Бесплатно
CT 1: Строительные материалы
6,4 тыс. пользователей
10 вопросов
20 баллов
12 минут
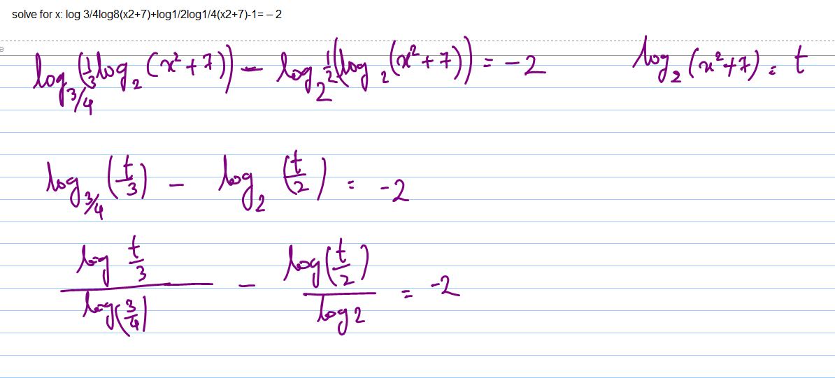
u = x log xy
x 3 + y 3 + 3xy = 1
{\partial x}}} \right)dx + \left( {\frac{{\partial u}}{{\partial y}}} \right)dy\)
\(\Rightarrow \;\frac{ {\partial u}}{{\partial x}} = \left( {\frac{{\partial u}}{{\partial x}}} \right) + \left( {\frac{{\partial u }}{{\partial y}}} \right)\left( {\frac{{dy\;}}{{dx}}} \right)\)
u = x log xy
Частное дифференцирование по x
\(\Rightarrow \frac{{\partial u}}{{\partial x}} = \log xy + \frac{x}{{xy }}\left( y \right) = 1 + \log xy\)
Частичное дифференцирование по y
\( \Rightarrow \frac{{\partial u}}{{\partial y}} = x\ влево ( {\ frac {1} {{xy}}} \ right) \ влево ( x \ right) = \ frac {x} {y} \)
x 3 + y 3 + 3xy = 1
Дифференцируя по x, получаем 92}} \справа)}}\)
Скачать решение PDFПоделиться в WhatsApp
Последние обновления UPSC IES
Последнее обновление: 27 января 2023 г.
27 января 2023 г. Союзная комиссия по государственной службе выпустила карту допуска к предварительному экзамену UPSC IES. Кандидаты должны отметить, что это относится к циклу 2022 года. Недавно правление также выпустило Уведомление UPSC IES 2023, в котором содержится 327 вакансий. Кандидаты могут подать заявку в период с 14 сентября 2022 г. по 4 октября 2022 г. Кандидаты должны соответствовать критериям приемлемости USPC IES, чтобы принять участие в наборе.
решение-проблем-с-линейными-системами-мастерство-тест-ответ-ключ — Google
mastery-test-systems-o…
Сыграйте в эту игру, чтобы повторить Алгебру I. Что такое системы линейных уравнений? … В. Если система уравнений не имеет решения, как выглядит график?
Edmentum Algebra1 Unit5 Системы линейных уравнений — YouTube
www.youtube.com › смотреть
09.06.2022 · 00:00 Учебник27:24 Практика59:46 Тест на мастерствоКакой системе уравнений удовлетворяет.
..
Dauer: 1:24:46
Прислан: 09.06.2022
Edmentum Algebra1 Unit1 Решение линейных уравнений — YouTube
www.youtube.com › смотреть
04.05.2022 · Главы*00:00 Учебник13:57 Практика38:09 Тест на мастерствоКаково решение для x в …
Дата: 1:00:16
Прислан: 04.05.2022
Математика 8: решение задач с системами линейных уравнений — Quizlet
quizlet.com › math-8solving-problems-with-systems…
Решение задач с системами линейных уравнений: тест на мастерство Учитесь с помощью карточек, игр , и многое другое — бесплатно.
Вид: ключ | Muss Folgendes enthalten:key
Системы линейных уравнений Модульный тест Обзор Флэшкарты — Quizlet
quizlet.com › Система линейных уравнений Модульный тест
Bewertung 4,7
(40)
Изучайте с помощью Quizlet и запоминайте карточки, содержащие такие термины, как Какое приближение является лучшим для решения системы уравнений? y = -2/5x + 1 .
..
[PDF] КЛЮЧ ОТВЕТА
www.tamaqua.k12.pa.us › cms › lib07 › Centricity › Domain › ALG2…
6: Solve systems линейных уравнений точно и приблизительно (например, с помощью графиков), уделяя особое внимание парам линейных уравнений с двумя переменными. РЕЙТИНГ. ОБУЧЕНИЕ …
Ähnliche Fragen
Как вы решаете задачи линейной системы?
Сколько ответов может быть у системы линейных уравнений?
Как записать ответ системы линейных уравнений?
Каково решение этой системы линейных уравнений 3x 2y 14 5x y 32?
Решение систем линейных уравнений — Базовый пример — Академия Хана
www.khanacademy.org › sat › sat-math-h7-easier
16.04.2015 · Если наклон двух одинаковый, но разный y -перехватывает, то это не решение. Комментарий
Dauer: 1:57
Прислан: 16.04.2015
Edmentum mastery test ответы алгебра 2
yyfvg.greiner-prasch.de › edmentum-mastery-test-a…
Большая книга по математике 202 Алгебра 1 Ключ к ответу Глава 5 Решение систем линейных уравнений.
