1 замечательный предел
Вы искали 1 замечательный предел? На нашем сайте вы можете получить ответ на любой математический вопрос здесь. Подробное решение с описанием и пояснениями поможет вам разобраться даже с самой сложной задачей и 1 замечательный предел примеры решения, не исключение. Мы поможем вам подготовиться к домашним работам, контрольным, олимпиадам, а так же к поступлению в вуз. И какой бы пример, какой бы запрос по математике вы не ввели — у нас уже есть решение. Например, «1 замечательный предел».
Применение различных математических задач, калькуляторов, уравнений и функций широко распространено в нашей
жизни. Они используются во многих расчетах, строительстве сооружений и даже спорте. Математику человек
использовал еще в древности и с тех пор их применение только возрастает. Однако сейчас наука не стоит на
месте и мы можем наслаждаться плодами ее деятельности, такими, например, как онлайн-калькулятор, который
может решить задачи, такие, как 1 замечательный предел,1 замечательный предел примеры решения,1 и 2 замечательные пределы,1 й замечательный предел,1 предел,1 ый замечательный предел,2 замечательный предел,sinx x предел,sinx предел,x sin x предел,x sinx предел,все замечательные пределы,второй замечательный,второй замечательный предел определение,второй и первый замечательный предел,два замечательных предела,замечательные пределы,замечательные пределы все,замечательные пределы и их следствия,замечательные пределы как решать,замечательные пределы примеры,замечательные пределы примеры решения,замечательные пределы таблица,замечательные пределы это,замечательный предел,замечательный предел 2,как решать замечательные пределы,как решать пределы с косинусами и синусами,как решать пределы с синусами,как решать пределы с синусами и косинусами,калькулятор онлайн первый замечательный предел,калькулятор первый замечательный предел онлайн,онлайн калькулятор первый замечательный предел,первый замечательный,первый замечательный предел,первый замечательный предел второй замечательный предел,первый замечательный предел и второй,первый замечательный предел и второй замечательный предел,первый замечательный предел и его следствия,первый замечательный предел как решать,первый замечательный предел примеры,первый замечательный предел примеры решения,первый замечательный предел следствия,первый и второй замечательные пределы,первый и второй замечательные пределы подробные примеры решений,первый и второй замечательный предел,предел 1 sin x,предел sin 1 x,предел sinx,предел sinx x,предел x arctg x,предел x sin x,предел x sinx,предел арксинуса,предел косинуса,предел синуса,предел тангенса,предел тригонометрической функции,предел тригонометрической функции примеры решения,предел функции тригонометрической,пределы 1 и 2 замечательные пределы,пределы замечательные все,пределы замечательные примеры,пределы примеры решений тригонометрических функций,пределы примеры решения с косинусами и синусами,пределы примеры решения с синусами и косинусами,пределы примеры решения с тригонометрическими функциями,пределы с косинусами и синусами,пределы с синусами и косинусами,пределы с синусами и косинусами примеры решения,пределы с синусами как решать,пределы с тангенсами примеры решения,пределы с тригонометрическими функциями,пределы с тригонометрическими функциями примеры решения,пределы тригонометрические,пределы тригонометрических функций,пределы тригонометрических функций примеры решений,примеры замечательные пределы,примеры первый замечательный предел,примеры решения пределов с тригонометрическими функциями,решение замечательных пределов,решение первого замечательного предела,решение пределов с тригонометрическими функциями,решение пределов тригонометрических,решение тригонометрических пределов,свойства первого замечательного предела,следствия из первого замечательного предела,следствия первого замечательного предела,следствия первый замечательный предел,таблица замечательных пределов,тригонометрические пределы,формулы замечательных пределов,формулы пределов замечательных.
Решить задачу 1 замечательный предел вы можете на нашем сайте https://pocketteacher.ru. Бесплатный онлайн решатель позволит решить онлайн задачу любой сложности за считанные секунды. Все, что вам необходимо сделать — это просто ввести свои данные в решателе. Так же вы можете посмотреть видео инструкцию и узнать, как правильно ввести вашу задачу на нашем сайте. А если у вас остались вопросы, то вы можете задать их в чате снизу слева на странице калькулятора.
Вычисление пределов функций с помощью замечательных пределов. Первый замечательный предел
Доказательство:
Докажем вначале теорему для случая последовательности
По формуле бинома Ньютона:
Полагая получим
Из данного равенства (1) следует, что с увеличением n число положительных слагаемых в правой части увеличивается.
