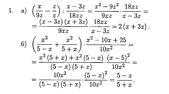
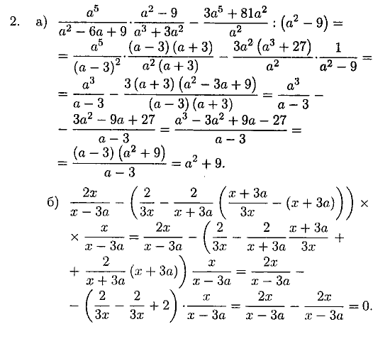
Алгебраические дроби. Сокращение алгебраических дробей
- Сокращение алгебраических дробей
Алгебраическая дробь — это дробь, числитель и знаменатель которой являются многочленами. Другими словами, алгебраическая дробь — это деление двух многочленов, записанное с помощью дробной черты.
Любую алгебраическую дробь можно представить в виде выражения:
где a и b — это многочлены и b≠0.
Дробная черта в записи алгебраической дроби заменяет собой скобки, которые должны были бы присутствовать, если частное было бы записано не в виде дроби:
| (a + 3) : (a2 + 9) = | a + 3 | . |
| a2 + 9 |
Примеры алгебраических дробей:
| a + 3 | ; | 7 | ; | 1 | . |
| a2 + 9 | x | 2 |
Обратите внимание на последний пример: обыкновенные дроби являются одновременно и алгебраическими, так как любое число можно считать многочленом, состоящим из одного члена.
Любой многочлен можно записать в виде алгебраической дроби, знаменатель которой равен единице:
| a2 + 9 = | a2 + 9 | ; |
| 1 |
| 15 = | 15 | ; |
| 1 |
| x2 + 2xy + y2 = | x2 + 2xy + y2 | . |
| 1 |
Основное свойство алгебраической дроби:
Если числитель и знаменатель алгебраической дроби умножить или разделить на один и тот же многочлен, то получится дробь, равная данной.
В виде буквенной формулы основное свойство алгебраической дроби можно записать так:
| a | = | a · c | и | a | = | a : c | |
| b | b · c | b | b : c | , |
где c≠0.
Используя основное свойство алгебраических дробей, выполняют их сокращение. Сокращение алгебраических дробей — это деление числителя и знаменателя дроби на их общий множитель.
Чтобы сократить алгебраическую дробь, надо числитель и знаменатель разложить на множители. Если числитель и знаменатель имеют общие множители, то дробь можно сократить. Если у числителя и знаменателя общих множителей нет, то дробь является несократимой.
Пример 1. Сократить дробь:
| . | |
| ab2 |
Решение: Разложим числитель и знаменатель на множители, выделим их общий множитель и сократим дробь на него:
| ab2 + bc | = | b(ab + с) | = | ab + с | . |
| ab2 | b · ab | ab |
Пример 2.
Упростить дробь:
| 3x(a + b) | . |
| x2(b — a) |
Решение: Сначала мы можем сократить дробь на общий множитель x в первой степени:
| 3x(a + b) | = | 3(a + b) | . |
| x2(b — a) | x(b — a) |
Теперь стоит внимательно посмотреть на многочлены, заключённые в скобки:
a + b и b — a.
Чтобы многочлен из знаменателя привести к тому же виду, что и у многочлена в числителе, надо поменять у многочлена b — a знак на противоположный и переставить члены местами:
b — a = -(-b + a) = -(a — b).
Теперь и в числителе и в знаменателе у нас есть общий множитель, который можно сократить:
| 3(a + b) | = | 3(a + b) | = — | 3 | .![]() |
| x(b — a) | —x( | x |
Пример 3. Сократите дробь:
| 24ab3c5 | . |
| 16a5b3c |
Решение: Числитель и знаменатель дроби являются одночленами. Каждый одночлен — это произведение, состоящее из множителей, значит, можно сразу переходит к сокращению:
- Начинаем с числового множителя. Числовые множители можно сократить на их наибольший общий делитель. Для чисел 24 и 16 — это число 8. После сокращения от 24 останется 3, а от 16 — 2.
- Буквенные множители сокращаем на степень с наименьшим встречающимся показателем:
- a и a5 сокращаем на a. Единицу в числитель не пишем, а в знаменателе остаётся a4.
- b3 и b3 сокращаем на b3 , единицы в результат не записываем.

- c5 и c сокращаем на c, в числитель пишем c4, в знаменатель не пишем ничего.
Следовательно:
| 24ab3c5 | = | 3c4 | . |
| 16a5b3c | 2a4 |
Сокращение алгебраических дробей: правило, примеры.
Данная статья продолжает тему преобразования алгебраических дробей: рассмотрим такое действие как сокращение алгебраических дробей. Дадим определение самому термину, сформулируем правило сокращения и разберем практические примеры.
Смысл сокращения алгебраической дроби
В материалах об обыкновенной дроби мы рассматривали ее сокращение. Мы определили сокращение обыкновенной дроби как деление ее числителя и знаменателя на общий множитель.
Сокращение алгебраической дроби представляет собой аналогичное действие.
Сокращение алгебраической дроби – это деление ее числителя и знаменателя на общий множитель. При этом, в отличие от сокращения обыкновенной дроби (общим знаменателем может быть только число), общим множителем числителя и знаменателя алгебраической дроби может служить многочлен, в частности, одночлен или число.
К примеру, алгебраическая дробь 3·x2+6·x·y6·x3·y+12·x2·y2 может быть сокращена на число 3, в итоге получим: x2+2·x·y6·x3·y+12·x2·y2 . Эту же дробь мы можем сократить на переменную х, и это даст нам выражение 3·x+6·y6·x2·y+12·x·y2. Также заданную дробь возможно сократить на одночлен 3·xили любой из многочленов x+2·y, 3·x+6·y, x2+2·x·y или 3·x2+6·x·y.
Конечной целью сокращения алгебраической дроби является дробь более простого вида, в лучшем случае – несократимая дробь.
Все ли алгебраические дроби подлежат сокращению?
Опять же из материалов об обыкновенных дробях мы знаем, что существуют сократимые и несократимые дроби.
Несократимые – это дроби, не имеющие общих множителей числителя и знаменателя, отличных от 1.
С алгебраическими дробями все так же: они могут иметь общие множители числителя и знаменателя, могут и не иметь. Наличие общих множителей позволяет упростить исходную дробь посредством сокращения. Когда общих множителей нет, оптимизировать заданную дробь способом сокращения невозможно.
В общих случаях по заданному виду дроби довольно сложно понять, подлежит ли она сокращению. Конечно, в некоторых случаях наличие общего множителя числителя и знаменателя очевидно. Например, в алгебраической дроби 3·x23·y совершенно понятно, что общим множителем является число 3.
В дроби -x·y5·x·y·z3 также мы сразу понимаем, что сократить ее возможно на х, или y, или на х·y. И все же гораздо чаще встречаются примеры алгебраических дробей, когда общий множитель числителя и знаменателя не так просто увидеть, а еще чаще – он попросту отсутствует.
Например, дробь x3-1×2-1 мы можем сократить на х-1, при этом указанный общий множитель в записи отсутствует.
А вот дробь x3-x2+x-1×3+x2+4·x+4 подвергнуть действию сокращения невозможно, поскольку числитель и знаменатель не имеют общего множителя.
Таким образом, вопрос выяснения сократимости алгебраической дроби не так прост, и зачастую проще работать с дробью заданного вида, чем пытаться выяснить, сократима ли она. При этом имеют место такие преобразования, которые в частных случаях позволяют определить общий множитель числителя и знаменателя или сделать вывод о несократимости дроби. Разберем детально этот вопрос в следующем пункте статьи.
Правило сокращения алгебраических дробей
Правило сокращения алгебраических дробей состоит из двух последовательных действий:
- нахождение общих множителей числителя и знаменателя;
- в случае нахождения таковых осуществление непосредственно действия сокращения дроби.
Самым удобным методом отыскания общих знаменателей является разложение на множители многочленов, имеющихся в числителе и знаменателе заданной алгебраической дроби.
Это позволяет сразу наглядно увидеть наличие или отсутствие общих множителей.
Само действие сокращения алгебраической дроби базируется на основном свойстве алгебраической дроби, выражаемой равенством undefined , где a,b,c – некие многочлены, причем b и c – ненулевые. Первым шагом дробь приводится к виду a·cb·c , в котором мы сразу замечаем общий множитель c. Вторым шагом – выполняем сокращение, т.е. переход к дроби вида ab .
Характерные примеры
Несмотря на некоторую очевидность, уточним про частный случай, когда числитель и знаменатель алгебраической дроби равны. Подобные дроби тождественно равны 1 на всей ОДЗ переменных этой дроби:
55=1;-23-23=1;xx=1;-3,2·x3-3,2·x3=1;12·x-x2·y12·x-x2·y;
и т.п.
Поскольку обыкновенные дроби являются частным случаем алгебраических дробей, напомним, как осуществляется их сокращение. Натуральные числа, записанные в числителе и знаменателе, раскладываются на простые множители, затем общие множители сокращаются (если таковые имеются).
К примеру, 241260=2·2·2·32·2·3·3·5·7=23·5·7=2105
Произведение простых одинаковых множителей возможно записать как степени, и в процессе сокращения дроби использовать свойство деления степеней с одинаковыми основаниями. Тогда вышеуказанное решение было бы таким:
241260=23·322·32·5·7=23-232-1·5·7=2105
(числитель и знаменатель разделены на общий множитель 22·3). Или для наглядности, опираясь на свойства умножения и деления, решению дадим такой вид:
241260=23·322·32·5·7=2322·332·15·7=21·13·135=2105По аналогии осуществляется сокращение алгебраических дробей, у которых в числителе и знаменателе имеются одночлены с целыми коэффициентами.
Пример 1Задана алгебраическая дробь -27·a5·b2·c·z6·a2·b2·c7·z . Необходимо произвести ее сокращение.
Решение
Возможно записать числитель и знаменатель заданной дроби как произведение простых множителей и переменных, после чего осуществить сокращение:
-27·a5·b2·c·z6·a2·b2·c7·z=-3·3·3·a·a·a·a·a·b·b·c·z2·3·a·a·b·b·c·c·c·c·c·c·c·z==-3·3·a·a·a2·c·c·c·c·c·c=-9·a32·c6
Однако, более рациональным способом будет запись решения в виде выражения со степенями:
-27·a5·b2·c·z6·a2·b2·c7·z=-33·a5·b2·c·z2·3·a2·b2·c7·z=-332·3·a5a2·b2b2·cc7·zz==-33-12·a5-21·1·1c7-1·1=·-32·a32·c6=·-9·a32·c6 .
Ответ: -27·a5·b2·c·z6·a2·b2·c7·z=-9·a32·c6
Когда в числителе и знаменателе алгебраической дроби имеются дробные числовые коэффициенты, возможно два пути дальнейших действий: или отдельно осуществить деление этих дробных коэффициентов, или предварительно избавиться от дробных коэффициентов, умножив числитель и знаменатель на некое натуральное число. Последнее преобразование проводится в силу основного свойства алгебраической дроби (про него можно почитать в статье «Приведение алгебраической дроби к новому знаменателю»).
Пример 2Задана дробь 25·x0,3·x3. Необходимо выполнить ее сокращение.
Решение
Возможно сократить дробь таким образом:
25·x0,3·x3=25310·xx3=43·1×2=43·x2
Попробуем решить задачу иначе, предварительно избавившись от дробных коэффициентов – умножим числитель и знаменатель на наименьшее общее кратное знаменателей этих коэффициентов, т.е. на НОК (5, 10) = 10. Тогда получим:
25·x0,3·x3=10·25·x10·0,3·x3=4·x3·x3=43·x2 .
Ответ: 25·x0,3·x3=43·x2
Когда мы сокращаем алгебраические дроби общего вида, в которых числители и знаменатели могут быть как одночленами, так и многочленами, возможна проблема, когда общий множитель не всегда сразу виден. Или более того, он попросту не существует. Тогда для определения общего множителя или фиксации факта о его отсутствии числитель и знаменатель алгебраической дроби раскладывают на множители.
Пример 3Задана рациональная дробь 2·a2·b2+28·a·b2+98·b2a2·b3-49·b3 . Необходимо ее сократить.
Решение
Разложим на множители многочлены в числителе и знаменателе. Осуществим вынесение за скобки:
2·a2·b2+28·a·b2+98·b2a2·b3-49·b3=2·b2·(a2+14·a+49)b3·(a2-49)
Мы видим, что выражение в скобках возможно преобразовать с использованием формул сокращенного умножения:
2·b2·(a2+14·a+49)b3·(a2-49)=2·b2·(a+7)2b3·(a-7)·(a+7)
Хорошо заметно, что возможно сократить дробь на общий множитель b2·(a+7).
Произведем сокращение:
2·b2·(a+7)2b3·(a-7)·(a+7)=2·(a+7)b·(a-7)=2·a+14a·b-7·b
Краткое решение без пояснений запишем как цепочку равенств:
2·a2·b2+28·a·b2+98·b2a2·b3-49·b3=2·b2·(a2+14a+49)b3·(a2-49)==2·b2·(a+7)2b3·(a-7)·(a+7)=2·(a+7)b·(a-7)=2·a+14a·b-7·b
Ответ: 2·a2·b2+28·a·b2+98·b2a2·b3-49·b3=2·a+14a·b-7·b.
Случается, что общие множители скрыты числовыми коэффициентами. Тогда при сокращении дробей оптимально числовые множители при старших степенях числителя и знаменателя вынести за скобки.
Пример 4Дана алгебраическая дробь 15·x-27·x3·y5·x2·y-312 . Необходимо осуществить ее сокращение, если это возможно.
Решение
На первый взгляд у числителя и знаменателя не существует общего знаменателя. Однако, попробуем преобразовать заданную дробь. Вынесем за скобки множитель х в числителе:
15·x-27·x3·y5·x2·y-312=x·15-27·x2·y5·x2·y-312
Теперь видна некая схожесть выражения в скобках и выражения в знаменателе за счет x2·y.
Вынесем за скобку числовые коэффициенты при старших степенях этих многочленов:
x·15-27·x2·y5·x2·y-312=x·-27·-72·15+x2·y5·x2·y-15·312==-27·x·-710+x2·y5·x2·y-710
Теперь становится виден общий множитель, осуществляем сокращение:
-27·x·-710+x2·y5·x2·y-710=-27·x5=-235·x
Ответ: 15·x-27·x3·y5·x2·y-312=-235·x .
Сделаем акцент на том, что навык сокращения рациональных дробей зависит от умения раскладывать многочлены на множители.
Решение задач
от 1 дня / от 150 р.
Курсовая работа
от 5 дней / от 1800 р.
Реферат
от 1 дня / от 700 р.
понятие, свойства, приведение к общему знаменателю, перемена знака
Определение алгебраической дроби
Чтобы дать определение алгебраической дроби, необходимо повторить, что такое алгебраическое выражение (см. §1 справочника для 7 класса) и многочлен (см. §14 справочника для 7 класса).
Алгебраическая дробь – это алгебраическое выражение, числитель и знаменатель которого являются многочленами (при условии, что знаменатель не равен нулю).
Алгебраическая дробь, как и другие алгебраические выражения, может быть рациональной или иррациональной.
2-16}-2x+1 = {\left\{ \begin{array}{c} -x+1 \\ x \neq \pm 4 \end{array} \right.} $$
График – прямая y(x) = -x+1, кроме точек (-4;5) и (4;-3), т.к. $x \neq \pm 4$.
правило, примеры. Как решать алгебраические дроби? Теория и практика
Дроби и их сокращение — еще одна тема, которая начинается в 5 классе. Здесь формируется база этого действия, а потом эти умения тянутся ниточкой в высшую математику. Если ученик не усвоил, то у него могут возникнуть проблемы в алгебре. Поэтому лучше уяснить несколько правил раз и навсегда. А еще запомнить один запрет и никогда его не нарушать.
Дробь и ее сокращение
Что это такое, знает каждый ученик. Любые две цифры расположенные между горизонтальной чертой сразу воспринимаются, как дробь. Однако не все понимают, что ею может стать любое число. Если оно целое, то его всегда можно разделить на единицу, тогда получится неправильная дробь. Но об этом позже.
Начало всегда простое. Сначала нужно выяснить, как сократить правильную дробь.
То есть такую, у которой числитель меньше, чем знаменатель. Для этого потребуется вспомнить основное свойство дроби. Оно утверждает, что при умножении (так же, как и делении) одновременно ее числителя и знаменателя на одинаковое число получается, равноценная исходной дробь.
Действия деления, которые выполняются в этом свойстве и приводят к сокращению. То есть максимальному ее упрощению. Дробь можно сокращать до тех пор, пока над чертой и под ней есть общие множители. Когда их уже не будет, то сокращение невозможно. И говорят, что эта дробь несократимая.
Два способа
1. Пошаговое сокращение. В нем используется метод прикидки, когда оба числа делятся на минимальный общий множитель, который заметил ученик. Если после первого сокращения видно, что это не конец, то деление продолжается. Пока дробь не станет несократимой.
2. Нахождение наибольшего общего делителя у числителя и знаменателя. Это самый рациональный способ того, как сокращать дроби. Он подразумевает разложение числителя и знаменателя на простые множители.
Среди них потом нужно выбрать все одинаковые. Их произведение даст наибольший общий множитель, на который сокращается дробь.
Оба эти способа равноценны. Ученику предлагается освоить их и пользоваться тем, который больше понравился.
Что делать, если есть буквы и действия сложения и вычитания?
С первой частью вопроса все более-менее понятно. Буквы можно сокращать так же как и числа. Главное, чтобы они выступали в роли множителей. А вот со второй у многих возникают проблемы.
Важно запомнить! Сокращать можно только числа, которые являются множителями. Если они слагаемые — нельзя.
Для того чтобы понять, как сокращать дроби, имеющие вид алгебраического выражения, нужно усвоить правило. Сначала представить числитель и знаменатель в виде произведения. Потом можно сокращать, если появились общие множители. Для представления в виде множителей пригодятся такие приемы:
- группировка;
- вынесение за скобку;
- применение тождеств сокращенного умножения.

Причем последний способ дает возможность сразу получить слагаемые в виде множителей. Поэтому его необходимо использовать всегда, если видна известная закономерность.
Но это еще не страшно, потом появляются задания со степенями и корнями. Вот тогда требуется набраться смелости и усвоить пару новых правил.
Выражение со степенью
Дробь. В числителе и знаменателе произведение. Есть буквы и числа. А они еще и возведены в степень, которая тоже состоит из слагаемых или множителей. Есть чего испугаться.
