕ: Вот еще одна формула преобразования, связанная со шкалой Платона:
P Кубический2 = 190.74SG 3 — 800.47SG 2 + 1286.4СГ — 676,67 Где,
- SG — удельный вес, а
- P Cubic2 — градусы Платона (°P), рассчитанные по другой кубической формуле.
Вот формула преобразования, связанная со шкалой Брикса.
Вх = 261 3 / 10 ( 1 — 1 ) СГ ⇔
СГ = 1 1 — Бх 261 3 / 10 Где,
- SG — удельный вес, а
- Bx — градусы Брикса (°Bx).
Сравнение формулы преобразования Как видите, формула Платона «Правило большого пальца» легче всего запомнить и находится в пределах одного пункта SG до 15°P.Однако, если вы варите империал или другое плотное пиво, вам лучше использовать одну из других формул (все они довольно близки).
Это возвращает нас к справочным таблицам. Вместо того, чтобы тратить время на запуск формулы, таблица поиска весьма удобна (хотя полезно знать, на какой формуле основана таблица). Вот (TODO) то, что я сделал и храню вместе с моим рефрактометром. Я также использую прозрачную защитную пленку, чтобы уберечь его от любого случайного разбрызгивания затора.
Калькуляторы
Вот два калькулятора, которые используют формулы, описанные выше:
Брикс ⇒ Удельный вес .Брикс (с использованием рефрактомера сахарозы): °Вх ()
Регулировка (для раствора мальтозы): % ()
Удельный вес (SG): ⇔ точки
Удельный вес ⇒ Брикс и Платон .

Div.: Brix 0.2%
Если это делают с нарушением технологии, поверхностно активные вещества попадают в готовый продукт. А это однозначно брак.
Div. : Brix 0.2%
Если производитель не соблюдает технологию, остатки извести попадают в готовый продукт. А при добавлении такого сахара в чай и появляется белая пена на поверхности жидкости.
А это однозначно брак.
Почему так происходит? Грубо говоря, свекольную стружку отстирали. ПАВ склеивают всю грязь в сахарном сиропе и превращают её в осадок. После этого ПАВ отфильтровываются. Если это делают с нарушением технологии, поверхностно активные вещества попадают в готовый продукт. А это однозначно брак.
Для перевода процентной экстрактивности в весовую необходимо умножить показатель на 4. Например, начальная экстрактивность сусла составила 12 %. 12 х 4 = 48, значит весовая плотность равна 1.048
Минимальное значение по шкале Брикса


.. по шкале Брикса.
ru
0001 nD (Brix: ±0.1%)
.. 40°С, цена деления 0.1°С
3875135555
футов = 62,42796058 · sg · ρ w
Так как граммы/литр — это части на тысячу (ppt), а проценты
это части на сотню, нам просто нужно разделить граммы/литр на 10, чтобы получить проценты, или:
Все значения содержания алкоголя
конвертируются в % алкоголя по объему при их вводе и подвергаются верхнему пределу
100% и нижний предел 0%.
При выполнении преобразования для вина с указанным
SG, фактическая плотность вина используется вместо ρ m в уравнении (33).
Если бы не порох
гореть, дух считался «под доказательством». По алкогольному опьянению
Закон об обязанностях (1979), «Спирт считается аттестованным, если объем этилового спирта
спирт, содержащийся в нем, доведенный до объема спирта дистиллированной водой.
вес, равный весу двенадцати тринадцатых объема дистиллированной воды, равной
объем спирта, причем объем каждой жидкости рассчитывается при температуре 51 ºF».
по формуле OIML мы можем рассчитать плотность воды при температуре 51ºF как 999,64 кг/м 3 ,
двенадцать тринадцатых из которых 922,74 кг/м 3 , что соответствует содержанию спирта
57,15% по объему. Затем преобразование становится:
решения. Преобразование одного набора единиц в другой — это простое преобразование
единицы массы в числителе и единицы объема в знаменателе. Например, чтобы
преобразовать из г/мл в фунты/галлоны, мы можем написать:
3330) 4 

Теперь, в случае с пивом, густоту напитка связывают с различными факторами. В пиве есть следы сахара, крахмала, хмеля, солода, масла и минералов.
Это делает рефрактометр идеальным инструментом для определения исходной плотности напитка. Несмотря на то, что расчеты, учитывающие эти факторы, помогут вам приблизиться к правильному значению потенциального содержания алкоголя, существует много предположений относительно их точности.
Это значение помогает им оценить и изучить время созревания винограда или повышения уровня сахара.
pdf здесь.
997
018
039
059
080
101
118
ОБНОВЛЕНИЕ
Если вы не исправите это, ваши измерения будут неточными. Как только алкоголь присутствует, вы должны использовать ВТОРОЙ калькулятор.
Это необходимо, потому что любой спирт, присутствующий в сусле или пиве, изменит степень отклонения света при прохождении через рефрактометр, изменяя показания.

Он также оснащен одной шкалой для оценки содержания алкоголя в вине естественного брожения ABV/% VOL (согласно чешскому закону № 321/2004 Sb.).
13 % VOL 90 110
– Чешский закон о виноградарстве (Jakostní víno s přívlastkem)
Масса сусла виноградного сока во время прессования может быть не менее 27 °НМ и не менее 6 % спирта.