Кроме того, при увеличении n число убывает, поэтому величины возрастают. Поэтому последовательность возрастающая, при этом (2)*Покажем, что она ограничена. Заменим каждую скобку в правой части равенства на единицу, правая часть увеличится, получим неравенство
Усилим полученное неравенство, заменим 3,4,5, …, стоящие в знаменателях дробей, числом 2: Сумму в скобке найдём по формуле суммы членов геометрической прогрессии: Поэтому (3)*
Итак, последовательность ограничена сверху, при этом выполняются неравенства (2) и (3): Следовательно, на основании теоремы Вейерштрасса (критерий сходимости последовательности) последовательность монотонно возрастает и ограниченна, значит имеет предел, обозначаемый буквой e. Т.е.
Зная, что второй замечательный предел верен для натуральных значений x, докажем второй замечательный предел для вещественных x, то есть докажем, что . Рассмотрим два случая:
1. Пусть Каждое значение x заключено между двумя положительными целыми числами: ,где — это целая часть x.
=> =>
Если ,то Поэтому, согласно пределу Имеем
По признаку (о пределе промежуточной функции) существования пределов
2. Пусть . Сделаем подстановку − x = t, тогда
Из двух этих случаев вытекает, что для вещественного x.
Следствия:
9 .) Сравнение бесконечно малых. Теорема о замене бесконечно малых на эквивалентные в пределе и теорема о главной части бесконечно малых.
Пусть функции a(
ОПРЕДЕЛЕНИЯ.
1) a(x ) называется бесконечно малой более высокого порядка чем b(x ) если
Записывают: a(x ) = o(b(x )) .
2) a(x ) и b(x ) называются бесконечно малыми одного порядка , если
где С Îℝ и C ¹ 0 .
Записывают: a(x ) = O (b(x )) .
3) a(x ) и b(x ) называются эквивалентными , если
Записывают: a(x ) ~ b(x ).
4) a(x ) называется бесконечно малой порядка k относи-
тельно бесконечно малой b(x ), если бесконечно малые a(x ) и (b(x )) k имеют один порядок, т.е. если
где С Îℝ и C
¹ 0 .ТЕОРЕМА 6 (о замене бесконечно малых на эквивалентные).
Пусть a(x ), b(x ), a 1 (x ), b 1 (x ) – б.м. при x ® x 0 . Если a(x ) ~ a 1 (x ), b(x ) ~ b 1 (x ),
то
Доказательство: Пусть a(x ) ~ a 1 (x ), b(x ) ~ b 1 (x ), тогда
ТЕОРЕМА 7 (о главной части бесконечно малой).
Пусть a(x ) и b(x ) – б.м. при x ® x 0 , причем b(x ) – б.м. более высокого порядка чем a(x ).
= , a так как b(x )– более высокого порядка чем a(x ) ,то , т.
е. из ясно, что a(x ) + b(x ) ~ a(x )
10) Непрерывность функции в точке(на языке пределов эпсилон-дельта,геометрическое) Односторонняя непрерывность. Непрерывность на интервале, на отрезке. Свойства непрерывных функций.
1. Основные определения
Пусть f (x ) определена в некоторой окрестности точки x 0 .
ОПРЕДЕЛЕНИЕ 1. Функция f (x ) называется непрерывной в точке x 0 если справедливо равенство
Замечания .
1) В силу теоремы 5 §3 равенство (1) можно записать в виде
Условие (2) – определение непрерывности функции в точке на языке односторонних пределов .
2) Равенство (1) можно также записать в виде:
Говорят: «если функция непрерывна в точке x 0 , то знак предела и функцию можно поменять местами».
ОПРЕДЕЛЕНИЕ 2 (на языке e-d).
Функция f (x ) называется непрерывной в точке x 0 если «e>0 $d>0 такое , что
если x ÎU(x 0 , d) (т.
е. | x – x 0 |то f (x )ÎU(f (x 0), e) (т.е. | f (x ) – f (x 0) |
Пусть x , x 0 Î D (f ) (x 0 – фиксированная, x – произвольная)
Обозначим: Dx = x – x 0 – приращение аргумента
Df (x 0) = f (x ) – f (x 0) – приращение функции в точкеx 0
ОПРЕДЕЛЕНИЕ 3 (геометрическое).