Для того чтобы разобраться в том, как сокращать дроби со степенями, потребуется выучить два момента:
- если в показателе степени стоит сумма, то ее можно разложить на множители, степенями которых будут исходные слагаемые;
- если разность, то на делимое и делитель, у первого в степени будет уменьшаемое, у второго — вычитаемое.
После выполнения этих действий становятся видны общие множители. В таких примерах нет необходимости вычислять все степени.
Достаточно просто сократить степени с одинаковыми показателями и основаниями.
Для того чтобы окончательно усвоить то, как сокращать дроби со степенями, нужно много практиковаться. После нескольких однотипных примеров действия будут выполняться уже автоматически.
А если в выражении стоит корень?
Его тоже можно сократить. Только опять же, соблюдая правила. Причем верны все те, которые были описаны выше. В общем, если стоит вопрос о том, как сократить дробь с корнями, то нужно делить.
На иррациональные выражения тоже можно разделить. То есть если в числителе и знаменателе стоят одинаковые множители, заключенные под знак корня, то их можно смело сокращать. Это приведет к упрощению выражения и выполнению задания.
Если после сокращения под чертой дроби осталась иррациональность, то от нее нужно избавиться. Другими словами, умножить на нее числитель и знаменатель. Если после этой операции появились общие множители, то их снова нужно будет сократить.
Вот, пожалуй, и все о том, как сокращать дроби.
Правил немного, а запрет один. Никогда не сокращать слагаемые!
В этой статье мы подробно остановимся на сокращении алгебраических дробей . Сначала разберемся, что понимают под термином «сокращение алгебраической дроби», и выясним, всегда ли алгебраическая дробь сократима. Дальше приведем правило, позволяющее проводить это преобразование. Наконец, рассмотрим решения характерных примеров, которые позволят уяснить все тонкости процесса.
Навигация по странице.
Что значит сократить алгебраическую дробь?
Изучая , мы говорили про их сокращение. мы назвали деление ее числителя и знаменателя на общий множитель. Например, обыкновенную дробь 30/54 можно сократить на 6 (то есть, разделить на 6 ее числитель и знаменатель), что приведет нас к дроби 5/9 .
Под сокращением алгебраической дроби понимают аналогичное действие. Сократить алгебраическую дробь – это значит разделить ее числитель и знаменатель на общий множитель. Но если общим множителем числителя и знаменателя обыкновенной дроби может быть только число, то общим множителем числителя и знаменателя алгебраической дроби может быть многочлен , в частности, одночлен или число.
Например, алгебраическую дробь можно сократить на число 3 , что даст дробь . Также можно выполнить сокращение на переменную x , что приведет к выражению . Исходную алгебраическую дробь можно подвергнуть сокращению на одночлен 3·x , а также на любой из многочленов x+2·y , 3·x+6·y , x 2 +2·x·y или 3·x 2 +6·x·y .
Конечная цель сокращения алгебраической дроби состоит в получении дроби более простого вида, в лучшем случае – несократимой дроби.
Любая ли алгебраическая дробь подлежит сокращению?
Нам известно, что обыкновенные дроби подразделяются на . Несократимые дроби не имеют отличных от единицы общих множителей в числителе и знаменателе, следовательно, не подлежат сокращению.
Алгебраические дроби также могут иметь общие множители числителя и знаменателя, а могут и не иметь. При наличии общих множителей возможно сокращение алгебраической дроби. Если же общих множителей нет, то упрощение алгебраической дроби посредством ее сокращения невозможно.
В общем случае по внешнему виду алгебраической дроби достаточно сложно определить, возможно ли выполнить ее сокращение.
Несомненно, в некоторых случаях общие множители числителя и знаменателя очевидны. Например, хорошо видно, что числитель и знаменатель алгебраической дроби имеют общий множитель 3
. Также несложно заметить, что алгебраическую дробь можно сократить на x
, на y
или сразу на x·y
. Но намного чаще общего множителя числителя и знаменателя алгебраической дроби сразу не видно, а еще чаще – его просто нет. К примеру, дробь возможно сократить на x−1
, но этот общий множитель явно не присутствует в записи. А алгебраическую дробь сократить невозможно, так как ее числитель и знаменатель не имеют общих множителей.
Вообще, вопрос о сократимости алгебраической дроби очень непростой. И порой проще решить задачу, работая с алгебраической дробью в исходном виде, чем выяснить, можно ли эту дробь предварительно сократить. Но все же существуют преобразования, которые в некоторых случаях позволяют с относительно небольшими усилиями найти общие множители числителя и знаменателя, если таковые имеются, либо сделать вывод о несократимости исходной алгебраической дроби.
Эта информация будет раскрыта в следующем пункте.
Правило сокращения алгебраических дробей
Информация предыдущих пунктов позволяет естественным образом воспринять следующее правило сокращения алгебраических дробей , которое состоит из двух шагов:
- сначала находятся общие множители числителя и знаменателя исходной дроби;
- если таковые имеются, то проводится сокращение на эти множители.
Указанные шаги озвученного правила нуждаются в разъяснении.
Самый удобный способ отыскания общих заключается в разложении на множители многочленов , находящихся в числителе и знаменателе исходной алгебраической дроби. При этом сразу становятся видны общие множители числителя и знаменателя, либо становится видно, что общих множителей нет.
Если общих множителей нет, то можно делать вывод о несократимости алгебраической дроби. Если же общие множители обнаружены, то на втором шаге они сокращаются. В результате получается новая дробь более простого вида.
В основе правила сокращения алгебраических дробей лежит основное свойство алгебраической дроби , которое выражается равенством , где a , b и c – некоторые многочлены, причем b и c – ненулевые. На первом шаге исходная алгебраическая дробь приводится к виду , из которого становится виден общий множитель c , а на втором шаге выполняется сокращение – переход к дроби .
Переходим к решению примеров с использованием данного правила. На них мы и разберем все возможные нюансы, возникающие при разложении числителя и знаменателя алгебраической дроби на множители и последующем сокращении.
Характерные примеры
Для начала нужно сказать про сокращение алгебраических дробей, числитель и знаменатель которых одинаковые. Такие дроби тождественно равны единице на всей ОДЗ входящих в нее переменных, например,
и т.п.
Теперь не помешает вспомнить, как выполняется сокращение обыкновенных дробей – ведь они являются частным случаем алгебраических дробей. Натуральные числа в числителе и знаменателе обыкновенной дроби , после чего общие множители сокращаются (при их наличии).
Например, . Произведение одинаковых простых множителей можно записывать в виде степеней, а при сокращении пользоваться . В этом случае решение выглядело бы так: , здесь мы числитель и знаменатель разделили на общий множитель 2 2 ·3
. Или для большей наглядности на основании свойств умножения и деления решение представляют в виде .
По абсолютно аналогичным принципам проводится сокращение алгебраических дробей, в числителе и знаменателе которых находятся одночлены с целыми коэффициентами.
Пример.
Сократите алгебраическую дробь .
Решение.
Можно представить числитель и знаменатель исходной алгебраической дроби в виде произведения простых множителей и переменных, после чего провести сокращение:
Но более рационально решение записать в виде выражения со степенями:
Ответ:
.
Что касается сокращения алгебраических дробей, имеющих дробные числовые коэффициенты в числителе и знаменателе, то можно поступать двояко: либо отдельно выполнять деление этих дробных коэффициентов, либо предварительно избавляться от дробных коэффициентов, умножив числитель и знаменатель на некоторое натуральное число.
Про последнее преобразование мы говорили в статье приведение алгебраической дроби к новому знаменателю , его можно проводить в силу основного свойства алгебраической дроби. Разберемся с этим на примере.
Пример.
Выполните сокращение дроби .
Решение.
Можно сократить дробь следующим образом: .
А можно было предварительно избавиться от дробных коэффициентов, умножив числитель и знаменатель на знаменателей этих коэффициентов, то есть, на НОК(5, 10)=10 . В этом случае имеем .
Ответ:
.
Можно переходить к алгебраическим дробям общего вида, у которых в числителе и знаменателе могут быть как числа и одночлены, так и многочлены.
При сокращении таких дробей основная проблема заключается в том, что общий множитель числителя и знаменателя далеко не всегда виден. Более того, он не всегда существует. Для того, чтобы найти общий множитель или убедиться в его отсутствии нужно числитель и знаменатель алгебраической дроби разложить на множители.
Пример.
Сократите рациональную дробь .
Решение.
Для этого разложим на множители многочлены в числителе и знаменателе. Начнем с вынесения за скобки: . Очевидно, выражения в скобках можно преобразовать, используя
Основано на их основном свойстве: если числитель и знаменатель дроби разделить на один и тот же ненулевой многочлен, то получится равная ей дробь.
Сокращать можно только множители!
Члены многочленов сокращать нельзя!
Чтобы сократить алгебраическую дробь, многочлены, стоящие в числителе и знаменателе, нужно предварительно разложить на множители.
Рассмотрим примеры сокращения дробей.
В числителе и знаменателе дроби стоят одночлены. Они представляют собой произведение (чисел, переменных и их степеней), множители сокращать можем.
Числа сокращаем на их наибольший общий делитель, то есть на наибольшее число, на которое делится каждое из данных чисел. Для 24 и 36 это — 12. После сокращения от 24 остается 2, от 36 — 3.
Степени сокращаем на степень с наименьшим показателем. Сократить дробь — значит, разделить числитель и знаменатель на один и тот же делитель, а показатели вычитаем.
a² и a⁷ сокращаем на a². При этом в числителе от a² остается единица (1 пишем только в том случае, когда кроме нее после сокращения других множителей не осталось. От 24 осталась 2, поэтому 1, оставшуюся от a², не пишем). От a⁷ после сокращения остается a⁵.
b и b сокращаем на b, полученные в результате единицы не пишем.
c³º и с⁵ сокращаем на с⁵. От c³º остается c²⁵, от с⁵ — единица (ее не пишем). Таким образом,
Числитель и знаменатель данной алгебраической дроби — многочлены. Сокращать члены многочленов нельзя! (нельзя сократить, к примеру, 8x² и 2x!). Чтобы сократить эту дробь, надо . В числителе есть общий множитель 4x. Выносим его за скобки:
И в числителе, и в знаменателе есть одинаковый множитель (2x-3). Сокращаем дробь на этот множитель. В числителе получили 4x, в знаменателе — 1.
По 1 свойству алгебраических дробей, дробь равна 4x.
Сокращать можно только множители (сократить данную дробь на 25x² нельзя!). Поэтому многочлены, стоящие в числителе и знаменателе дроби, нужно разложить на множители.
В числителе — полный квадрат суммы, в знаменателе — разность квадратов. После разложения по формулам сокращенного умножения получаем:
Сокращаем дробь на (5x+1) (для этого в числителе зачеркнем двойку в показатель степени, от (5x+1)² при этом останется (5x+1)):
В числителе есть общий множитель 2, вынесем его за скобки. В знаменателе — формула разности кубов:
В результате разложения в числителе и знаменателе получили одинаковый множитель (9+3a+a²). Сокращаем дробь на него:
Многочлен в числителе состоит из 4 слагаемых. первое слагаемое со вторым, третье — с четвертым и выносим из первых скобок общий множитель x². Знаменатель раскладываем по формуле суммы кубов:
В числителе вынесем за скобки общий множитель (x+2):
Сокращаем дробь на (x+2):
Данная статья продолжает тему преобразования алгебраических дробей: рассмотрим такое действие как сокращение алгебраических дробей.
Дадим определение самому термину, сформулируем правило сокращения и разберем практические примеры.
Yandex.RTB R-A-339285-1
Смысл сокращения алгебраической дроби
В материалах об обыкновенной дроби мы рассматривали ее сокращение. Мы определили сокращение обыкновенной дроби как деление ее числителя и знаменателя на общий множитель.
Сокращение алгебраической дроби представляет собой аналогичное действие.
Определение 1
Сокращение алгебраической дроби – это деление ее числителя и знаменателя на общий множитель. При этом, в отличие от сокращения обыкновенной дроби (общим знаменателем может быть только число), общим множителем числителя и знаменателя алгебраической дроби может служить многочлен, в частности, одночлен или число.
К примеру, алгебраическая дробь 3 · x 2 + 6 · x · y 6 · x 3 · y + 12 · x 2 · y 2 может быть сокращена на число 3 , в итоге получим: x 2 + 2 · x · y 6 · x 3 · y + 12 · x 2 · y 2 . Эту же дробь мы можем сократить на переменную х, и это даст нам выражение 3 · x + 6 · y 6 · x 2 · y + 12 · x · y 2 .
Также заданную дробь возможно сократить на одночлен 3 · x или любой из многочленов x + 2 · y , 3 · x + 6 · y , x 2 + 2 · x · y или 3 · x 2 + 6 · x · y .
Конечной целью сокращения алгебраической дроби является дробь более простого вида, в лучшем случае – несократимая дробь.
Все ли алгебраические дроби подлежат сокращению?
Опять же из материалов об обыкновенных дробях мы знаем, что существуют сократимые и несократимые дроби. Несократимые – это дроби, не имеющие общих множителей числителя и знаменателя, отличных от 1 .
С алгебраическими дробями все так же: они могут иметь общие множители числителя и знаменателя, могут и не иметь. Наличие общих множителей позволяет упростить исходную дробь посредством сокращения. Когда общих множителей нет, оптимизировать заданную дробь способом сокращения невозможно.
В общих случаях по заданному виду дроби довольно сложно понять, подлежит ли она сокращению. Конечно, в некоторых случаях наличие общего множителя числителя и знаменателя очевидно.
Например, в алгебраической дроби 3 · x 2 3 · y совершенно понятно, что общим множителем является число 3 .
В дроби — x · y 5 · x · y · z 3 также мы сразу понимаем, что сократить ее возможно на х, или y , или на х · y . И все же гораздо чаще встречаются примеры алгебраических дробей, когда общий множитель числителя и знаменателя не так просто увидеть, а еще чаще – он попросту отсутствует.
Например, дробь x 3 — 1 x 2 — 1 мы можем сократить на х — 1 , при этом указанный общий множитель в записи отсутствует. А вот дробь x 3 — x 2 + x — 1 x 3 + x 2 + 4 · x + 4 подвергнуть действию сокращения невозможно, поскольку числитель и знаменатель не имеют общего множителя.
Таким образом, вопрос выяснения сократимости алгебраической дроби не так прост, и зачастую проще работать с дробью заданного вида, чем пытаться выяснить, сократима ли она. При этом имеют место такие преобразования, которые в частных случаях позволяют определить общий множитель числителя и знаменателя или сделать вывод о несократимости дроби.
Разберем детально этот вопрос в следующем пункте статьи.
Правило сокращения алгебраических дробей
Правило сокращения алгебраических дробей состоит из двух последовательных действий:
- нахождение общих множителей числителя и знаменателя;
- в случае нахождения таковых осуществление непосредственно действия сокращения дроби.
Самым удобным методом отыскания общих знаменателей является разложение на множители многочленов, имеющихся в числителе и знаменателе заданной алгебраической дроби. Это позволяет сразу наглядно увидеть наличие или отсутствие общих множителей.
Само действие сокращения алгебраической дроби базируется на основном свойстве алгебраической дроби, выражаемой равенством undefined , где a , b , c – некие многочлены, причем b и c – ненулевые. Первым шагом дробь приводится к виду a · c b · c , в котором мы сразу замечаем общий множитель c . Вторым шагом – выполняем сокращение, т.е. переход к дроби вида a b .
Характерные примеры
Несмотря на некоторую очевидность, уточним про частный случай, когда числитель и знаменатель алгебраической дроби равны.
Подобные дроби тождественно равны 1 на всей ОДЗ переменных этой дроби:
5 5 = 1 ; — 2 3 — 2 3 = 1 ; x x = 1 ; — 3 , 2 · x 3 — 3 , 2 · x 3 = 1 ; 1 2 · x — x 2 · y 1 2 · x — x 2 · y ;
Поскольку обыкновенные дроби являются частным случаем алгебраических дробей, напомним, как осуществляется их сокращение. Натуральные числа, записанные в числителе и знаменателе, раскладываются на простые множители, затем общие множители сокращаются (если таковые имеются).
К примеру, 24 1260 = 2 · 2 · 2 · 3 2 · 2 · 3 · 3 · 5 · 7 = 2 3 · 5 · 7 = 2 105
Произведение простых одинаковых множителей возможно записать как степени, и в процессе сокращения дроби использовать свойство деления степеней с одинаковыми основаниями. Тогда вышеуказанное решение было бы таким:
24 1260 = 2 3 · 3 2 2 · 3 2 · 5 · 7 = 2 3 — 2 3 2 — 1 · 5 · 7 = 2 105
(числитель и знаменатель разделены на общий множитель 2 2 · 3 ). Или для наглядности, опираясь на свойства умножения и деления, решению дадим такой вид:
24 1260 = 2 3 · 3 2 2 · 3 2 · 5 · 7 = 2 3 2 2 · 3 3 2 · 1 5 · 7 = 2 1 · 1 3 · 1 35 = 2 105
По аналогии осуществляется сокращение алгебраических дробей, у которых в числителе и знаменателе имеются одночлены с целыми коэффициентами.
Пример 1
Задана алгебраическая дробь — 27 · a 5 · b 2 · c · z 6 · a 2 · b 2 · c 7 · z . Необходимо произвести ее сокращение.
Решение
Возможно записать числитель и знаменатель заданной дроби как произведение простых множителей и переменных, после чего осуществить сокращение:
27 · a 5 · b 2 · c · z 6 · a 2 · b 2 · c 7 · z = — 3 · 3 · 3 · a · a · a · a · a · b · b · c · z 2 · 3 · a · a · b · b · c · c · c · c · c · c · c · z = = — 3 · 3 · a · a · a 2 · c · c · c · c · c · c = — 9 · a 3 2 · c 6
Однако, более рациональным способом будет запись решения в виде выражения со степенями:
27 · a 5 · b 2 · c · z 6 · a 2 · b 2 · c 7 · z = — 3 3 · a 5 · b 2 · c · z 2 · 3 · a 2 · b 2 · c 7 · z = — 3 3 2 · 3 · a 5 a 2 · b 2 b 2 · c c 7 · z z = = — 3 3 — 1 2 · a 5 — 2 1 · 1 · 1 c 7 — 1 · 1 = · — 3 2 · a 3 2 · c 6 = · — 9 · a 3 2 · c 6 .
Ответ: — 27 · a 5 · b 2 · c · z 6 · a 2 · b 2 · c 7 · z = — 9 · a 3 2 · c 6
Когда в числителе и знаменателе алгебраической дроби имеются дробные числовые коэффициенты, возможно два пути дальнейших действий: или отдельно осуществить деление этих дробных коэффициентов, или предварительно избавиться от дробных коэффициентов, умножив числитель и знаменатель на некое натуральное число.
Последнее преобразование проводится в силу основного свойства алгебраической дроби (про него можно почитать в статье «Приведение алгебраической дроби к новому знаменателю»).
Пример 2
Задана дробь 2 5 · x 0 , 3 · x 3 . Необходимо выполнить ее сокращение.
Решение
Возможно сократить дробь таким образом:
2 5 · x 0 , 3 · x 3 = 2 5 3 10 · x x 3 = 4 3 · 1 x 2 = 4 3 · x 2
Попробуем решить задачу иначе, предварительно избавившись от дробных коэффициентов – умножим числитель и знаменатель на наименьшее общее кратное знаменателей этих коэффициентов, т.е. на НОК (5 , 10) = 10 . Тогда получим:
2 5 · x 0 , 3 · x 3 = 10 · 2 5 · x 10 · 0 , 3 · x 3 = 4 · x 3 · x 3 = 4 3 · x 2 .
Ответ: 2 5 · x 0 , 3 · x 3 = 4 3 · x 2
Когда мы сокращаем алгебраические дроби общего вида, в которых числители и знаменатели могут быть как одночленами, так и многочленами, возможна проблема, когда общий множитель не всегда сразу виден. Или более того, он попросту не существует.
Тогда для определения общего множителя или фиксации факта о его отсутствии числитель и знаменатель алгебраической дроби раскладывают на множители.
Пример 3
Задана рациональная дробь 2 · a 2 · b 2 + 28 · a · b 2 + 98 · b 2 a 2 · b 3 — 49 · b 3 . Необходимо ее сократить.
Решение
Разложим на множители многочлены в числителе и знаменателе. Осуществим вынесение за скобки:
2 · a 2 · b 2 + 28 · a · b 2 + 98 · b 2 a 2 · b 3 — 49 · b 3 = 2 · b 2 · (a 2 + 14 · a + 49) b 3 · (a 2 — 49)
Мы видим, что выражение в скобках возможно преобразовать с использованием формул сокращенного умножения:
2 · b 2 · (a 2 + 14 · a + 49) b 3 · (a 2 — 49) = 2 · b 2 · (a + 7) 2 b 3 · (a — 7) · (a + 7)
Хорошо заметно, что возможно сократить дробь на общий множитель b 2 · (a + 7) . Произведем сокращение:
2 · b 2 · (a + 7) 2 b 3 · (a — 7) · (a + 7) = 2 · (a + 7) b · (a — 7) = 2 · a + 14 a · b — 7 · b
Краткое решение без пояснений запишем как цепочку равенств:
2 · a 2 · b 2 + 28 · a · b 2 + 98 · b 2 a 2 · b 3 — 49 · b 3 = 2 · b 2 · (a 2 + 14 a + 49) b 3 · (a 2 — 49) = = 2 · b 2 · (a + 7) 2 b 3 · (a — 7) · (a + 7) = 2 · (a + 7) b · (a — 7) = 2 · a + 14 a · b — 7 · b
Ответ: 2 · a 2 · b 2 + 28 · a · b 2 + 98 · b 2 a 2 · b 3 — 49 · b 3 = 2 · a + 14 a · b — 7 · b .
Случается, что общие множители скрыты числовыми коэффициентами. Тогда при сокращении дробей оптимально числовые множители при старших степенях числителя и знаменателя вынести за скобки.
Пример 4
Дана алгебраическая дробь 1 5 · x — 2 7 · x 3 · y 5 · x 2 · y — 3 1 2 . Необходимо осуществить ее сокращение, если это возможно.
Решение
На первый взгляд у числителя и знаменателя не существует общего знаменателя. Однако, попробуем преобразовать заданную дробь. Вынесем за скобки множитель х в числителе:
1 5 · x — 2 7 · x 3 · y 5 · x 2 · y — 3 1 2 = x · 1 5 — 2 7 · x 2 · y 5 · x 2 · y — 3 1 2
Теперь видна некая схожесть выражения в скобках и выражения в знаменателе за счет x 2 · y . Вынесем за скобку числовые коэффициенты при старших степенях этих многочленов:
x · 1 5 — 2 7 · x 2 · y 5 · x 2 · y — 3 1 2 = x · — 2 7 · — 7 2 · 1 5 + x 2 · y 5 · x 2 · y — 1 5 · 3 1 2 = = — 2 7 · x · — 7 10 + x 2 · y 5 · x 2 · y — 7 10
Теперь становится виден общий множитель, осуществляем сокращение:
2 7 · x · — 7 10 + x 2 · y 5 · x 2 · y — 7 10 = — 2 7 · x 5 = — 2 35 · x
Ответ: 1 5 · x — 2 7 · x 3 · y 5 · x 2 · y — 3 1 2 = — 2 35 · x .
Сделаем акцент на том, что навык сокращения рациональных дробей зависит от умения раскладывать многочлены на множители.
Если вы заметили ошибку в тексте, пожалуйста, выделите её и нажмите Ctrl+Enter
На первый взгляд алгебраические дроби кажутся очень сложными, и неподготовленный учащийся может подумать, что с ними невозможно ничего сделать. Нагромождение переменных, чисел и даже степеней навевает страх. Тем не менее, для сокращения обычных (например, 15/25) и алгебраических дробей используются одни и те же правила.
Шаги
Сокращение дробей
Ознакомьтесь с действиями с простыми дробями. Операции с обычными и алгебраическими дробями аналогичны. К примеру, возьмем дробь 15/35. Чтобы упростить эту дробь, следует найти общий делитель . Оба числа делятся на пять, поэтому мы можем выделить 5 в числителе и знаменателе:
15→
5 * 335 → 5 * 7
Теперь можно сократить общие множители , то есть вычеркнуть 5 в числителе и знаменателе.
В результате получаем упрощенную дробь 3/7 . В алгебраических выражениях общие множители выделяются точно так же, как и в обычных. В предыдущем примере мы смогли легко выделить 5 из 15 — тот же принцип применим и к более сложным выражениям, таким как 15x – 5. Найдем общий множитель. В данном случае это будет 5, так как оба члена (15x и -5) делятся на 5. Как и ранее, выделим общий множитель и перенесем его влево .
15x – 5 = 5 * (3x – 1)
Чтобы проверить, все ли правильно, достаточно умножить на 5 стоящее в скобках выражение — в результате получатся те же числа, что были сначала. Сложные члены можно выделять точно так же, как и простые. Для алгебраических дробей применимы те же принципы, что и для обычных. Это наиболее простой способ сократить дробь. Рассмотрим следующую дробь:
(x+2)(x-3)(x+2)(x+10)
Отметим, что и в числителе (сверху), и в знаменателе (снизу) присутствует член (x+2), поэтому его можно сократить так же, как общий множитель 5 в дроби 15/35:
(x+2) (x-3)→
(x-3)(x+2) (x+10) → (x+10)
В результате получаем упрощенное выражение: (x-3)/(x+10)
Сокращение алгебраических дробей
Найдите общий множитель в числителе, то есть в верхней части дроби.
При сокращении алгебраической дроби первым делом следует упростить обе ее части. Начните с числителя и постарайтесь разложить его на как можно большее число множителей. Рассмотрим в данном разделе следующую дробь:
15x+6
Начнем с числителя: 9x – 3. Для 9x и -3 общим множителем является число 3. Вынесем 3 за скобки, как это делается с обычными числами: 3 * (3x-1). В результате данного преобразования получится следующая дробь:
3(3x-1)15x+6
Найдите общий множитель в числителе. Продолжим выполнение приведенного выше примера и выпишем знаменатель: 15x+6. Как и раньше, найдем, на какое число делятся обе части. И в этом случае общим множителем является 3, так что можно записать: 3 * (5x +2). Перепишем дробь в следующем виде:
3(3x-1)3(5x+2)
Сократите одинаковые члены. На этом шаге можно упростить дробь. Сократите одинаковые члены в числителе и знаменателе.
В нашем примере это число 3.
→
(3x-1)3 (5x+2) → (5x+2)
Определите, что дробь имеет простейший вид. Дробь полностью упрощена в том случае, когда в числителе и знаменателе не осталось общих множителей. Учтите, что нельзя сокращать те члены, которые стоят внутри скобок — в приведенном примере нет возможности выделить x из 3x и 5x, поскольку полными членами являются (3x -1) и (5x + 2). Таким образом, дробь не поддается дальнейшему упрощению, и окончательный ответ выглядит следующим образом:
(3x-1) (5x+2)
Потренируйтесь сокращать дроби самостоятельно. Лучший способ усвоить метод заключается в самостоятельном решении задач. Под примерами приведены правильные ответы.
4(x+2)(x-13)(4x+8)
Ответ: (x=13)
2x 2 -x5x
Ответ: (2x-1)/5
Специальные приемы
Вынесите отрицательный знак за пределы дроби.
Предположим, дана следующая дробь:
5(4-x)
Заметьте, что (x-4) и (4-x) “почти” идентичны, но их нельзя сократить сразу, поскольку они “перевернуты”. Тем не менее, (x — 4) можно записать как -1 * (4 — x), подобно тому как (4 + 2x) можно переписать в виде 2 * (2 + x). Это называется “переменой знака”.
-1 * 3(4-x)5(4-x)
Теперь можно сократить одинаковые члены (4-x):
-1 * 3 (4-x)5 (4-x)
Итак, получаем окончательный ответ: -3/5 . Научитесь распознавать разницу квадратов. Разница квадратов — это когда квадрат одного числа вычитается из квадрата другого числа, как в выражении (a 2 — b 2). Разницу полных квадратов всегда можно разложить на две части — сумму и разницу соответствующих квадратных корней. Тогда выражение примет следующий вид:
A 2 — b 2 = (a+b)(a-b)
Этот прием очень полезен при поиске общих членов в алгебраических дробях.
- Проверьте, правильно ли вы разложили то или иное выражение на множители. Для этого перемножьте множители — в результате должно получиться то же самое выражение.
- Чтобы полностью упростить дробь, всегда выделяйте наибольшие множители.
Умножение и деление алгебраических дробей 8 класс онлайн-подготовка на Ростелеком Лицей
Тема: Алгебраические дроби. Арифметические операции над алгебраическими дробями
Урок: Умножение и деление алгебраических дробей
1. Правила умножения и деления обыкновенных и алгебраических дробей
Правила умножения и деления алгебраических дробей абсолютно аналогичны правилам умножения и деления обыкновенных дробей. Напомним их:
То есть, для того, чтобы умножить дроби, необходимо умножить их числители (это будет числитель произведения), и умножить их знаменатели (это будет знаменатель произведения).
Деление на дробь – это умножение на перевёрнутую дробь, то есть, для того, чтобы разделить две дроби, необходимо первую из них (делимое) умножить на перевёрнутую вторую (делитель).
2. Частные случаи применения правил умножения и деления дробей
Несмотря на простоту данных правил, многие при решении примеров по данной теме допускают ошибки в ряде частных случаев. Рассмотрим подробнее эти частные случаи:
Во всех этих правилах мы пользовались следующим фактом: .
3. Примеры умножения и деления обыкновенных дробей
Решим несколько примеров на умножение и деление обыкновенных дробей, чтобы вспомнить, как пользоваться указанными правилами.
Пример 1
Примечание: при сокращении дробей мы пользовались разложением числа на простые множители. Напомним, что простыми числами называются такие натуральные числа, которые делятся только на и на само себя.
Остальные числа называются составными. Число не относится ни к простым, ни к составным. Примеры простых чисел: .
Пример 2
Рассмотрим теперь один из частных случаев с обыкновенными дробями.
Пример 3
Как видим, умножение и деление обыкновенных дробей, в случае правильного применения правил, не является сложным.
4. Примеры умножения и деления алгебраических дробей (простые случаи)
Рассмотрим умножение и деление алгебраических дробей.
Пример 4
Пример 5
Отметим, что сокращать дроби после умножения можно и даже нужно по тем же правилам, которые мы до этого рассматривали на уроках, посвящённых сокращению алгебраических дробей. Рассмотрим несколько простых примеров на частные случаи.
Пример 6
Пример 7
Рассмотрим теперь несколько более сложных примеров на умножение и деление дробей.
Пример 8
Пример 9
Пример 10
Пример 11
Пример 12
Пример 13
5. Примеры умножения и деления алгебраических дробей (сложные случаи)
До этого мы рассматривали дроби, в которых и числитель, и знаменатель являлись одночленами. Однако в ряде случаев необходимо перемножить или поделить дроби, числители и знаменатели которых являются многочленами. В этом случае правила остаются такими же, а для сокращения необходимо использовать формулы сокращённого умножения и вынесение за скобки.
Пример 14
Пример 15
Пример 16
Пример 17
Пример 18
На данном уроке мы рассмотрели правила умножения и деления алгебраических дробей, а также применение этих правил для конкретных примеров.
Список литературы
1. Башмаков М.И. Алгебра 8 класс. – М.: Просвещение, 2004.
2. Дорофеев Г.В., Суворова С.Б., Бунимович Е.А. и др. Алгебра 8. – 5-е изд. – М.: Просвещение, 2010.
3. Никольский С.М., Потапов М.А., Решетников Н.Н., Шевкин А.В. Алгебра 8 класс. Учебник для общеобразовательных учреждений. – М.: Просвещение, 2006.
Дополнительные рекомендованные ссылки на ресурсы сети Интернет
1. Портал для всей семьи (Источник).
2. Фестиваль педагогических идей «Открытый урок» (Источник).
3. Вся элементарная математика (Источник).
Домашнее задание
1. №№73-77, 80. Дорофеев Г.В., Суворова С.Б., Бунимович Е.А. и др. Алгебра 8. – 5-е изд. – М.: Просвещение, 2010.
2. Выполнить умножение: а), б)
3. Выполнить деление: а) , б)
4. Упростить выражение:
Как читается третье свойство алгебраических дробей. Правила алгебраической дроби.
Основное свойство алгебраической дробиИз курса алгебры школьной программы переходим к конкретике. В этой статье мы подробно изучим особый вид рациональных выражений – рациональные дроби , а также разберем, какие характерные тождественные преобразования рациональных дробей имеют место.
Сразу отметим, что рациональные дроби в том смысле, в котором мы их определим ниже, в некоторых учебниках алгебры называют алгебраическими дробями. То есть, в этой статье мы под рациональными и алгебраическими дробями будем понимать одно и то же.
По обыкновению начнем с определения и примеров. Дальше поговорим про приведение рациональной дроби к новому знаменателю и о перемене знаков у членов дроби. После этого разберем, как выполняется сокращение дробей. Наконец, остановимся на представлении рациональной дроби в виде суммы нескольких дробей. Всю информацию будем снабжать примерами с подробными описаниями решений.
Навигация по странице.
Определение и примеры рациональных дробей
Рациональные дроби изучаются на уроках алгебры в 8 классе.
Мы будем использовать определение рациональной дроби, которое дается в учебнике алгебры для 8 классов Ю. Н. Макарычева и др.
В данном определении не уточняется, должны ли многочлены в числителе и знаменателе рациональной дроби быть многочленами стандартного вида или нет. Поэтому, будем считать, что в записях рациональных дробей могут содержаться как многочлены стандартного вида, так и не стандартного.
Приведем несколько примеров рациональных дробей . Так , x/8 и — рациональные дроби. А дроби и не подходят под озвученное определение рациональной дроби, так как в первой из них в числителе стоит не многочлен, а во второй и в числителе и в знаменателе находятся выражения, не являющиеся многочленами.
Преобразование числителя и знаменателя рациональной дроби
Числитель и знаменатель любой дроби представляют собой самодостаточные математические выражения, в случае рациональных дробей – это многочлены, в частном случае – одночлены и числа. Поэтому, с числителем и знаменателем рациональной дроби, как и с любым выражением, можно проводить тождественные преобразования.
Иными словами, выражение в числителе рациональной дроби можно заменять тождественно равным ему выражением, как и знаменатель.
В числителе и знаменателе рациональной дроби можно выполнять тождественные преобразования . Например, в числителе можно провести группировку и приведение подобных слагаемых, а в знаменателе – произведение нескольких чисел заменить его значением. А так как числитель и знаменатель рациональной дроби есть многочлены, то с ними можно выполнять и характерные для многочленов преобразования, например, приведение к стандартному виду или представление в виде произведения.
Для наглядности рассмотрим решения нескольких примеров.
Пример.
Преобразуйте рациональную дробь так, чтобы в числителе оказался многочлен стандартного вида, а в знаменателе – произведение многочленов.
Решение.
Приведение рациональных дробей к новому знаменателю в основном применяется при сложении и вычитании рациональных дробей .
Изменение знаков перед дробью, а также в ее числителе и знаменателе
Основное свойство дроби можно использовать для смены знаков у членов дроби.
Действительно, умножение числителя и знаменателя рациональной дроби на -1
равносильно смене их знаков, а в результате получится дробь, тождественно равная данной. К такому преобразованию приходится достаточно часто обращаться при работе с рациональными дробями.
Таким образом, если одновременно изменить знаки у числителя и знаменателя дроби, то получится дробь, равная исходной. Этому утверждению отвечает равенство .
Приведем пример. Рациональную дробь можно заменить тождественно равной ей дробью с измененными знаками числителя и знаменателя вида .
С дробями можно провести еще одно тождественное преобразование, при котором меняется знак либо в числителе, либо в знаменателе. Озвучим соответствующее правило. Если заменить знак дроби вместе со знаком числителя или знаменателя, то получится дробь, тождественно равная исходной. Записанному утверждению соответствуют равенства и .
Доказать эти равенства не составляет труда. В основе доказательства лежат свойства умножения чисел.
Докажем первое из них: . С помощью аналогичных преобразований доказывается и равенство .
Например, дробь можно заменить выражением или .
В заключение этого пункта приведем еще два полезных равенства и . То есть, если изменить знак только у числителя или только у знаменателя, то дробь изменит свой знак. Например, и .
Рассмотренные преобразования, позволяющие изменять знак у членов дроби, часто применяются при преобразовании дробно рациональных выражений.
Сокращение рациональных дробей
В основе следующего преобразования рациональных дробей, имеющего название сокращение рациональных дробей, лежит все тоже основное свойство дроби. Этому преобразованию соответствует равенство , где a , b и c – некоторые многочлены, причем b и c — ненулевые.