Функция f (x ) называетсянепрерывной в точке x 0 если в этой точке бесконечно малому приращению аргумента соответствует бесконечно малое приращение функции , т.е.
Пусть функция f (x ) определена на промежутке [x 0 ; x 0 + d) (на промежутке (
ОПРЕДЕЛЕНИЕ. Функция f (x ) называется непрерывной в точке x 0 справа (слева ), если справедливо равенство
Очевидно, что f (x ) непрерывна в точке x 0 Û f (x ) непрерывна в точке x 0 справа и слева.
ОПРЕДЕЛЕНИЕ. Функция f (x ) называется непрерывной на интервал е (a ; b ) если она непрерывна в каждой точке этого интервала .
Функция f (x ) называется непрерывной на отрезке [a ; b ] если она непрерывна на интервале (a ; b ) и имеет одностороннюю непрерывность в граничных точках (т.е. непрерывна в точке a справа, в точке b – слева).
11) Точки разрыва, их классификация
ОПРЕДЕЛЕНИЕ. Если функция f (x ) определена в некоторой окрестности точки x 0 , но не является непрерывной в этой точке, то f (x ) называют разрывной в точке x 0 , а саму точку x 0 называют точкой разрыва функции f (x ) .
Замечания .
1) f (x ) может быть определена в неполной окрестности точки x 0 .
Тогда рассматривают соответствующую одностороннюю непрерывность функции.
2) Из определения Þ точка x 0 является точкой разрыва функции f (x ) в двух случаях:
а) U(x 0 , d)ÎD (f ) , но для f (x ) не выполняется равенство
б) U * (x 0 , d)ÎD (f ) .
Для элементарных функций возможен только случай б).
Пусть x 0 – точка разрыва функции f (x ) .
ОПРЕДЕЛЕНИЕ. Точка x 0 называется точкой разрыва I рода если функция f (x ) имеет в этой точке конечные пределы слева и справа .
Если при этом эти пределы равны, то точка x 0 называется точкой устранимого разрыва , в противном случае – точкой скачка .
ОПРЕДЕЛЕНИЕ. Точка x 0 называется точкой разрыва II рода если хотя бы один из односторонних пределов функции f (x ) в этой точке равен ¥ или не существует .
{3x} = 1 $$
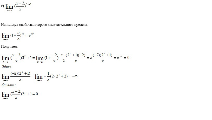
Разберем случаи, когда задача похожа на второй замечательный предел, но решается без него.
В статье: «Второй замечательный предел: примеры решений» была разобрана формула, её следствия и приведены частые типы задач по этой теме.
Формула второго замечательного предела имеет вид lim x → ∞ 1 + 1 x x = e . Другая форма записи выглядит так: lim x → 0 (1 + x) 1 x = e .
Когда мы говорим о втором замечательном пределе, то нам приходится иметь дело с неопределенностью вида 1 ∞ , т.е. единицей в бесконечной степени.
Yandex.RTB R-A-339285-1
Рассмотрим задачи, в которых нам пригодится умение вычислять второй замечательный предел.
Пример 1
Найдите предел lim x → ∞ 1 — 2 x 2 + 1 x 2 + 1 4 .
Решение
Подставим нужную формулу и выполним вычисления.
lim x → ∞ 1 — 2 x 2 + 1 x 2 + 1 4 = 1 — 2 ∞ 2 + 1 ∞ 2 + 1 4 = 1 — 0 ∞ = 1 ∞
У нас в ответе получилась единица в степени бесконечность.
Чтобы определиться с методом решения, используем таблицу неопределенностей. Выберем второй замечательный предел и произведем замену переменных.
t = — x 2 + 1 2 ⇔ x 2 + 1 4 = — t 2
Если x → ∞ , тогда t → — ∞ .
Посмотрим, что у нас получилось после замены:
lim x → ∞ 1 — 2 x 2 + 1 x 2 + 1 4 = 1 ∞ = lim x → ∞ 1 + 1 t — 1 2 t = lim t → ∞ 1 + 1 t t — 1 2 = e — 1 2
Ответ: lim x → ∞ 1 — 2 x 2 + 1 x 2 + 1 4 = e — 1 2 .
Пример 2
Вычислите предел lim x → ∞ x — 1 x + 1 x .