Из приведенного равенства становится понятно, что сокращение рациональной дроби подразумевает избавление от общего множителя в ее числителе и знаменателе.
Пример.
Сократите рациональную дробь .
Решение.
Сразу виден общий множитель 2 , выполним сокращение на него (при записи общие множители, на которые сокращают, удобно зачеркивать). Имеем . Так как x 2 =x·x и y 7 =y 3 ·y 4 (при необходимости смотрите ), то понятно, что x является общим множителем числителя и знаменателя полученной дроби, как и y 3 . Проведем сокращение на эти множители: . На этом сокращение завершено.
Выше мы выполняли сокращение рациональной дроби последовательно. А можно было выполнить сокращение в один шаг, сразу сократив дробь на 2·x·y 3 . В этом случае решение выглядело бы так: .
Ответ:
.
При сокращении рациональных дробей основная проблема заключается в том, что общий множитель числителя и знаменателя далеко не всегда виден. Более того, он не всегда существует. Для того, чтобы найти общий множитель или убедиться в его отсутствии нужно числитель и знаменатель рациональной дроби разложить на множители. Если общего множителя нет, то исходная рациональная дробь не нуждается в сокращении, в противном случае – проводится сокращение.
В процессе сокращения рациональных дробей могут возникать различные нюансы. Основные тонкости на примерах и в деталях разобраны в статье сокращение алгебраических дробей .
Завершая разговор о сокращении рациональных дробей, отметим, что это преобразование является тождественным, а основная сложность в его проведении заключается в разложении на множители многочленов в числителе и знаменателе.
Представление рациональной дроби в виде суммы дробей
Достаточно специфическим, но в некоторых случаях очень полезным, оказывается преобразование рациональной дроби, заключающееся в ее представлении в виде суммы нескольких дробей, либо сумме целого выражения и дроби.
Рациональную дробь, в числителе которой находится многочлен, представляющий собой сумму нескольких одночленов, всегда можно записать как сумму дробей с одинаковыми знаменателями, в числителях которых находятся соответствующие одночлены. Например, . Такое представление объясняется правилом сложения и вычитания алгебраических дробей с одинаковыми знаменателями .
Вообще, любую рациональную дробь можно представить в виде суммы дробей множеством различных способов. Например, дробь a/b можно представить как сумму двух дробей – произвольной дроби c/d и дроби, равной разности дробей a/b и c/d . Это утверждение справедливо, так как имеет место равенство . К примеру, рациональную дробь можно представить в виде суммы дробей различными способами: Представим исходную дробь в виде суммы целого выражения и дроби. Выполнив деление числителя на знаменатель столбиком, мы получим равенство . Значение выражение n 3 +4 при любом целом n является целым числом. А значение дроби является целым числом тогда и только тогда, когда ее знаменатель равен 1 , −1 , 3 или −3 . Этим значениям отвечают значения n=3 , n=1 , n=5 и n=−1 соответственно.
Ответ:
−1 , 1 , 3 , 5 .
Список литературы.
- Алгебра: учеб. для 8 кл. общеобразоват. учреждений / [Ю. Н. Макарычев, Н. Г. Миндюк, К. И. Нешков, С. Б. Суворова]; под ред.
С. А. Теляковского. — 16-е изд. — М. : Просвещение, 2008. — 271 с. : ил. — ISBN 978-5-09-019243-9. - Мордкович А. Г. Алгебра. 7 класс. В 2 ч. Ч. 1. Учебник для учащихся общеобразовательных учреждений / А. Г. Мордкович. — 13-е изд., испр. — М.: Мнемозина, 2009. — 160 с.: ил. ISBN 978-5-346-01198-9.
- Мордкович А. Г. Алгебра. 8 класс. В 2 ч. Ч. 1. Учебник для учащихся общеобразовательных учреждений / А. Г. Мордкович. — 11-е изд., стер. — М.: Мнемозина, 2009. — 215 с.: ил. ISBN 978-5-346-01155-2.
- Гусев В. А., Мордкович А. Г. Математика (пособие для поступающих в техникумы): Учеб. пособие.- М.; Высш. шк., 1984.-351 с., ил.
Уравнения, содержащие переменную в знаменателе можно решать двумя способами:
Приведя дроби к общему знаменателю
Используя основное свойство пропорции
Вне зависимости от выбранного способа необходимо после нахождения корней уравнения выбрать из найденных допустимые значения, т.е те, которые не обращают знаменатель в $0$.
1 способ. Приведение дробей к общему знаменателю.
Пример 1
$\frac{2x+3}{2x-1}=\frac{x-5}{x+3}$
Решение:
1.Перенесем дробь из правой части уравнения в левую
\[\frac{2x+3}{2x-1}-\frac{x-5}{x+3}=0\]
Для того чтобы правильно это сделать, вспомним, что при перенесении элементов в другую часть уравнения меняется знак перед выражениями на противоположный. Значит, если в правой части перед дробью был знак «+», то в левой перед ней будет знак «-».Тогда в левой части получим разность дробей.
2.Теперь отметим что у дробей разные знаменатели, значит для того, чтобы составить разность необходимо привести дроби к общему знаменателю. Общим знаменателем будет произведение многочленов, стоящих в знаменателях исходных дробей: $(2x-1)(x+3)$
Для того чтобы получить тождественное выражение, числитель и знаменатель первой дроби необходимо умножить на многочлен $(x+3)$, а второй на многочлен $(2x-1)$.
\[\frac{(2x+3)(х+3)}{(2x-1)(х+3)}-\frac{(x-5)(2х-1)}{(x+3)(2х-1)}=0\]
Выполним преобразование в числителе первой дроби-произведем умножение многочленов.
2+11х-5=20х+4$
Тогда дробь примет вид
\[\frac{{\rm 20х+4}}{(2x-1)(х+3)}=0\]
3.Дробь равна $0$, если ее числитель равен 0. Поэтому мы приравниваем числитель дроби к $0$.
\[{\rm 20х+4=0}\]
Решим линейное уравнение:
4.Проведем выборку корней. Это значит, что необходимо проверить, не обращаются ли знаменатели исходных дробей в $0$ при найденных корнях.
Поставим условие, что знаменатели не равны $0$
х$\ne 0,5$ х$\ne -3$
Значит допустимы все значения переменных, кроме $-3$ и $0,5$.
Найденный нами корень является допустимым значением, значит его смело можно считать корнем уравнения. Если бы найденный корень был бы не допустимым значением, то такой корень был бы посторонним и,конечно, не был бы включен в ответ.
Ответ: $-0,2.$
Теперь можем составить алгоритм решения уравнения, которое содержит переменную в знаменателе
Алгоритм решения уравнения, которое содержит переменную в знаменателе
Перенести все элементы из правой части уравнения в левую.
Для получения тождественного уравнения необходимо изменить все знаки, стоящие перед выражениями в правой части на противоположные
Если в левой части мы получим выражение с разными знаменателями, то приводим их к общему, используя основное свойство дроби. Выполнить преобразования, используя тождественные преобразования и получить итоговую дробь равную $0$.
Приравнять числитель к $0$ и найти корни получившегося уравнения.
Проведем выборку корней, т.е. найти допустимые значения переменных, которые не обращают знаменатель в $0$.
2 способ. Используем основное свойство пропорции
Основным свойством пропорции является то, что произведение крайних членов пропорции равно произведению средних членов.
Пример 2
Используем данное свойство для решения этого задания
\[\frac{2x+3}{2x-1}=\frac{x-5}{x+3}\]
1.Найдем и приравняем произведение крайних и средних членов пропорции.
$\left(2x+3\right)\cdot(\ x+3)=\left(x-5\right)\cdot(2x-1)$
\[{2х}^2+3х+6х+9={2х}^2-10х-х+5\]
Решив полученное уравнение, мы найдем корни исходного
2.
Найдем допустимые значения переменной.
Из предыдущего решения (1 способ) мы уже нашли, что допустимы любые значения, кроме $-3$ и $0,5$.
Тогда, установив что найденный корень является допустимым значением, мы выяснили, что $-0,2$ будет являться корнем.
Гипермаркет знаний>>Математика>>Математика 8 класс>>Математика:Умножение и деление алгебраических дробей. Возведение алгебраической дроби в степень
Умножение и деление алгебраических дробей. Возведение алгебраической дроби в степень
Умножение алгебраических дробей осуществляется по тому же правилу, что и умножение обыкновенных дробей :
Аналогично обстоит дело с делением алгебраических дробей, с возведением алгебраической дроби в натуральную степень. Правило деления выглядит так:
а правило возведения в степень
Прежде чем выполнять умножение и деление алгебраических дробей, полезно их числители и знаменатели разложить на множители — это облегчит сокращение той алгебраической дроби, которая получится в результате умножения или деления.
Пример 1. Выполнить действия:
Воспользуемся тем, что (b — а) 2 = (а — b) 2 . Получим
Мы учли, что в результате деления а — b на b — а получится -1.
Впрочем, знак «-» в данном случае лучше переместить в знаменатель:
Пример З. Выполнить действия:
Мордкович А. Г., Алгебра . 8 кл.: Учеб. для общеобразоват. учреждений.- 3-е изд., доработ. — М.: Мнемозина, 2001. — 223 с: ил.
Математика за 8 класс бесплатно скачать, планы конспектов уроков, готовимся к школе онлайн
Если у вас есть исправления или предложения к данному уроку, напишите нам.
Если вы хотите увидеть другие корректировки и пожелания к урокам, смотрите здесь — Образовательный форум.
Алгебраические дроби. Сокращение алгебраических дробей
Прежде чем перейти к изучению алгебраических дробей рекомендуем вспомнить, как работать с обыкновенными дробями.
Любая дробь, в которой есть буквенный множитель, называется алгебраической дробью.
Примеры алгебраических дробей .
Как и у обыкновенной дроби, в алгебраической дроби есть числитель (наверху) и знаменатель (внизу).
Сокращение алгебраической дроби
Алгебраическую дробь можно сокращать . При сокращении пользуются правилами сокращения обыкновенных дробей.
Напоминаем, что при сокращении обыкновенной дроби мы делили и числитель, и знаменатель на одно и тоже число.
Алгебраическую дробь сокращают таким же образом, но только числитель и знаменатель делят на один и тот же многочлен.
Рассмотрим пример сокращения алгебраической дроби .
Определим наименьшую степень, в которой стоит одночлен « a » . Наименьшая степень для одночлена « a » находится в знаменателе — это вторая степень.
Разделим, и числитель, и знаменатель на « a 2 ». При делении одночленов используем свойство степени частного.
Напоминаем, что любая буква или число в нулевой степени — это единица.
Нет необходимости каждый раз подробно записывать, на что сокращали алгебраическую дробь.
Достаточно держать в уме степень, на которую сокращали, и записывать только результат.
Краткая запись сокращения алгебраической дроби выглядит следующим образом.
Сокращать можно только одинаковые буквенные множители.
Нельзя сокращать
Можно сокращать
Другие примеры сокращения алгебраических дробей.
Как сократить дробь с многочленами
Рассмотрим другой пример алгебраической дроби. Требуется сократить алгебраическую дробь, у которой в числителе стоит многочлен.
Сокращать многочлен в скобках можно только с точно таким же многочленом в скобках!
Ни в коем случае нельзя сокращать часть многочлена внутри скобок!
Определить, где заканчивается многочлен, очень просто. Между многочленами может быть только знак умножения. Весь многочлен находится внутри скобок.
После того, как мы определили многочлены алгебраической дроби, сократим многочлен « (m − n) » в числителе с многочленом « (m − n) » в знаменателе.
Примеры сокращения алгебраических дробей с многочленами.
Вынесение общего множителя при сокращении дробей
Чтобы в алгебраических дробях появились одинаковые многочлены иногда нужно вынести общий множитель за скобки.
В таком виде сократить алгебраическую дробь нельзя, так как многочлен
« (3f + k) » можно сократить только со многочленом « (3f + k) ».
Поэтому, чтобы в числителе получить « (3f + k) », вынесем общий множитель « 5 ».
Сокращение дробей с помощью формул сокращенного умножения
В других примерах для сокращения алгебраических дробей требуется
применение формул сокращенного умножения.
В первоначальном виде сократить алгебраическую дробь нельзя, так как нет одинаковых многочленов.
Но если применить формулу разности квадратов для многочлена « (a 2 − b 2) », то одинаковые многочлены появятся.
Другие примеры сокращения алгебраических дробей с помощью формул сокращенного умножения.
Умножение алгебраических дробей
При умножении алгебраических дробей используют правила умножения обыкновенных дробей.
Правило умножения алгебраических дробей
При умножении алгебраических дробей
числитель умножается на числитель, а знаменатель — на знаменатель.
Рассмотрим пример умножения алгебраических дробей .
При сокращении алгебраических дробей используют правила сокращения алгебраических дробей.
Рассмотрим еще один пример умножения алгебраических дробей, которые содержат многочлены и в числителе, и в знаменателе.
При умножении алгебраических дробей, которые содержат многочлены и в числителе, и в знаменателе, заключайте многочлены в скобки целиком.
Неправильно
Как умножить алгебраическую дробь на одночлен (букву)
Рассмотрим пример умножения алгебраической дроби на одночлен.
Представим одночлен « 21z 5 » как алгебраическую дробь со знаменателем « 1 ».
Это можно сделать, так как при делении на « 1 » получается тот же самый одночлен.
При умножении алгебраической дроби не забывайте использовать правило знаков.
Рассмотрим пример умножения двух отрицательных алгебраических дробей.
Перед тем как перемножить алгебраические дроби, определим итоговый знак по правилу знаков: « минус на минус дает плюс ».
Значит, итоговым знаком произведения будет знак « + ».
Методическая разработка по теме «Алгебраические дроби». 7-й класс
Разделы: Математика
Данный урок проводился в конце изучения темы “Алгебраические дроби” с целью повторения и закрепления знаний основных алгоритмов преобразований и действий с алгебраическими дробями.
Тема методической разработки.
Методика организации урока обобщения и систематизации знаний в соответствии с требованиями новых ФГОС.
Цели методической разработки .
Использование различных видов деятельности учащихся, применение элементов современных педагогических технологий (метапредметной технологии, технологии разноуровневого обучения, проблемно-развивающего обучения, коллективной работы, работы в парах).
Методическое обоснование темы.
Изучение темы “Алгебраические дроби” вызывает затруднения у многих учащихся, особенно, сложение и вычитание алгебраических дробей. Умение выполнять преобразования с алгебраическими дробями предполагает наличие знаний и умений учащихся по предыдущим темам, изучаемым в 7-м классе: “Алгебраические выражения”, “Одночлены и многочлены”, “Разложение многочлена на множители”, а также правил действия с обыкновенными дробями и др.
Решение многих теоретических и практических задач сводится к составлению математических моделей в виде алгебраических выражений, включающих алгебраические дроби. Приобретая опыт работы с такими моделями, учащиеся могут использовать этот опыт при изучении других предметов в школе и в практической жизни.
Сложность данной темы и ее важность для развития метапредметных умений учащихся очевидны и требуют особенно внимательного подхода к ее изучению с учетом введения в школе новых образовательных стандартов.
На изучение темы “Алгебраические дроби” по учебнику Алимова Ш.А по программе выделяется 22 часа. Из них 5 часов – на тему “Совместные действия с алгебраическими дробями”. Рассматриваемый урок рекомендуется проводить в завершение изучения данной темы перед контрольной работой.
Учитывая математическую подготовленность класса, можно варьировать объем самостоятельной работы учащихся, допуская повторение изученных алгоритмов действий с алгебраическими дробями по учебнику.
Тема урока: “Алгебраические дроби”
Тип урока: Урок повторения, систематизации и обобщения знаний, закрепления умений .
Вид урока: Урок-соревнование.
Формы работы на уроке: Коллективная, индивидуальная, в парах, в диалоге.
Цель методическая: Более глубокое усвоение, обобщение и систематизация знаний по теме “Алгебраические дроби” для обеспечения возможности их осмысленного использования учащимися вне урока математики.
- Обучения: Закрепление знаний, отработка навыков использования формул сокращенного умножения, приемов разложения многочленов на множители, правил преобразования, совместных действий над алгебраическими дробями.
Обобщение материала по теме. - Развития: Создание условий, обеспечивающих активную познавательную позицию учеников на уроке путем использования различных видов опроса, самостоятельной работы, межпредметной связи, развитие умений объяснять особенности, закономерности, анализировать, сопоставлять, сравнивать.
- Воспитания: Воспитание самооценки, самоконтроля в ходе самостоятельного выбора уровня сложности заданий. Воспитание общей культуры труда.
- Постановка цели урока и мотивация учебной деятельности учащихся (презентация учителя).
- Воспроизведение и коррекция опорных знаний по теме “Алгебраические дроби”, включающей операции сокращения, сложения и вычитания, умножения и деления алгебраических дробей, а также совместные действия с алгебраическими дробями.
Сопоставление алгоритмов действий с обыкновенными и алгебраическими дробями. Решение заданий различной степени сложности. - Релаксационная пауза (включается в ход урока после повторения темы “Сложение и вычитание алгебраических дробей”).
- Решение задачи, показывающей межпредметную связь.
- Подведение итогов урока.
- Домашнее задание.
- Что такое алгебраическая дробь?
- Какие операции производят с алгебраическими дробями?
- Математическая модель. Что это такое?
- Где используются алгебраические дроби?
- Алгебраические дроби используются не только на уроках математики, но и во многих сферах деятельности человека.
- Для применения алгебраических дробей необходимо научиться правильно оперировать ими: выполнять сокращение, сложение, вычитание, умножение, деление.
- Дать определение алгебраической дроби.
- Как найти ее числовое значение?
- Любое ли значение могут принимать буквы, входящие в алгебраическую дробь?
- В чем заключается основное свойство дроби?
- Что значит сократить обыкновенную дробь?
- Что значит сократить алгебраическую дробь?
- Отличаются ли правила сокращения обыкновенных и алгебраических дробей?
- Какие способы разложения многочлена на множители вы знаете?
- Правило умножения алгебраических дробей (1 балл).
- Правило деления алгебраических дробей (1 балл).
- Правило возведения в степень алгебраической дроби (1 балл).
- Правила умножения, деления, возведения в степень обыкновенных дробей.
- Как устанавливается порядок действий в числовом выражении?
- Как устанавливается порядок действий в алгебраическом выражении?
- Какие способы записи решения при выполнении совместных действий над алгебраическими дробями вы знаете?
Материально-техническое обеспечение урока: карточки с разноуровневыми заданиями, жетоны (синие – 1 балл, зеленые – 2 балла, красные – 3 балла), компьютерная техника (компьютер, мультимедийный проектор, мобильный экран).
1. Вступительное слово учителя
Сегодня на уроке мы повторим большую тему “Алгебраические дроби”, подготовимся к контрольной работе и постараемся понять, зачем нам нужны знания по данной теме.
Наш урок пройдет в виде соревнования за личное первенство. В ходе работы на уроке каждый из вас может “заработать” баллы за правильно выполненные задания, ответы и получить соответствующую оценку.
Давайте попытаемся ответить на вопросы:
Учащиеся отвечают на вопросы.
Правильно оценить ответы нам поможет презентация учителя “В мире алгебраических дробей” (Приложение 1) .
Какой выводы мы можем сделать после просмотра презентации?
Учащиеся высказывают свои мнения.
2. Повторение темы: “Алгебраическая дробь. Сокращение алгебраических дробей”.
2.1. Дифференцированный опрос у доски по карточкам:
2.2. Во время подготовки отвечающих у доски – фронтальный опрос (за каждый правильный ответ – 1 балл):
Учитель подводит итог:
Правила сокращения обыкновенных и алгебраических дробей аналогичны.
2.3. Слушаем, дополняем пояснениями, оцениваем ответы учеников, стоящих у доски.
За правильные дополнительные ответы учащиеся получают жетоны (баллы).
Проверку правильности решения делают учащиеся, работая в парах.
3. Повторение темы: “Сложение и вычитание алгебраических дробей”
3.1. Индивидуальный дифференцированный опрос по карточкам на доске. Выбор сложности задания осуществляется по желанию. Время выполнения – 10 минут.
Ответы появляются на мобильном экране позже (во время проверки).
3.2. Во время подготовки учащихся по карточкам класс пишет диктант. Диктант составлен из выполненных упражнений. Задания предъявляются на мобильном экране (ответы – позже). В решении некоторых из них допущены ошибки. Выполненные задания записать в тетрадь. Если задание выполнено правильно, давать краткий ответ: “Да”, если неправильно: “Нет”. Выделять место появления ошибки (карандашом).
Проверку правильности решения делают учащиеся, работая в парах.
Правильные ответы объявляет учитель.
3.3. Слушаем, дополняем, комментируем ответы учеников, выполняющих задания на доске. Повторяем правила сложения и вычитания алгебраических дробей. За правильные дополнения учащиеся получают жетоны (баллы).
Вопрос: Что вы можете сказать, сравнив правила сложения обыкновенных и алгебраических дробей?
Ответ: Да, правила сложения обыкновенных и алгебраических дробей аналогичны.
4. Релаксационная пауза.
Выполняем упражнения для расслабления глаз. Сядьте прямо. Прикройте глаза ладонями, опустите веки. Попытайтесь вспомнить что-нибудь приятное, например, море, звездное небо, речную гладь. Даже за 15–30 секунд ваши глаза немного отдохнут.
5. Повторение темы: “Умножение и деление алгебраических дробей”.
5.1. Индивидуальный дифференцированный опрос по карточкам:
Примеры под цифрой 1) предложить для решения у доски, под цифрой 2) – самостоятельно, выбирая по желанию один пример из трех.
Слушаем, дополняем, комментируем ответы учеников, выполняющих задания на доске. За правильные дополнения учащиеся получают жетоны (баллы).
5.2. Перекрестный опрос:
Вопрос: Какой вывод вы можете сделать?
Ответ: Да, правила умножения и деления обыкновенных и алгебраических дробей аналогичны.
6. Повторение темы: “Совместные действия над алгебраическими дробями”.
Вопросы для повторения:
Предварительная работа – в парах, затем – фронтальный опрос.
Самостоятельная работа. Выполнить действия:
Время работы ограничено. Выбор заданий – по желанию, после предъявления правильных ответов учащиеся делают самопроверку самостоятельной работы.
7. Задача и учебника № 518 – как пример использования межпредметной связи.
Сопротивление R участка цепи, состоящего из двух параллельно соединенных проводников, вычисляется по формуле:
8. Подведение итогов:
WikiHow работает по принципу вики, а это значит, что многие наши статьи написаны несколькими авторами. При создании этой статьи над ее редактированием и улучшением работали, в том числе анонимно, 9 человек(а).
На первый взгляд алгебраические дроби кажутся очень сложными, и неподготовленный учащийся может подумать, что с ними невозможно ничего сделать. Нагромождение переменных, чисел и даже степеней навевает страх. Тем не менее, для сокращения обычных (например, 15/25) и алгебраических дробей используются одни и те же правила.
Шаги
Сокращение дробей
Ознакомьтесь с действиями с простыми дробями. Операции с обычными и алгебраическими дробями аналогичны. К примеру, возьмем дробь 15/35. Чтобы упростить эту дробь, следует найти общий делитель . Оба числа делятся на пять, поэтому мы можем выделить 5 в числителе и знаменателе:
15 → 5 * 3 35 → 5 * 7Теперь можно сократить общие множители , то есть вычеркнуть 5 в числителе и знаменателе. В результате получаем упрощенную дробь 3/7 . В алгебраических выражениях общие множители выделяются точно так же, как и в обычных. В предыдущем примере мы смогли легко выделить 5 из 15 — тот же принцип применим и к более сложным выражениям, таким как 15x – 5. Найдем общий множитель. В данном случае это будет 5, так как оба члена (15x и -5) делятся на 5. Как и ранее, выделим общий множитель и перенесем его влево .
15x – 5 = 5 * (3x – 1)
Чтобы проверить, все ли правильно, достаточно умножить на 5 стоящее в скобках выражение — в результате получатся те же числа, что были сначала.
Сложные члены можно выделять точно так же, как и простые. Для алгебраических дробей применимы те же принципы, что и для обычных. Это наиболее простой способ сократить дробь. Рассмотрим следующую дробь:
Отметим, что и в числителе (сверху), и в знаменателе (снизу) присутствует член (x+2), поэтому его можно сократить так же, как общий множитель 5 в дроби 15/35:
(x+2) (x-3) → (x-3) (x+2) (x+10) → (x+10)В результате получаем упрощенное выражение: (x-3)/(x+10)
Сокращение алгебраических дробей
Найдите общий множитель в числителе, то есть в верхней части дроби. При сокращении алгебраической дроби первым делом следует упростить обе ее части. Начните с числителя и постарайтесь разложить его на как можно большее число множителей. Рассмотрим в данном разделе следующую дробь:
9x-3 15x+6Начнем с числителя: 9x – 3. Для 9x и -3 общим множителем является число 3. Вынесем 3 за скобки, как это делается с обычными числами: 3 * (3x-1).
В результате данного преобразования получится следующая дробь:
Найдите общий множитель в числителе. Продолжим выполнение приведенного выше примера и выпишем знаменатель: 15x+6. Как и раньше, найдем, на какое число делятся обе части. И в этом случае общим множителем является 3, так что можно записать: 3 * (5x +2). Перепишем дробь в следующем виде:
3(3x-1) 3(5x+2)Сократите одинаковые члены. На этом шаге можно упростить дробь. Сократите одинаковые члены в числителе и знаменателе. В нашем примере это число 3.
3 (3x-1) → (3x-1) 3 (5x+2) → (5x+2)Определите, что дробь имеет простейший вид. Дробь полностью упрощена в том случае, когда в числителе и знаменателе не осталось общих множителей. Учтите, что нельзя сокращать те члены, которые стоят внутри скобок — в приведенном примере нет возможности выделить x из 3x и 5x, поскольку полными членами являются (3x -1) и (5x + 2). Таким образом, дробь не поддается дальнейшему упрощению, и окончательный ответ выглядит следующим образом:
(3x-1) (5x+2)Потренируйтесь сокращать дроби самостоятельно.
Лучший способ усвоить метод заключается в самостоятельном решении задач. Под примерами приведены правильные ответы.
Ответ: (x=13)
2x 2 -x 5xОтвет: (2x-1)/5
Специальные приемы
Вынесите отрицательный знак за пределы дроби. Предположим, дана следующая дробь:
3(x-4) 5(4-x)Заметьте, что (x-4) и (4-x) “почти” идентичны, но их нельзя сократить сразу, поскольку они “перевернуты”. Тем не менее, (x — 4) можно записать как -1 * (4 — x), подобно тому как (4 + 2x) можно переписать в виде 2 * (2 + x). Это называется “переменой знака”.
-1 * 3(4-x) 5(4-x)Теперь можно сократить одинаковые члены (4-x):
-1 * 3 (4-x) 5 (4-x)Итак, получаем окончательный ответ: -3/5 .
Научитесь распознавать разницу квадратов. Разница квадратов — это когда квадрат одного числа вычитается из квадрата другого числа, как в выражении (a 2 — b 2). Разницу полных квадратов всегда можно разложить на две части — сумму и разницу соответствующих квадратных корней.
Тогда выражение примет следующий вид:
A 2 — b 2 = (a+b)(a-b)
Этот прием очень полезен при поиске общих членов в алгебраических дробях.
- Проверьте, правильно ли вы разложили то или иное выражение на множители. Для этого перемножьте множители — в результате должно получиться то же самое выражение.
- Чтобы полностью упростить дробь, всегда выделяйте наибольшие множители.
Данная статья продолжает тему преобразования алгебраических дробей: рассмотрим такое действие как сокращение алгебраических дробей. Дадим определение самому термину, сформулируем правило сокращения и разберем практические примеры.
Смысл сокращения алгебраической дроби
В материалах об обыкновенной дроби мы рассматривали ее сокращение. Мы определили сокращение обыкновенной дроби как деление ее числителя и знаменателя на общий множитель.
Сокращение алгебраической дроби представляет собой аналогичное действие.
Определение 1
Сокращение алгебраической дроби – это деление ее числителя и знаменателя на общий множитель.
При этом, в отличие от сокращения обыкновенной дроби (общим знаменателем может быть только число), общим множителем числителя и знаменателя алгебраической дроби может служить многочлен, в частности, одночлен или число.
К примеру, алгебраическая дробь 3 · x 2 + 6 · x · y 6 · x 3 · y + 12 · x 2 · y 2 может быть сокращена на число 3 , в итоге получим: x 2 + 2 · x · y 6 · x 3 · y + 12 · x 2 · y 2 . Эту же дробь мы можем сократить на переменную х, и это даст нам выражение 3 · x + 6 · y 6 · x 2 · y + 12 · x · y 2 . Также заданную дробь возможно сократить на одночлен 3 · x или любой из многочленов x + 2 · y , 3 · x + 6 · y , x 2 + 2 · x · y или 3 · x 2 + 6 · x · y .
Конечной целью сокращения алгебраической дроби является дробь более простого вида, в лучшем случае – несократимая дробь.
Все ли алгебраические дроби подлежат сокращению?
Опять же из материалов об обыкновенных дробях мы знаем, что существуют сократимые и несократимые дроби. Несократимые – это дроби, не имеющие общих множителей числителя и знаменателя, отличных от 1 .
С алгебраическими дробями все так же: они могут иметь общие множители числителя и знаменателя, могут и не иметь. Наличие общих множителей позволяет упростить исходную дробь посредством сокращения. Когда общих множителей нет, оптимизировать заданную дробь способом сокращения невозможно.
В общих случаях по заданному виду дроби довольно сложно понять, подлежит ли она сокращению. Конечно, в некоторых случаях наличие общего множителя числителя и знаменателя очевидно. Например, в алгебраической дроби 3 · x 2 3 · y совершенно понятно, что общим множителем является число 3 .
В дроби — x · y 5 · x · y · z 3 также мы сразу понимаем, что сократить ее возможно на х, или y , или на х · y . И все же гораздо чаще встречаются примеры алгебраических дробей, когда общий множитель числителя и знаменателя не так просто увидеть, а еще чаще – он попросту отсутствует.
Например, дробь x 3 — 1 x 2 — 1 мы можем сократить на х — 1 , при этом указанный общий множитель в записи отсутствует.
А вот дробь x 3 — x 2 + x — 1 x 3 + x 2 + 4 · x + 4 подвергнуть действию сокращения невозможно, поскольку числитель и знаменатель не имеют общего множителя.
Таким образом, вопрос выяснения сократимости алгебраической дроби не так прост, и зачастую проще работать с дробью заданного вида, чем пытаться выяснить, сократима ли она. При этом имеют место такие преобразования, которые в частных случаях позволяют определить общий множитель числителя и знаменателя или сделать вывод о несократимости дроби. Разберем детально этот вопрос в следующем пункте статьи.
Правило сокращения алгебраических дробей
Правило сокращения алгебраических дробей состоит из двух последовательных действий:
- нахождение общих множителей числителя и знаменателя;
- в случае нахождения таковых осуществление непосредственно действия сокращения дроби.
Самым удобным методом отыскания общих знаменателей является разложение на множители многочленов, имеющихся в числителе и знаменателе заданной алгебраической дроби.
Это позволяет сразу наглядно увидеть наличие или отсутствие общих множителей.
Само действие сокращения алгебраической дроби базируется на основном свойстве алгебраической дроби, выражаемой равенством undefined , где a , b , c – некие многочлены, причем b и c – ненулевые. Первым шагом дробь приводится к виду a · c b · c , в котором мы сразу замечаем общий множитель c . Вторым шагом – выполняем сокращение, т.е. переход к дроби вида a b .
Характерные примеры
Несмотря на некоторую очевидность, уточним про частный случай, когда числитель и знаменатель алгебраической дроби равны. Подобные дроби тождественно равны 1 на всей ОДЗ переменных этой дроби:
5 5 = 1 ; — 2 3 — 2 3 = 1 ; x x = 1 ; — 3 , 2 · x 3 — 3 , 2 · x 3 = 1 ; 1 2 · x — x 2 · y 1 2 · x — x 2 · y ;
Поскольку обыкновенные дроби являются частным случаем алгебраических дробей, напомним, как осуществляется их сокращение. Натуральные числа, записанные в числителе и знаменателе, раскладываются на простые множители, затем общие множители сокращаются (если таковые имеются).
К примеру, 24 1260 = 2 · 2 · 2 · 3 2 · 2 · 3 · 3 · 5 · 7 = 2 3 · 5 · 7 = 2 105
Произведение простых одинаковых множителей возможно записать как степени, и в процессе сокращения дроби использовать свойство деления степеней с одинаковыми основаниями. Тогда вышеуказанное решение было бы таким:
24 1260 = 2 3 · 3 2 2 · 3 2 · 5 · 7 = 2 3 — 2 3 2 — 1 · 5 · 7 = 2 105
(числитель и знаменатель разделены на общий множитель 2 2 · 3 ). Или для наглядности, опираясь на свойства умножения и деления, решению дадим такой вид:
24 1260 = 2 3 · 3 2 2 · 3 2 · 5 · 7 = 2 3 2 2 · 3 3 2 · 1 5 · 7 = 2 1 · 1 3 · 1 35 = 2 105
По аналогии осуществляется сокращение алгебраических дробей, у которых в числителе и знаменателе имеются одночлены с целыми коэффициентами.
Пример 1
Задана алгебраическая дробь — 27 · a 5 · b 2 · c · z 6 · a 2 · b 2 · c 7 · z . Необходимо произвести ее сокращение.
Решение
Возможно записать числитель и знаменатель заданной дроби как произведение простых множителей и переменных, после чего осуществить сокращение:
27 · a 5 · b 2 · c · z 6 · a 2 · b 2 · c 7 · z = — 3 · 3 · 3 · a · a · a · a · a · b · b · c · z 2 · 3 · a · a · b · b · c · c · c · c · c · c · c · z = = — 3 · 3 · a · a · a 2 · c · c · c · c · c · c = — 9 · a 3 2 · c 6
Однако, более рациональным способом будет запись решения в виде выражения со степенями:
27 · a 5 · b 2 · c · z 6 · a 2 · b 2 · c 7 · z = — 3 3 · a 5 · b 2 · c · z 2 · 3 · a 2 · b 2 · c 7 · z = — 3 3 2 · 3 · a 5 a 2 · b 2 b 2 · c c 7 · z z = = — 3 3 — 1 2 · a 5 — 2 1 · 1 · 1 c 7 — 1 · 1 = · — 3 2 · a 3 2 · c 6 = · — 9 · a 3 2 · c 6 .
Ответ: — 27 · a 5 · b 2 · c · z 6 · a 2 · b 2 · c 7 · z = — 9 · a 3 2 · c 6
Когда в числителе и знаменателе алгебраической дроби имеются дробные числовые коэффициенты, возможно два пути дальнейших действий: или отдельно осуществить деление этих дробных коэффициентов, или предварительно избавиться от дробных коэффициентов, умножив числитель и знаменатель на некое натуральное число. Последнее преобразование проводится в силу основного свойства алгебраической дроби (про него можно почитать в статье «Приведение алгебраической дроби к новому знаменателю»).
Пример 2
Задана дробь 2 5 · x 0 , 3 · x 3 . Необходимо выполнить ее сокращение.
Решение
Возможно сократить дробь таким образом:
2 5 · x 0 , 3 · x 3 = 2 5 3 10 · x x 3 = 4 3 · 1 x 2 = 4 3 · x 2
Попробуем решить задачу иначе, предварительно избавившись от дробных коэффициентов – умножим числитель и знаменатель на наименьшее общее кратное знаменателей этих коэффициентов, т.
е. на НОК (5 , 10) = 10 . Тогда получим:
2 5 · x 0 , 3 · x 3 = 10 · 2 5 · x 10 · 0 , 3 · x 3 = 4 · x 3 · x 3 = 4 3 · x 2 .
Ответ: 2 5 · x 0 , 3 · x 3 = 4 3 · x 2
Когда мы сокращаем алгебраические дроби общего вида, в которых числители и знаменатели могут быть как одночленами, так и многочленами, возможна проблема, когда общий множитель не всегда сразу виден. Или более того, он попросту не существует. Тогда для определения общего множителя или фиксации факта о его отсутствии числитель и знаменатель алгебраической дроби раскладывают на множители.
Пример 3
Задана рациональная дробь 2 · a 2 · b 2 + 28 · a · b 2 + 98 · b 2 a 2 · b 3 — 49 · b 3 . Необходимо ее сократить.
Решение
Разложим на множители многочлены в числителе и знаменателе. Осуществим вынесение за скобки:
2 · a 2 · b 2 + 28 · a · b 2 + 98 · b 2 a 2 · b 3 — 49 · b 3 = 2 · b 2 · (a 2 + 14 · a + 49) b 3 · (a 2 — 49)
Мы видим, что выражение в скобках возможно преобразовать с использованием формул сокращенного умножения:
2 · b 2 · (a 2 + 14 · a + 49) b 3 · (a 2 — 49) = 2 · b 2 · (a + 7) 2 b 3 · (a — 7) · (a + 7)
Хорошо заметно, что возможно сократить дробь на общий множитель b 2 · (a + 7) .