Решение
Подставим бесконечность и получим следующее.
lim x → ∞ x — 1 x + 1 x = lim x → ∞ 1 — 1 x 1 + 1 x x = 1 — 0 1 + 0 ∞ = 1 ∞
В ответе у нас опять получилось то же самое, что и в предыдущей задаче, следовательно, мы можем опять воспользоваться вторым замечательным пределом. Далее нам нужно выделить в основании степенной функции целую часть:
x — 1 x + 1 = x + 1 — 2 x + 1 = x + 1 x + 1 — 2 x + 1 = 1 — 2 x + 1
После этого предел приобретает следующий вид:
lim x → ∞ x — 1 x + 1 x = 1 ∞ = lim x → ∞ 1 — 2 x + 1 x
Заменяем переменные.
Допустим, что t = — x + 1 2 ⇒ 2 t = — x — 1 ⇒ x = — 2 t — 1 ; если x → ∞ , то t → ∞ .
После этого записываем, что у нас получилось в исходном пределе:
lim x → ∞ x — 1 x + 1 x = 1 ∞ = lim x → ∞ 1 — 2 x + 1 x = lim x → ∞ 1 + 1 t — 2 t — 1 = = lim x → ∞ 1 + 1 t — 2 t · 1 + 1 t — 1 = lim x → ∞ 1 + 1 t — 2 t · lim x → ∞ 1 + 1 t — 1 = = lim x → ∞ 1 + 1 t t — 2 · 1 + 1 ∞ = e — 2 · (1 + 0) — 1 = e — 2
Чтобы выполнить данное преобразование, мы использовали основные свойства пределов и степеней.
Ответ: lim x → ∞ x — 1 x + 1 x = e — 2 .
Пример 3
Вычислите предел lim x → ∞ x 3 + 1 x 3 + 2 x 2 — 1 3 x 4 2 x 3 — 5 .
Решение
lim x → ∞ x 3 + 1 x 3 + 2 x 2 — 1 3 x 4 2 x 3 — 5 = lim x → ∞ 1 + 1 x 3 1 + 2 x — 1 x 3 3 2 x — 5 x 4 = = 1 + 0 1 + 0 — 0 3 0 — 0 = 1 ∞
После этого нам нужно выполнить преобразование функции для применения второго замечательного предела. У нас получилось следующее:
lim x → ∞ x 3 + 1 x 3 + 2 x 2 — 1 3 x 4 2 x 3 — 5 = 1 ∞ = lim x → ∞ x 3 — 2 x 2 — 1 — 2 x 2 + 2 x 3 + 2 x 2 — 1 3 x 4 2 x 3 — 5 = = lim x → ∞ 1 + — 2 x 2 + 2 x 3 + 2 x 2 — 1 3 x 4 2 x 3 — 5
lim x → ∞ 1 + — 2 x 2 + 2 x 3 + 2 x 2 — 1 3 x 4 2 x 3 — 5 = lim x → ∞ 1 + — 2 x 2 + 2 x 3 + 2 x 2 — 1 x 3 + 2 x 2 — 1 — 2 x 2 + 2 — 2 x 2 + 2 x 3 + 2 x 2 — 1 3 x 4 2 x 3 — 5 = = lim x → ∞ 1 + — 2 x 2 + 2 x 3 + 2 x 2 — 1 x 3 + 2 x 2 — 1 — 2 x 2 + 2 — 2 x 2 + 2 x 3 + 2 x 2 — 1 3 x 4 2 x 3 — 5
Поскольку сейчас у нас есть одинаковые показатели степени в числителе и знаменателе дроби (равные шести), то предел дроби на бесконечности будет равен отношению данных коэффициентов при старших степенях.
lim x → ∞ 1 + — 2 x 2 + 2 x 3 + 2 x 2 — 1 x 3 + 2 x 2 — 1 — 2 x 2 + 2 — 2 x 2 + 2 x 3 + 2 x 2 — 1 3 x 4 2 x 3 — 5 = = lim x → ∞ 1 + — 2 x 2 + 2 x 3 + 2 x 2 — 1 x 3 + 2 x 2 — 1 — 2 x 2 + 2 — 6 2 = lim x → ∞ 1 + — 2 x 2 + 2 x 3 + 2 x 2 — 1 x 3 + 2 x 2 — 1 — 2 x 2 + 2 — 3
При замене t = x 2 + 2 x 2 — 1 — 2 x 2 + 2 у нас получится второй замечательный предел. Значит, что:
lim x → ∞ 1 + — 2 x 2 + 2 x 3 + 2 x 2 — 1 x 3 + 2 x 2 — 1 — 2 x 2 + 2 — 3 = lim x → ∞ 1 + 1 t t — 3 = e — 3
Ответ: lim x → ∞ x 3 + 1 x 3 + 2 x 2 — 1 3 x 4 2 x 3 — 5 = e — 3 .