Произведем сокращение:
2 · b 2 · (a + 7) 2 b 3 · (a — 7) · (a + 7) = 2 · (a + 7) b · (a — 7) = 2 · a + 14 a · b — 7 · b
Краткое решение без пояснений запишем как цепочку равенств:
2 · a 2 · b 2 + 28 · a · b 2 + 98 · b 2 a 2 · b 3 — 49 · b 3 = 2 · b 2 · (a 2 + 14 a + 49) b 3 · (a 2 — 49) = = 2 · b 2 · (a + 7) 2 b 3 · (a — 7) · (a + 7) = 2 · (a + 7) b · (a — 7) = 2 · a + 14 a · b — 7 · b
Ответ: 2 · a 2 · b 2 + 28 · a · b 2 + 98 · b 2 a 2 · b 3 — 49 · b 3 = 2 · a + 14 a · b — 7 · b .
Случается, что общие множители скрыты числовыми коэффициентами. Тогда при сокращении дробей оптимально числовые множители при старших степенях числителя и знаменателя вынести за скобки.
Пример 4
Дана алгебраическая дробь 1 5 · x — 2 7 · x 3 · y 5 · x 2 · y — 3 1 2 . Необходимо осуществить ее сокращение, если это возможно.
Решение
На первый взгляд у числителя и знаменателя не существует общего знаменателя. Однако, попробуем преобразовать заданную дробь.
Вынесем за скобки множитель х в числителе:
1 5 · x — 2 7 · x 3 · y 5 · x 2 · y — 3 1 2 = x · 1 5 — 2 7 · x 2 · y 5 · x 2 · y — 3 1 2
Теперь видна некая схожесть выражения в скобках и выражения в знаменателе за счет x 2 · y . Вынесем за скобку числовые коэффициенты при старших степенях этих многочленов:
x · 1 5 — 2 7 · x 2 · y 5 · x 2 · y — 3 1 2 = x · — 2 7 · — 7 2 · 1 5 + x 2 · y 5 · x 2 · y — 1 5 · 3 1 2 = = — 2 7 · x · — 7 10 + x 2 · y 5 · x 2 · y — 7 10
Теперь становится виден общий множитель, осуществляем сокращение:
2 7 · x · — 7 10 + x 2 · y 5 · x 2 · y — 7 10 = — 2 7 · x 5 = — 2 35 · x
Ответ: 1 5 · x — 2 7 · x 3 · y 5 · x 2 · y — 3 1 2 = — 2 35 · x .
Сделаем акцент на том, что навык сокращения рациональных дробей зависит от умения раскладывать многочлены на множители.
Если вы заметили ошибку в тексте, пожалуйста, выделите её и нажмите Ctrl+Enter
Алгебраические дроби — GCSE Maths
Здесь мы узнаем о алгебраических дробях , включая операции с дробями и решение линейных и квадратных уравнений, записанных в виде алгебраических дробей.
Существуют также рабочие листы с алгебраическими дробями, основанные на экзаменационных вопросах Edexcel, AQA и OCR, а также дополнительные рекомендации о том, что делать дальше, если вы все еще застряли.
Что такое алгебраические дроби?
Алгебраические дроби — это дроби, содержащие хотя бы одну переменную.
Примерами алгебраических дробей являются следующие алгебраические выражения:
x — числитель:
\quad \quad \quad \frac{x}{12}
И числитель, и знаменатель содержат член x:
\quad \quad \quad \frac{x+1}{2x}
Выражение в членах x является знаменателем:
\quad \quad \frac{3}{x+1}\
И числитель и знаменатель содержат выражение с x : 9{2}-9}
Основная цель этого урока — понять, как решать уравнения, включающие алгебраические дроби.
Все приведенные выше примеры являются выражениями, тогда как приведенные ниже примеры являются уравнениями, поскольку мы можем найти конкретные значения для x для каждого примера, чтобы решить уравнение.
Одношаговое уравнение:
\quad \quad \frac{x}{12}=4
Отдельный постоянный член:
\quad \frac{x+1}{2x}+4=x
Квадратное уравнение: 9{2}-9}=2x-1
Важно уметь приводить алгебраические дроби к их простейшей форме. Если вам нужно попрактиковаться в этом или быстро освежить в памяти, см. урок , упрощающий алгебраические дроби , для получения дополнительной информации.
Пошаговое руководство: Упрощение алгебраических дробей
Что такое алгебраические дроби?
Как решать уравнения с алгебраическими дробями
Нам нужно уметь решать уравнения с алгебраическими дробями.
Давайте рассмотрим простой пример, когда \frac{8}{x}=2 .
Здесь знаменатель дроби содержит переменную, поэтому сначала нам нужно получить переменную из знаменателя.
Преобразовав уравнение, умножив обе части на x и затем разделив на 2, мы получим значение x=4.
Мы можем подставить это в исходное уравнение, чтобы доказать, что ответ правильный.
Здесь \frac{8}{4}=2, поэтому у нас есть правильный ответ.
Рассмотрим теперь более сложные случаи, когда в уравнения входят алгебраические дроби.
Для решения уравнений, включающих алгебраические дроби.
- Преобразуйте каждую дробь так, чтобы все они имели общий знаменатель.
- Умножьте уравнение на общий знаменатель.
- Решите уравнение (линейное или квадратное).
Объясните, как решать уравнения, включая алгебраические дроби
Рабочий лист алгебраических дробей
Получите бесплатный рабочий лист алгебраических дробей, содержащий более 20 вопросов и ответов. Включает рассуждения и прикладные вопросы.
СКАЧАТЬ БЕСПЛАТНО
ИксРабочий лист по алгебраическим дробям
Получите бесплатный рабочий лист по алгебраическим дробям, содержащий более 20 вопросов и ответов.
Включает рассуждения и прикладные вопросы.
СКАЧАТЬ БЕСПЛАТНО
Примеры алгебраических дробей
Пример 1: Уравнение с одной дробью
Решить уравнение
\фракция{2x-1}{3}+x=3
- Преобразуйте каждую дробь так, чтобы все они имели общий знаменатель.
Здесь у нас есть только одна дробь, поэтому нам не нужно преобразовывать какой-либо другой член в дробь.
2 Умножьте уравнение на общий знаменатель .
Умножая уравнение на 3 (знаменатель дробного члена), мы получаем
Убедитесь, что вы умножаете через каждые члена уравнения на 3 .
3 Решите уравнение (линейное или квадратное) .
Вы можете проверить свое решение, подставив значение x в исходное уравнение и оценив его.
Здесь
Пример 2: Уравнение с двумя дробями
Решить уравнение
\ гидроразрыва {х + 1} {2} + \ гидроразрыва {х + 3} {5} = 6
Преобразуйте каждую дробь так, чтобы все они имели общий знаменатель.
Здесь у нас есть две дроби со знаменателями 2 и 5 . Наименьшее общее кратное 2 и 5 равно 10, поэтому мы можем преобразовать две дроби так, чтобы они имели одинаковый знаменатель.
Не забудьте использовать скобки, чтобы убедиться, что вы умножаете весь числитель на 5.
Не забудьте использовать скобки, чтобы убедиться, что вы умножаете весь числитель на 2.
Теперь у нас есть уравнение
Умножьте уравнение на общий знаменатель .
Умножая уравнение на 10 (знаменатель дробных членов), получаем
Решить уравнение (линейное или квадратное) .
Вы можете проверить свое решение, подставив значение x в исходное уравнение и оценив его.
Здесь
Пример 3: Уравнение с x в знаменателе
Решите уравнение
3-\фракция{5}{х+1}=6
Преобразуйте каждую дробь так, чтобы все они имели общий знаменатель.
Здесь у нас одна дробь, поэтому нам не нужно находить общий знаменатель.
Умножьте уравнение на общий знаменатель .
Умножая уравнение на x + 1 (знаменатель дробных членов), мы получаем
Решите уравнение (линейное или квадратное) .
Вы можете проверить свое решение, подставив значение x в исходное уравнение и оценив его.
Здесь
Пример 4: Уравнение с тремя дробями
Решить уравнение
\frac{1}{x}+\frac{1}{2x}+\frac{1}{3x}=11
Преобразуйте каждую дробь так, чтобы все они имели общий знаменатель.
Здесь нам нужно найти наименьшее общее кратное x, 2x и 3x. Поскольку х является наибольшим общим множителем, х \ умножить на 1 \ умножить на 2 \ умножить на 3 является наименьшим общим кратным, равным 6х. .
Итак, умножая числитель и знаменатель каждой дроби на константу, мы можем преобразовать каждую дробь, чтобы иметь общий знаменатель 6x:.
Теперь у нас есть уравнение, которое мы можем немедленно упростить.
Умножьте уравнение на общий знаменатель .
Умножая уравнение на 6x (знаменатель дробей), получаем
Решить уравнение (линейное или квадратное) .
Вы можете проверить свое решение, подставив значение x в исходное уравнение и оценив его.
Здесь
Пример 5: Знаменатели выражены через x
Решить уравнение
\ гидроразрыва {х + 1} {х + 2} + \ гидроразрыва {3} {х-4} = 1
Преобразуйте каждую дробь так, чтобы все они имели общий знаменатель.
Здесь нам нужно найти общий знаменатель для (x + 2) и (x − 4) .
Самый простой способ сделать это — перемножить два выражения вместе.
Полезный совет: не раскрывайте скобки слишком рано, так как вы можете упростить дробь перед решением уравнения.
Умножая каждую дробь на знаменатель другой дроби, мы получаем
Теперь у нас есть уравнение, которое мы можем немедленно упростить.
Умножьте уравнение на общий знаменатель .
Умножив уравнение на (x+2)(x-4) (знаменатель дробной части), мы получим
Решите уравнение (линейное или квадратное) .
Вы можете проверить свое решение, подставив значение x в исходное уравнение и оценив его.
Здесь
Пример 6: Уравнение, включающее квадратное число
Решить уравнение
\фракция{9x+4}{x}=-2x
Преобразуйте каждую дробь так, чтобы все они имели общий знаменатель.
Здесь у нас одна дробь, поэтому нам не нужно находить общий знаменатель.
Умножьте уравнение на общий знаменатель .
Умножая уравнение на x (знаменатель дробных членов), получаем
Решить уравнение (линейное или квадратное) .
Вы можете проверить свое решение, подставив значение x в исходное уравнение и оценив его.
Здесь у нас есть два возможных решения для x, поэтому мы можем проверить оба:
Распространенные заблуждения
- Умножение числителя на знаменатель
Рассмотрим пример 2 .
При умножении на 10 для удаления знаменателя из каждой дроби числитель также умножается на 10.
Это означает, что дроби были умножены на 100 , а не на 10 , что делает следующую строку работы неверной.
- Игнорирование знаменателей
Если задано уравнение, включающее алгебраическую дробь, то при игнорировании знаменателей на вопрос будет дан неверный ответ.
- Без умножения всех членов на знаменатель
При перестановке уравнения знаменатель переносится на другую сторону знака равенства, вместо того, чтобы умножать на него каждый член. Вы должны не забывать умножать на любое значение, а не только на противоположную сторону от знака равенства.
- Неправильное упрощение дробей (1)
При сложении двух дробей знаменатель должен совпадать. Распространенным заблуждением для сложения двух дробей является сложение числителей и знаменателей вместе, потому что этот метод подчеркивается при рассмотрении умножения дробей.
- Неправильное упрощение дробей (2)
Один и тот же член в числителе и знаменателе позволяет ошибочно предположить, что их можно отменить.
Упражнение с алгебраическими дробями
x=22,5
x=-\frac{39}{46}
x=\sqrt{11}
x=3{00025}
x=-5\pm\sqrt{31}
x=\frac{23}{3}
x=-1\pm2\sqrt{23}
x=-\frac{23}{3}
Алгебраические дроби Вопросы GCSE
1. Аррон зарабатывает 40 фунтов стерлингов в час. Однажды он получает бонус в размере 5 фунтов стерлингов. Заработок за этот день он делит поровну со своими братом и сестрой. Если он отдаст 190 фунтов стерлингов, сколько часов Аррон проработал в тот день?
(2 балла)
Показать ответ
2(\frac{40x+5}{3})=19{2}-4\times1\times{-24}}}{2\times{3}}
(1)
x=\frac{1\pm{17}}{6}
(1)
x=3 или x=-\frac{8}{3}
(1)
3.
Две приведенные ниже фигуры имеют одинаковую площадь. Вычислите значение для x .
(7 баллов)
Показать ответ
Площадь треугольника = \frac{2(x+8)}{2}=x+8
2+8x-9=0
(1)
(х+9)(х-1)=0
(1)
x = 1 или x = -9
(1)
Заключение: x = 1 только
(1)
. теперь научились:
- использовать алгебраические методы для решения линейных уравнений с 1 переменной (включая все формы, требующие перестановки)
- упрощать алгебраические дроби и работать с ними
Следующие уроки
- Одновременные уравнения
- Факторизация
Все еще застряли?
Подготовьте своих учеников KS4 к успешной сдаче выпускных экзаменов по математике с помощью программы Third Space Learning.
Еженедельные онлайн-уроки повторения GCSE по математике, которые проводят опытные преподаватели математики.
Узнайте больше о нашей программе повторения GCSE по математике.
Алгебраические дроби — ACT Math
Алгебраические дроби — ACT Math—>
- Войти
- Биографии репетитора
- Подготовка к тесту
СРЕДНЯЯ ШКОЛА
- ACT Репетиторство
- SAT Репетиторство
- Репетиторство PSAT
- ASPIRE Репетиторство
- ШСАТ Репетиторство
- Репетиторство STAAR
ВЫСШАЯ ШКОЛА
- Репетиторство MCAT
- Репетиторство GRE
- Репетиторство по LSAT
- Репетиторство по GMAT
К-8
- Репетиторство AIMS
- Репетиторство по HSPT
- Репетиторство ISEE
- Репетиторство ISAT
- Репетиторство по SSAT
- Репетиторство STAAR
Поиск 50+ тестов
- Академическое обучение
репетиторство по математике
- Алгебра
- Исчисление
- Элементарная математика
- Геометрия
- Предварительное исчисление
- Статистика
- Тригонометрия
репетиторство по естественным наукам
- Анатомия
- Биология
- Химия
- Физика
- Физиология
иностранные языки
- Французский
- немецкий
- Латинский
- Китайский мандарин
- Испанский
начальное обучение
- Чтение
- Акустика
- Элементарная математика
прочее
- Бухгалтерский учет
- Информатика
- Экономика
- Английский
- Финансы
- История
- Письмо
- Лето
Поиск по 350+ темам
- О
- Обзор видео
- Процесс выбора наставника
- Онлайн-репетиторство
- Мобильное обучение
- Мгновенное обучение
- Как мы работаем
- Наша гарантия
- Влияние репетиторства
- Обзоры и отзывы
- Освещение в СМИ
- О преподавателях университета
Звоните прямо сейчас, чтобы записаться на обучение:
(888) 888-0446
Все математические ресурсы ACT
14 диагностических тестов 767 практических тестов Вопрос дня Карточки Learn by Concept
← Предыдущая 1 2 3 4 5 6 7 8 9 10 Следующая →
ACT Math Help » Алгебра » Алгебраические дроби
Преобразование в смешанное число
Возможные ответы:
Правильный ответ:
Объяснение:
Чтобы преобразовать дробь в смешанное число, мы должны выяснить, сколько раз знаменатель входит в числитель при делении, а остаток становится новой дробью.
Сообщить об ошибке
Каково среднее значение и ?
Возможные ответы:
Правильный ответ:
Объяснение:
Чтобы усреднить, мы должны сложить значения и разделить на два. Для этого нам нужно найти общий знаменатель 6. Затем мы складываем и делим на 2, что дает 4,5/6. Это уменьшает до 3/4.
Сообщить об ошибке
Что из следующего эквивалентно ?
Возможные ответы:
Ни один из ответов не является правильным
Правильный ответ:
Объяснение:
Эта задача решается так же, как ½ + 1/3. Например, ½ + 1/3 = 3/6 + 2/6 = 5/6. Найдите общий знаменатель, затем преобразуйте каждую дробь в эквивалентную дробь, используя этот общий знаменатель.
Последний шаг — добавить две новые дроби и упростить.
Сообщить об ошибке
Поезд движется с постоянной скоростью м/с. Сколько километров он проходит за минуты?
Возможные ответы:
Правильный ответ:
Объяснение:
Задайте преобразования в виде дробей и решите:
Сообщить об ошибке
Упростить.
Возможные ответы:
Нельзя упростить
Правильный ответ:9
5 Объяснение:
Чтобы упростить делимые показатели степени, вычтите показатели степени снизу из показателей степени сверху. Помните, что только экспоненты с одинаковыми основаниями могут быть упрощены
Отчет о ошибке
Упрощение:
Возможные ответы:
Правильный ответ:
9000
99
Правильный ответ:
9000
99
.
Объяснение:
x 2 – y 2 можно также выразить как ( x + y )( x – y ).
Следовательно, теперь дробь можно переписать как ( x + y )( x – y )/( x + y ).
Это упрощается до ( x – y ).
Сообщить об ошибке
Упрощение:
Возможные ответы:
Правильный ответ:
Объяснение:
Обратите внимание, что термин встречается часто. Давайте попробуем учитывать это:
Теперь умножьте как числитель, так и знаменатель на конъюгат знаменателя:
Отчет о ошибке
Упрощение:
(2 x + 4) /( x + 2)
Возможные ответы:
x + 2
x + 1
2 x + 2
2
x + 4
Правильный ответ:
2Объяснение:
(2 x + 4)/( x + 2)
Для упрощения вы должны сначала разложить верхний полином на 2 ( x + 2).
Затем вы можете удалить одинаковые ( x + 2) сверху и снизу, оставив 2.
Сообщить об ошибке
Упростите следующее выражение:
Возможные ответы:
Правильный ответ:
Объяснение:
Фактор как число, так и знаменатель:
После уменьшения фракции, все, что остается:
Отчет о ошибке
Упрощение:
Возможные ответы:
.
Ни один из других ответов
Правильный ответ:
Объяснение:
При этой проблеме первое, что нужно сделать, это отменить переменные. Все x 2 можно разделить друг на друга, потому что они присутствуют в каждой системе.