Выводы
Неопределенность 1 ∞ , т.е. единица в бесконечной степени, является степенной неопределенностью, следовательно, ее можно раскрыть, используя правила нахождения пределов показательно степенных функций.
Если вы заметили ошибку в тексте, пожалуйста, выделите её и нажмите Ctrl+Enter
Первый замечательный предел часто применяется для вычисления пределов содержащих синус, арксинус, тангенс, арктангенс и получающихся при них неопределенностей ноль делить на ноль.
2+1 = 1 $, при $ x\to 0 $. Не выполнено второе условие, поэтому применять формулу НЕЛЬЗЯ!
Следствия
Достаточно редко в задания можно увидеть чистый первый замечательный предел, в котором можно сразу было бы записать ответ. На практике всё немного сложнее выглядит, но для таких случаев будет полезно знать следствия первого замечательного предела. Благодаря им можно быстро вычислить нужные пределы.
$$ \lim_{\alpha\to 0} \frac{\alpha}{\sin\alpha} = 1 $$
$$ \lim_{\alpha\to 0} \frac{\sin(a\alpha)}{\sin(b\alpha)} = \frac{a}{b} $$
$$ \lim_{\alpha\to 0} \frac{tg\alpha}{\alpha} = 1 $$
$$ \lim_{\alpha\to 0} \frac{\arcsin\alpha}{\alpha} = 1 $$
$$ \lim_{\alpha\to 0} \frac{arctg\alpha}{\alpha} = 1 $$
Примеры решений
Рассмотрим первый замечательный предел, примеры решения которого на вычисление пределов содержащих тригонометрические функции и неопределенность $ \bigg[\frac{0}{0}\bigg] $
| Пример 1 |
| Вычислить $ \lim_{x\to 0} \frac{\sin2x}{4x} $ |
| Решение |
Рассмотрим предел и заметим, что в нём присутствует синус. Если не получается решить свою задачу, то присылайте её к нам. Мы предоставим подробное решение. Вы сможете ознакомиться с ходом вычисления и почерпнуть информацию. |
| Пример 4 |
| Вычислить $ \lim_{x\to0} \frac{\sin2x}{tg3x} $ |
| Решение |
Вычисление начнём с подстановки $ x=0 $. В результате получаем неопределенность $ \frac{0}{0} $. Предел содержит синус и тангенс, что намекает на возможное развитие ситуации с использованием формулы первого замечательного предела. Преобразуем числитель и знаменатель дроби под формулу и следствие: $$ \lim_{x\to0} \frac{\sin2x}{tg3x} = \frac{0}{0} = \lim_{x\to0} \frac{\frac{\sin2x}{2x}\cdot 2x}{\frac{tg3x}{3x}\cdot 3x} = $$ Теперь видим в числителе и знаменателе появились выражения подходящие под формулу и следствия. Аргумент синуса и аргумент тангенса совпадают для соответствующих знаменателей $$ = \lim_{x\to0} \frac{1\cdot 2x}{1\cdot 3x} = \frac{2}{3} $$ |
| Ответ |
| $$ \lim_{x\to0} \frac{\sin2x}{tg2x} = \frac{2}{3} $$ |
В статье: «Первый замечательный предел, примеры решения» было рассказано о случаях, в которых целесообразно использовать данную формулу и её следствия.
2.10. Предел тригонометрических функций.
Первый замечательный предел
Первый из все, давайте рассмотрим принцип, называемый сжатием принцип .
принцип сжатия:
Если а также
тогда
Теорема 1: Пусть обозначают синус угла радианы. затем
Иногда этот предел также называют «первым замечательным пределом».
Теорема 2: Пусть обозначают косинус угла радианы.
Тогда
Как или же , значения sin x и cos x колеблются многократно между –1 и 1 без приближения к какому-либо фиксированному реальному ценность. Таким образом, пределы , , , не существует. Мы скажем, что они не существуют из-за колебание.
Пример: Найти
Решение: Пусть , как х 0, . Таким образом,
знак равно знак равно знак равно .