Теперь уравнение будет выглядеть следующим образом:
Теперь мы видим, что все уравнение можно разделить на y, в результате чего ответ будет таким:
Сообщить об ошибке
← Предыдущий 1 2 3 4 5 6 7 8 9 10 Далее →
Уведомление об авторских правах
Просмотреть ACT Math Tutors
Отметка
Сертифицированный репетитор
Государственный университет Мюррея, бакалавр наук, математика.
View ACT Репетиторы по математике
Дакота
Сертифицированный репетитор
Государственный колледж семинолов, текущий бакалавриат, биохимия.
View ACT Math Tutors
Kenneth
Сертифицированный репетитор
Университет Алабамы в Бирмингеме, бакалавр наук, математика. Университет Алабамы в Бирмингеме, магистр гуманитарных наук
Все математические ресурсы ACT
14 диагностических тестов 767 практических тестов Вопрос дня Карточки Учитесь по концепции
алгебраических дробей | Решение алгебраических дробей, примеры вопросов
Дробь представляет собой равные части набора или целого.
Алгебраическая дробь означает дробь, числитель или знаменатель которой представляет собой полиномиальное выражение. Проверьте примеры алгебраических дробей, их определение и решенные примеры вопросов. Вы также можете увидеть, как выполнять сложение, умножение, вычитание и деление между алгебраическими дробями.
Дроби, имеющие полиномиальное выражение в числителе и знаменателе, называются алгебраическими дробями. Знаменатели алгебраических дробей никогда не могут быть равны нулю. Вы можете записать любой многочлен в виде алгебраической дроби со знаменателем.
Примеры алгебраических дробей
- (x² + 2x + 3) / 3 — алгебраическая дробь с целым знаменателем 3.
- (x + 3)/5 — алгебраическая дробь с целым знаменателем 5.
- 6 / (a + 5b + 3) — алгебраическая дробь с целым числителем 6.
- 2 / (x + 3y) — алгебраическая дробь с целым числителем 2.
- (x + y) / (x² + 10x + 7) — алгебраическая дробь с числителем в виде линейного многочлена и знаменателем в виде квадратного многочлена.

- (y² – 11y + 32) / (y + 2) — алгебраическая дробь с числителем в виде квадратного многочлена и знаменателем в виде линейного многочлена.
Операции с алгебраическими дробями
Ниже перечислены различные операции, которые можно выполнять над алгебраическими дробями.
1. Уменьшение дроби
Чтобы уменьшить алгебраическую дробь, сначала найдите множители числителя и знаменателя. Позже отмените общие факторы.
Пример: (12x³y²) / (28xy)
(12x³y²) / (28xy) = (4 * 3 * x * x * x * y * y) / (7 * 4 * x * y)
= ( 3 * x * x * y) / 7 = (3x²y) / 7 = (3/7) x²y
2. Умножение алгебраических дробей
Умножая 2 дроби, получите множители дроби, а затем уменьшите их до самые низкие условия. Затем перемножьте числители вместе и знаменатели вместе, чтобы проверить результат.
Пример: [(x + 1) / (5y + 10)] * [(y+2) / (x² + 2x + 1)]
= [(x + 1) / ((5(y + 2) ))] * [(y+2) / (x² + x + x + 1)]
= [(x + 1) / (5] * [1 / (x (x + 1) + 1 (x + 1)] = [(х + 1) / (5] * [1 / ((х + 1) (х + 1)]
= (1/5) * (1 / (х + 1)) = 1 / (5(x + 1))
3.
Сложение дробей
У вас должен быть общий знаменатель, чтобы сложить две дроби. Просто найдите lcm или умножьте эти два знаменателя. Затем сложите числители.
Пример: [(х – 4) / (х + 1)] + [3 / (х + 2)]
= [(х – 4) (х + 2) / (х + 1) (х + 2 )] + [(3(x + 1)) / (x + 1) (x + 2)]
= [(x² – 4x + 2x – 8) / (x + 1) (x + 2)] + [(3x + 3) / (x + 1) (x + 2)]
= [(x² – 2x – 8) / (x + 1) (x + 2)] + [(3x + 3) / ( х + 1) (х + 2)] = [(х² – 2х – 8 + 3х + 3) / (х + 1) (х + 2)]
= (х² + х – 5) / [(х + 1) (x + 2)]
4. Вычитание дробей
Чтобы вычесть дроби, приведите общий знаменатель, найдя ЖКД и заменив каждую дробь эквивалентной дробью. Затем вычтите эти дроби.
Пример: (2 / x) – (3 / y)
= (2y / xy) – (3x / xy) = (2y – 3x) / xy
5. Деление дробей
дроби, инвертируй вторую дробь и умножай.
Пример: (2 / x²) / (5 / x)
= (2 / x²) * (x / 5) = 2x / 5x² = 2 / 5x
Пример вопросов
Пример 1.
Решите [5 / (x + 6)] + [10 / (x + 1)]
Решение:
Данная дробь равна [5 / (x + 6)] + [10 / (x + 1)]
Знаменатели обеих дробей разные. Итак, найдите lcm
LCM (x + 6) и (x + 1) равно (x + 6) * (x + 1)
[5 / (x + 6)] + [10 / (x + 1) )] = [(5(x + 1)) / (x + 6) (x + 1)] + [(10(x + 6)) / (x + 6) (x + 1)]
= [ (5x + 5) / (x + 6) (x + 1)] + [(10x + 60) / (x + 6) (x + 1)]
= [(5x + 5 + 10x + 60) / (x + 6) (x + 1)] = [(15x + 65) / (x + 6) (x + 1)]
[5 / (x + 6)] + [10 / (x + 1) ] = [5(3x + 13) / (x + 6) (x + 1)]
Пример 2.
Решите [(x² + 13x + 35) / (x + 4)] / [(x² – 3x – 40) / (x – 6)]
Решение:
Дана дробь [(x² + 13x + 35) / (x + 4)] / [(x² – 3x – 40) / (x – 6)]
[(x² + 13x + 35) / (x + 4)] / [(x² – 3x – 40) / (x – 6)] = [(x² + 13x + 35) / (x + 4)] * [(x – 6) / (x² – 3x – 40)]
= [(x² + 7x + 5x + 35) / (x + 4)] * [(x – 6) / (x² – 8x + 5x – 40)] = [(x(x + 7) + 5 (x + 7) / (x + 4)] * [(х – 6) / (х(х – 8) + 5(х – 8)]
= [((х + 7) (х + 5) / (х + 4)] * [ (х – 6) / ((х – 8) (х + 5)]
= [(х + 7) (х + 5) (х – 6)] / [(х + 4) (х – 8) (х + 5)] = [(х + 7) (х – 6) ] / [(x + 4) (x – 8)]
Пример 3.
Выполните указанную операцию.
(i) [10 / г] – [15 / у² – 10 лет + 25]
(ii) [x / (x² + 5x + 6)] – [2 / (x² + 3x + 2)]
Решение:
(i) Дана дробь [10 / y] – [15 / y² – 10y + 25]
= [10 / y] – [15 / (y² – 5y – 5y + 25]
= [10 / у] – [15 / (у(у – 5) – 5(у – 5)] = [10 / у] – [15 / (у – 5)(у – 5)]
= [10 (г — 5)² / г (г — 5)²] — [15г / г (г — 5)²]
= (10 (г — 5)² — 15г) / г (г – 5)² = 10(y² – 10y + 25) / y(y – 5)²
= [10(y² + 25) – 100y – 15y] / [y(y – 5)²] = [10( y² + 25) – 115y] / [y(y – 5)²]
(ii) Данная дробь равна [x / (x² + 5x + 6)] – [2 / (x² + 3x + 2)]
= [x / (x² + 3x + 2x + 6)] – [2 / (x² + 2x + x + 2)]
= [x / (x(x + 3) + 2(x + 3)] – [2 / (х(х + 2) + 1(х + 2)]
= [х / ((х + 3)(х + 2)] – [2 / (х + 2)(х + 1) ] = [x(x + 1) / (x + 2)(x + 1)(x + 3)] – [2(x + 3) / (x + 2)(x + 1)(x + 3) ]
= [x² + x – 2x – 6] / [(x + 2)(x + 1)(x + 3)] = [x² – x – 6] / [(x + 2)(x + 1) (x + 3)]
= [(x – 3) (x + 2)] / [(x + 2)(x + 1)(x + 3)]
= [x – 3] / [( x + 1)(x + 3)]
Алгебраические дроби: примеры и упрощение |
Знаете ли вы, что слово «алгебра» происходит от арабского слова, переведенного как «аль-джабр», что буквально означает скрепление частей частей целого, например скрепление сломанных костей в ранние времена.
В любом случае, вы не будете учить арабский язык, скорее, вы будете понимать способы упростить , умножить , добавить и разделить алгебраические дроби здесь.
Определение алгебраических дробей
Перед определением алгебраических дробей мы сначала напомним определение алгебраических выражений.
Алгебраические выражения — это выражения, содержащие переменные и константы.
, , , некоторые примеры алгебраических выражений.
Теперь мы готовы определить алгебраических дробей .
Алгебраические дроби — это дроби, числитель и знаменатель которых являются алгебраическими выражениями.
Другими словами, числовые дроби имеют вид
Между тем, вместо чисел в числителе или знаменателе в числителе и/или знаменателе присутствуют алгебраические выражения. Следовательно, алгебраические дроби имеют вид
.
Упрощение алгебраических дробей
Упрощение алгебраических дробей — это сокращение алгебраических дробей до мельчайших членов.
Здесь наша способность точно делить имеет решающее значение. Мы применяем аналогичные принципы, используемые при упрощении числовых дробей, при выполнении упрощения алгебраических дробей.
И это можно сделать одним из двух следующих способов:
- Деление на наибольший общий делитель (НОД).
- Непрерывное деление на более простые общие множители.
Мы кратко объясним, как осуществляется первый метод, в последующих примерах, однако мы начнем сначала с примера того, как находить НОД между алгебраическими парами.
Найдите НОД между алгебраической парой 24x 2 y 6 и 6x 3 y 4
Решение
Здесь вы хотите найти наибольшее выражение, которое является множителем обоих алгебраических выражений. Лучший подход состоит в том, чтобы разбить их на компоненты по отдельности.
для 24x 2 Y 6 , 24, x 2 и Y 6 и для 6x 3 Y 4 , у вас 6, x 3 , и Y , 6, x 3 , и Y .
.
Теперь сравните похожие компоненты и найдите их НОД попарно.
24 и 6: НОД между 24 и 6 равен 6.
x 2 и x 3 : При работе с показателями степени выражением с меньшей степенью является НОД, это означает, что x 2 равно НОД.
y 6 и y 4 : При работе с показателями выражение с меньшей степенью является НОД, это означает, что y 4 является НОД.
Следующий шаг — умножить все ваши НОД из сравнений, чтобы получить
Hence the GCD between the algebraic pair: 24x 2 y 6 and 6x 3 y 4 is 6x 2 y 4
Now you know how чтобы найти НОД среди алгебраических пар, впредь следует применять его при упрощении алгебраических дробей.
Упростите следующее:
Решение
Шаг 1.
Найдите НОД между числителем и знаменателем. Применяя те же рассуждения, что и в предыдущем примере, НОД между 15t 3 s 4 и 20ts 5 это 5ts 4 .
Шаг 2.
Разделите числитель и знаменатель на НОД, чтобы получить
Теперь давайте рассмотрим использование второго метода, который включает непрерывное деление. Чтобы упростить этот метод, вы можете выразить алгебраическое выражение как произведение его множителей.
Упростите следующие алгебраические дроби
a.
б.
Решение
а. б.
Делим, чтобы получить,
Факторизация алгебраических дробей
Знание факторизации необходимо при решении задач, связанных с алгебраическими дробями. На самом деле, давайте посмотрим, насколько хорошо вы помните факторизацию в приведенном ниже примере.
Факторизация
Решение
При разложении на множители выражайте каждое алгебраическое выражение как произведение его множителей (простых множителей для чисел).
Затем мы сравниваем и выделяем общие множители, как показано на рисунке ниже. Приняв 2x за общий множитель выражения 4x, мы получим 2. На самом деле
И если взять 2x в качестве общего множителя из выражения -2xy, то останется -y. Фактически,
Таким образом, если разложить на множители, мы получим
.
Фактор
Решение
Шаг 1.
Принесите в любое время термины, чтобы получить,
Шаг 2.
Использование Кроншеты для разделения аналогичных терминов для легкость в факторизации, получить
Шаг 3.
Выведите общие факторы из того, что у вас есть в скобках.
Общий делитель между 4x и -2xy равен 2x, поэтому мы имеем
Общий делитель между и равен 2y, поэтому мы имеем
Таким образом, алгебраическое выражение можно переписать как
5 Примечание
2 что факторизация еще не завершена. Выражения (2-y) и (y-2) отличаются знаком минус.
Таким образом, переписывая, мы получаем,Теперь у нас есть то же самое выражение в скобках, мы берем (2-y) как общий множитель между этими выражениями, чтобы получить,
Мы замечаем, что множитель (2x-2y) имеет общий делитель 2, таким образом мы имеем
Таким образом, полная факторизованная форма исходного алгебраического выражения равна
. Чтобы убедиться, что факторизованная форма верна, мы расширяем ее и видим, что получаем то же самое исходное алгебраическое выражение.
Теперь мы готовы углубиться в следующие примеры.
Упростите следующее,
a.
б.
в.
Раствор
а.
Шаг 1.
Сначала заметим, что знаменатель можно разложить на множители,
Шаг 2.
Теперь подставим факторизованное выражение в основное выражение, чтобы получить
, убедившись, что это .б.
Шаг 1.
И числитель, и знаменатель алгебраической дроби можно разложить на множители, что даст что это .
в.
Шаг 1.
И числитель, и знаменатель алгебраической дроби можно разложить на множители, чтобы получить
Шаг 2.
Теперь подставим факторизованные выражения в алгебраическую дробь, чтобы получить
, убедившись, что это .
Сложение алгебраических дробей
Как и числовые дроби, алгебраические дроби могут быть сложены путем нахождения наименьшего общего знаменателя (LCD) между алгебраическими дробями при таких операциях.
Добавьте следующие алгебраические дроби,
a.
б.
в.
Раствор
а.
Шаг 1.
Находим наименьший общий знаменатель (LCD) между двумя знаменателями. ЖК-дисплей между y и y 2 есть у 2 .
Далее умножаем числитель и знаменатель на ЖК , чтобы получить,
Шаг 2.
Теперь у нас есть две дроби с одинаковым знаменателем, складываем только числители, чтобы получить,
б.
Шаг 1.
Находим наименьший общий знаменатель (ОНД) между знаменателями. LCD между x+1 и x-2 является их произведением (x+1)(x-2).
Шаг 2.
Далее умножаем числитель и знаменатель первой дроби на (x-2), а числитель и знаменатель второй дроби на (x+1), чтобы получить,
Так как две полученные дроби имеют одинаковый знаменатель, мы складываем непосредственно числители, сохраняя знаменатель, чтобы получить
c.
Шаг 1.
Найдите наименьший общий знаменатель (LCD). ЖК-дисплей между p 2 -5p+6 и p-3 равен p 2 -5p+6, потому что когда p 2 -5p+6 факторизуется как (p-2)(p-3). Замените p 2 -5p+6 на (p-2)(p-3) для простоты вычислений. Теперь у вас есть ЖК-дисплей, умножьте числитель и знаменатель второй дроби на 9.0005
Так как они оба имеют одинаковый знаменатель, вы можете складывать напрямую, сохраняя знаменатель. Следовательно;
Обратите внимание, что p 2 -2p+1 при факторизации даст (p-1)(p-1).
Таким образом, при подстановке в выражение получается
Вычитание алгебраических дробей
Алгебраические дроби можно не только складывать, но и вычитать. Вычитание алгебраических дробей очень похоже на сложение, разница заключается в применении знака минус (-).
Упростите следующее,
a.
б.
в.
Решение
Мы ссылаемся на предыдущий пример для расчета LCD между рассматриваемыми дробями.
а.
Шаг 1.
Найдите наименьший общий знаменатель (LCD). ЖК-дисплей между y и y 2 равен y 2 .
Шаг 2.
Умножьте числитель и знаменатель первой дроби на y, чтобы получить
б.
Шаг 1.
ЖКИ между двумя знаменателями (x+1)(x-2).
Шаг 2.
Умножив числитель и знаменатель первой дроби на (x-2), а числитель и знаменатель второй дроби на (x+1), получим
Шаг 3.
Поскольку у двух дробей один и тот же знаменатель, мы вычитаем напрямую, сохраняя знаменатель, чтобы получить
c.
Шаг 1.
ЖК между знаменателями двух дробей .
Шаг 2.
Умножаем числитель и знаменатель второй дроби на (p-2), чтобы получить
Поскольку у двух дробей один и тот же знаменатель, мы вычитаем напрямую, сохраняя знаменатель, чтобы получить
Умножение алгебраических дробей
Произведение алгебраических дробей также может быть вычислено как другие числовые дроби. Мы умножаем числители вместе и знаменатели вместе.
Умножьте следующее,
Решение
Умножьте, чтобы получить
Умножьте следующее,
a.
б.
в.
Раствор
а.
Мы можем умножить как числители, так и знаменатели, прежде чем в конечном итоге разделить общие делители напрямую, таким образом, мы получим
b.
Факторизируем знаменатель второй дроби, чтобы получить
Теперь подставим факторизованное выражение в основное выражение, чтобы получить
c.
Мы обязательно факторизуем алгебраические выражения, чтобы облегчить умножение,
Затем мы подставляем факторизованные выражения в основное выражение, чтобы получить,
Деление алгебраических дробей
Частное двух алгебраических дробей можно вычислить по формуле умножение первой дроби на обратную вторую дробь.
, который,
Упростить
Решение
Мы записываем взаимную часть второй алгебраической фракции и изменяйте знак дивизии на знак умножения, чтобы получить
. а.
б.
Раствор
а.
Преобразуем выражение, изменив знак деления на знак умножения и воспользовавшись обратной алгебраической дробью справа, чтобы получить
б.
Сначала преобразуем выражение, заменив знак деления знаком умножения и воспользовавшись обратной алгебраической дробью, чтобы получить
Затем разложим квадратные выражения на множители алгебраические дроби и упростить, чтобы получить
При этом убедитесь, что то есть и то есть.
Примеры алгебраических дробей
Хотя мы видели несколько примеров алгебраических дробей, вы увидите дальнейшее применение алгебраических дробей в задачах со словами.
Когда определенное число уменьшается на 8, оно равно сумме одной трети числа и его половины. Найдите число.
Решение
Назовем неизвестный номер w. Теперь мы можем составить уравнение относительно w.