Итак,
.
В в частности, если a = 2, тогда .
Пример: Находить
Решение: знак равно знак равно .
Пример: Находить
Решение: Разделим числитель и знаменатель на х
знак равно знак равно .
Пример: Находить
Решение: знак равно знак равно =
= =11=1.
Пример: Находить
Решение: знак равно знак равно знак равно .
Пример: Находить
Решение: Как x 0 тогда числитель и знаменатель стремятся к нулю. Давайте умножим числитель и знаменатель на сопряжение знаменателя:
знак равно =
= =1(3+3)=6.
Пример: Находить
Решение: Заметьте, что при x 2, у нас будет .
Пусть . Получаем
знак равно знак равно =
= знак равно =
=
знак равно
.
Упражнения
В упражнения 1-18 найти пределы.
1. 2.
3. 4.
5. 6.
7. 8.
9. 10.
11. 12.
13. 14.
15. 16.
17.
18.
19. Найдите ненулевое значение константы k чтобы
будут быть непрерывным при x = 0.
Ответы
1. 3; 2. 0; 3. 7/3; 4. 1; 5. 2; 6. –25/49; 7. 3; 8. 1; 9. а / б ; 10. 1/8;
11. 1/3; 12. 4; 13. –1/2; 14. 3; 15. 1/36 ; 16. 3/2; 17. –1; 18. /4;
19. 1/2.
Номер и это предел
(1) или
(2)
Ограничения (1)
и (2) эквивалентны и называются вторыми замечательными пределами.
Для оценки возможны следующие случаи.
а) Если а также тогда С = А В
б) Если а также тогда мы применяем
или
c) Если а также тогда мы предполагаем , куда как х и и
знак равно знак равно .
Пример: Находить
Решение: В качестве , выражение и получаем неопределенный вид . Давайте представим по .
Если тогда . Таким образом,
знак равно =
Использование (2) получаем
знак равно =
(3) знак равно ;
В в частности, если k =3, тогда =
Пример: Находить
Решение: С
Использование (2) получаем
знак равно знак равно =1.
Пример: Находить
Решение:
Пусть делим числитель и знаменатель на х , а затем используйте (3)
знак равно
знак равно
.
Пример: Находить
Решение:
=
Пусть . затем .
Как , тогда .
Получаем
знак равно =
= знак равно .
Пример: Находить
Решение: =
Пусть . Затем
знак равно =
= знак равно .
Упражнения
В упражнения 1-12 найти пределы.
1. 2.
3. 4.
5. 6.
7. 8.
9. 10.
11. 12.
Ответы
1. ; 2. ; 3. 4; 4. 1; 5. ; 6. ; 7. ; 8. ; 9. ;
10. 2; 11. 4/5; 12. .
56
Выборочное распределение среднего
|

Далее подставим $ x = 0 $ в числитель и знаменатель и получим неопределенность нуль делить на нуль: $$ \lim_{x\to 0} \frac{\sin2x}{4x} = \frac{0}{0} $$ Уже два признака того, что нужно применять замечательный предел, но есть небольшой нюанс: сразу применить формулу мы не сможем, так как выражение под знаком синуса отличается от выражения стоящего в знаменателе. А нам нужно, чтобы они были равны. Поэтому с помощью элементарных преобразований числителя мы превратим его в $ 2x $. Для этого мы вынесем двойку из знаменателя дроби отдельным множителем. Выглядит это так: $$ \lim_{x\to 0} \frac{\sin2x}{4x} = \lim_{x\to 0} \frac{\sin2x}{2\cdot 2x} = $$ $$ = \frac{1}{2} \lim_{x\to 0} \frac{\sin2x}{2x} = \frac{1}{2}\cdot 1 = \frac{1}{2} $$ Обратите внимание, что в конце $ \lim_{x\to 0} \frac{\sin2x}{2x} = 1 $ получилось по формуле.
4} = 1 $$
Лейн
Символ μ M используется для обозначения среднего значения выборочного распределения.
среднего. Таким образом, формула среднего значения выборки
распределение среднего может быть записано как:
Дисперсия суммы будет σ 2 + σ 2 + σ 2 .
Для N чисел дисперсия будет Nσ 2 .
Поскольку среднее значение равно сумме, умноженной на 1/N, дисперсия выборки
распределение среднего будет 1/N 2 умножить на дисперсию суммы, которая равна σ 2 /N.