Первая часть говорит, что число уменьшается на 8, значит,
Эта вторая часть представляет собой сумму одной трети числа и его половины, это означает
Теперь нам говорят, что первая часть эквивалентна второй части. Таким образом имеем
Далее находим наименьший общий знаменатель (НОД) и умножаем на него все уравнение. ЖК между 3 и 2 равен 6. Следовательно, имеем
Соединяем одинаковые члены и решаем дальше,
При прибавлении к квадрату положительного числа получается 1. Найдите целое число.
Решение
Назовем неизвестное целое число z.
Нам говорят, что знаменатель прибавляется к квадрату целого числа. Таким образом,
Далее нам говорят, что когда это будет сделано, наш результат будет 1. Следовательно,
Таким образом,
Напомним, что вопрос указывает, что это положительное число, таким образом .
Алгебраические дроби. Ключевые выводы
- Алгебраические дроби — это дроби, содержащие алгебраические выражения.
- Упрощение алгебраических дробей означает сокращение алгебраических дробей до наименьших членов.
- Знание факторизации необходимо при решении задач, связанных с алгебраическими дробями.
- Алгебраические дроби можно складывать и вычитать.
- Алгебраические дроби можно умножать и делить.
Объяснение урока: Упрощение алгебраических дробей
В этом объяснении мы научимся разлагать алгебраические выражения на множители и упрощать алгебраические дроби.
Начнем с определения алгебраической дроби.
Определение: алгебраическая дробь
Алгебраическая дробь — это дробь, в числителе и/или знаменателе которой есть алгебраические выражения.
Два примера: 3𝑥+4𝑥−𝑥𝑥 и 𝑥+3𝑥+2𝑥+5𝑥+4.
Обратите внимание, что в первом примере многочлен в числителе и один член (иногда называемый мономом) в знаменателе, тогда как второй имеет полином как в числителе, так и в знаменателе.
Поскольку простейший тип алгебраических дробей для упрощения включает в себя многочлены, деленные на одночлены, мы начнем с описания что делать в этом случае. Поэтому рассмотрим алгебраическую дробь 3𝑥+4𝑥−𝑥𝑥.
Первый шаг — переписать его в виде трех отдельных алгебраических дробей, каждая из которых состоит из одночлена, деленного на одночлен: 3𝑥𝑥+4𝑥𝑥−𝑥𝑥.
Затем мы исключаем любые общие множители в верхней и нижней части дробей. Обратите внимание, что в этом случае нет никаких констант для
отменить, поэтому мы сосредоточимся на переменных.
В первом слагаемом, учитывая, что 𝑥=𝑥×𝑥×𝑥, видим, что 𝑥 на вершине отменяется с помощью 𝑥 внизу, чтобы дать 𝑥. Во втором члене 𝑥=𝑥×𝑥 вверху сокращается с 𝑥 внизу, что дает 𝑥; и в третьем сроке, 𝑥 вверху отменяется 𝑥 внизу, чтобы дать 1: 3×𝑥×𝑥×𝑥𝑥+4×𝑥×𝑥𝑥−𝑥𝑥=3𝑥+4𝑥−1.
Другой способ представить этот процесс как три отдельных применения правила отношения показателей степени. Напомним, что это правило утверждает, что частное двух степеней одного и того же ненулевого основания удовлетворяет 𝑥𝑥=𝑥. С использованием этого правила и учитывая, что 𝑥=𝑥 и 𝑥=1, получаем 3𝑥𝑥+4𝑥𝑥 — 𝑥𝑥 = 3𝑥𝑥+4𝑥𝑥 — 𝑥𝑥 = 3𝑥+4𝑥 — 𝑥 = 3𝑥+4𝑥 — 𝑥 = 3𝑥+4𝑥 — 1. () () ( )
Как и ожидалось, это дает тот же результат, что и раньше.
На самом деле, вместо того, чтобы записывать степени 𝑥 как повторяющиеся произведения или явно цитировать правило отношения
степени, вполне допустимо упростить алгебраические дроби, сокращая сверху и снизу.
Например,
как только мы разделили исходное выражение на отдельные алгебраические дроби, мы могли бы показать нашу работу следующим образом:
3𝑥𝑥+4𝑥𝑥−𝑥𝑥=3𝑥𝑥+4𝑥𝑥−𝑥𝑥=3𝑥+4𝑥−1.
Обратите внимание, что если бы также были константы для отмены, процесс включал бы простой дополнительный шаг. Чтобы сделать это момент совершенно ясно, давайте попробуем следующий пример.
Пример 1. Упрощение алгебраической дроби с одним членом или мономом в знаменателе
Полностью упростить дробь 9𝑥−15𝑥+𝑥3𝑥.
Ответ
Напомним, что для упрощения алгебраической дроби с полиномом в числителе и одним членом (называемым мономом) в знаменатель, разобьем на отдельные алгебраические дроби, каждая из которых состоит из одночлена, деленного на одночлен. Затем, мы исключаем любые общие множители в верхней и нижней части дробей.
В этом случае мы преобразуем данное выражение в три отдельные алгебраические дроби, поэтому
9𝑥−15𝑥+𝑥3𝑥=9𝑥3𝑥−15𝑥3𝑥+𝑥3𝑥.
Затем мы сокращаем любые общие множители в верхней и нижней частях дробей. Начиная с констант, мы сокращаем общий множитель 3 в первых двух дробях: 9𝑥3𝑥−15𝑥3𝑥+𝑥3𝑥=3𝑥𝑥−5𝑥𝑥+𝑥3𝑥.
Наконец, мы сокращаем переменные, что в данном случае означает сокращение общего множителя 𝑥 во всех трех дроби. Это дает нам результат 3𝑥𝑥−5𝑥𝑥+𝑥3𝑥=3𝑥−5𝑥+13.
Далее обратим внимание на упрощение алгебраических дробей с многочленами в числителе и знаменателе. полиномы могут появляться в факторизованной или нефакторизованной форме. Например, рассмотрим алгебраическую дробь 𝑥(𝑥+5)(𝑥−1)(𝑥−1)(𝑥+6).
В этом выражении многочлены факторизованы как в числителе, так и в знаменателе. Чтобы упростить его, мы отменяем все общие
факторы сверху и снизу. Следовательно, поскольку (𝑥−1) появляется как в числителе, так и в
знаменателя, мы сокращаем этот общий множитель, чтобы получить
𝑥(𝑥+5)(𝑥−1)(𝑥−1)(𝑥+6)=𝑥(𝑥+5)𝑥+6.
Поскольку больше нет общих факторов, которые можно было бы исключить, это наш полностью упрощенный ответ.
Давайте рассмотрим пример этого типа.
Пример 2. Упрощение факторизованного алгебраического выражения
Полностью упростить (𝑥+4)(𝑥+3)(𝑥+2)(𝑥+4).
Ответ
Напомним, что для упрощения алгебраической дроби с факторизованными полиномами как в числителе, так и в знаменателе мы сокращаем какие-либо общие факторы сверху и снизу.
В этом случае нас просят полностью упростить алгебраическую дробь (𝑥+4)(𝑥+3)(𝑥+2)(𝑥+4).
Обратите внимание, что (𝑥+4) появляется как в числителе, так и в знаменателе, поэтому мы можем отменить это общий множитель для получения (𝑥+4)(𝑥+3)(𝑥+2)(𝑥+4)=𝑥+3𝑥+2.
Поскольку дальнейшая отмена невозможна, это наш полностью упрощенный ответ.
Наш следующий пример основан на этой идее, так как требует небольшой дополнительной работы.
Пример 3. Упрощение факторизованного алгебраического выражения
Полностью упростить (𝑥−2)(𝑥−2)(𝑥+2).
Ответ
Напомним, что для упрощения алгебраической дроби с факторизованными полиномами как в числителе, так и в знаменателе мы исключить любые общие факторы сверху и снизу.
Здесь нас просят полностью упростить алгебраическую дробь (𝑥−2)(𝑥−2)(𝑥+2).
Числитель (𝑥−2) можно переписать как (𝑥−2)(𝑥−2), поэтому наша алгебраическая дробь становится (𝑥−2)(𝑥−2)(𝑥−2)(𝑥+2).
Теперь обратите внимание, что множитель (𝑥−2) появляется дважды в числителе и один раз в знаменателе. Следовательно, мы можем сократить одну копию из числителя с копией из знаменателя, чтобы получить (𝑥−2)(𝑥−2)(𝑥−2)(𝑥+2)=𝑥−2𝑥+2, это наш окончательный ответ.
В качестве альтернативы мы могли бы исключить общий множитель (𝑥−2) напрямую следующим образом: (𝑥−2)(𝑥−2)(𝑥+2)=𝑥−2𝑥+2.
Как и ожидалось, это дает точно такой же ответ.
Самые сложные алгебраические дроби, которые нам нужно будет упростить, это дроби, содержащие нефакторизованные многочлены.
Например,
Возвращаясь ко второму примеру из нашего исходного определения, предположим, что нас попросили полностью упростить алгебраическую дробь
𝑥+3𝑥+2𝑥+5𝑥+4.
Наша стратегия будет состоять в том, чтобы попытаться разложить многочлены в числителе и знаменателе на множители. Как только это будет сделано, мы можем проверить разложенную на множители версию алгебраической дроби и, как и ранее, исключают любые общие множители сверху и снизу.
Обратите внимание, что в этом случае мы можем разложить числитель на множители, чтобы получить 𝑥+3𝑥+2=(𝑥+1)(𝑥+2). Точно так же мы можем факторизовать знаменатель, чтобы получить 𝑥+5𝑥+4=(𝑥+1)(𝑥+4). Таким образом, мы имеем факторизованную версию (𝑥+1)(𝑥+2)(𝑥+1)(𝑥+4).
Поскольку (𝑥+1) появляется и в числителе, и в знаменателе, мы можем исключить этот общий множитель чтобы получить (𝑥+1)(𝑥+2)(𝑥+1)(𝑥+4)=𝑥+2𝑥+4.
Теперь попробуем проверить этот навык на примере.
Пример 4.
Упрощение алгебраического выражения путем факторизации числителя и знаменателяПолностью упростить 𝑥+5𝑥−24𝑥+15𝑥+56.
Ответ
Напомним, что для упрощения алгебраической дроби с любыми нефакторизованными многочленами в числителе и/или знаменателе мы сначала факторизовать полиномы. Затем мы исключаем любые общие факторы сверху и снизу.
В этом вопросе данная алгебраическая дробь имеет нефакторизированные квадратные выражения как в числителе, так и в знаменателе.
Чтобы разложить числитель, 𝑥+5𝑥−24, нам нужно определить пары множителей, которые умножаются, чтобы дать −24, а затем выберите тот, который в сумме дает 5. Легко проверить, что искомые числа −3 и 8, поэтому мы можем разложить числитель, чтобы получить (𝑥−3)(𝑥+8).
Точно так же, чтобы разложить знаменатель, 𝑥+15𝑥+56, нам нужно определить пары множителей, которые умножаются, чтобы дать
56, а затем выберите тот, который добавляет, чтобы получить 15.
В этом случае требуемые числа 7 и 8, поэтому мы можем разложить знаменатель
чтобы получить (𝑥+7)(𝑥+8).
Таким образом, мы имеем факторизованную версию (𝑥−3)(𝑥+8)(𝑥+7)(𝑥+8).
Обратите внимание, что (𝑥+8) появляется как в числителе, так и в знаменателе, поэтому мы можем отменить это общее фактор, чтобы получить (𝑥−3)(𝑥+8)(𝑥+7)(𝑥+8)=𝑥−3𝑥+7.
Поскольку дальнейшая отмена невозможна, это наш полностью упрощенный ответ.
Давайте теперь обобщим то, что мы узнали об упрощении различных типов алгебраических дробей.
Практическое руководство. Упрощение алгебраических дробей
- Чтобы упростить алгебраическую дробь с полиномом в числителе и одним членом (называемым мономом) в знаменателе, мы разобьем его на отдельные алгебраические дроби, каждая из которых состоит из одночлена, деленного на одночлен. Затем мы отменяем любые общие множители в верхней и нижней частях дробей.
- Чтобы упростить алгебраическую дробь с факторизованными многочленами как в числителе, так и в знаменателе, мы сокращаем все общие
факторы сверху и снизу.

- Чтобы упростить алгебраическую дробь с любыми нефакторизованными полиномами в числителе и/или знаменателе, мы сначала многочлены. Затем мы исключаем любые общие факторы сверху и снизу.
Используя обсуждаемые здесь методы, мы можем решать задачи большей сложности, как показано в нашем последнем примере.
Пример 5. Нахождение неизвестных констант путем упрощения алгебраического выражения целые числа. Работа из значений 𝑎, 𝑏 и 𝑐.
Ответ
Напомним, что для упрощения алгебраической дроби с любыми нефакторизованными многочленами в числителе и/или знаменателе мы сначала факторизовать полиномы. Затем мы исключаем любые общие факторы сверху и снизу.
Здесь наша стратегия будет состоять в том, чтобы взять алгебраическую дробь в левой части данного уравнения, разложить числитель на множители и
знаменателя, сократите все общие множители, а затем сравните результат с алгебраической дробью в правой части
данное уравнение.
Затем мы должны иметь возможность считывать значения 𝑎, 𝑏 и 𝑐.
Начиная с числителя 4𝑥−16𝑥−20𝑥, обратите внимание, что каждый член имеет множитель 4𝑥, поэтому мы можем убрать этот общий множитель, чтобы получить 4𝑥𝑥−4𝑥−5.
В скобках остается квадратное выражение 𝑥−4𝑥−5, которое нам нужно разложить на множители. Сделать этого мы должны определить пары факторов, которые умножаются, чтобы дать -5, а затем выбрать ту, которая добавляет, чтобы дать −4. Легко проверить, что требуемые числа равны −5 и 1, поэтому мы можем разложить это на множители. квадратное выражение, чтобы получить (𝑥−5)(𝑥+1). Следовательно, наш полностью факторизованный числитель равен 4𝑥(𝑥−5)(𝑥+1).
Обращаем внимание на знаменатель, 2𝑥−16𝑥+30, каждый член имеет множитель 2. Вынимая это общий множитель, получаем 2𝑥−8𝑥+15.
В скобках у нас есть квадратное выражение 𝑥−8𝑥+15, которое нужно разложить на множители. Сделать это,
мы должны определить пары множителей, которые при умножении дают 15, а затем выбрать ту, которая при суммировании дает -8.
это
просто проверить, что искомые числа равны −5 и −3, поэтому мы можем разложить это квадратичное
выражение, чтобы получить (𝑥−5)(𝑥−3). Следовательно, наш полностью факторизованный знаменатель равен
2(𝑥−5)(𝑥−3).
Затем мы можем собрать исходную алгебраическую дробь в ее факторизованной форме: 4𝑥(𝑥−5)(𝑥+1)2(𝑥−5)(𝑥−3).
Далее нам нужно исключить любые общие множители в верхней и нижней частях дроби. Начиная с констант, мы отменяем из общего множителя 2, что дает 4𝑥(𝑥−5)(𝑥+1)2(𝑥−5)(𝑥−3)=2𝑥(𝑥−5)(𝑥+1)(𝑥−5)(𝑥−3).
Тогда Глядя на переменные члены, обратите внимание, что (𝑥−5) появляется как в числителе, так и в знаменатель, поэтому мы можем отменить этот общий множитель, чтобы получить 2𝑥(𝑥−5)(𝑥+1)(𝑥−5)(𝑥−3)=2𝑥(𝑥+1)𝑥−3.
Наш последний шаг — приравнять нашу полностью разложенную алгебраическую дробь к дроби в правой части исходного уравнения.
а затем считайте значения 𝑎, 𝑏 и 𝑐. Таким образом, у нас есть
2𝑥(𝑥+1)𝑥−3=𝑎𝑥(𝑥+𝑏)𝑥+𝑐,
откуда следует, что 𝑎=2, 𝑏=1 и 𝑐=−3.
Давайте закончим повторением некоторых ключевых понятий из этого объяснения.
Ключевые моменты
- Алгебраическая дробь — это дробь, в числителе и/или знаменателе которой есть алгебраические выражения.
- Чтобы упростить алгебраическую дробь с полиномом в числителе и одним членом (называемым мономом) в знаменатель, разобьем на отдельные алгебраические дроби, каждая из которых состоит из одночлена, деленного на одночлен. Затем мы исключаем любые общие множители сверху и снизу дробей.
- Чтобы упростить алгебраическую дробь с факторизованными многочленами как в числителе, так и в знаменателе, мы сокращаем какие-либо общие факторы сверху и снизу.
- Чтобы упростить алгебраическую дробь с любыми нефакторизованными полиномами в числителе и/или знаменателе, мы сначала факторизовать полиномы. Затем мы исключаем любые общие факторы сверху и снизу.
Алгебраические дроби — Полный курс алгебры
Навыки
в н
A L G E B R A
Содержание | Дом
21
Принцип эквивалентных дробей
Приведение к минимуму
2-й уровень
Дроби в АЛГЕБРЕ часто называют рациональными выражениями.
(См. тему 18 предварительного исчисления.) Мы начнем с принципа эквивалентных дробей, который выглядит следующим образом:
| x у | = | топор ай |
«И числитель, и знаменатель можно умножить
на один и тот же коэффициент.»
Оба x и y были умножены на коэффициент a .
| x у | и | топор ай | называются эквивалентными дробями. |
Это означает, что в расчетах мы можем заменить одно на другое.
Это то же правило, что и в арифметике:
| 2 3 | = | 10 15 |
при умножении 2 и 3 на 5.
Задача 1.
Напишите пропущенный числитель.
Чтобы увидеть ответ, наведите указатель мыши на цветную область.
Чтобы снова закрыть ответ, нажмите «Обновить» («Reload»).
Сначала решай задачу сам!
| 6 нет | = | 18 3 нет |
Знаменатель был умножен на 3; поэтому числитель также будет умножен на 3.
Задача 2. Напишите пропущенный числитель.
| 4 x | = | 4 x x 2 |
Знаменатель был умножен на x ; поэтому числитель также будет умножен на x .
Задача 3. Напишите пропущенный числитель.
| м x | = | 8 x 2 м 8 x 3 |
Знаменатель был умножен на 8 x 2 ; поэтому числитель также будет умножен на 8 x 2 .
Учащийся должен ожидать, что исходный знаменатель слева будет равен 9.0629 фактор нового знаменателя справа. Это должен быть множитель, потому что для получения нового знаменателя исходный знаменатель был равен , умноженному на .
Задача 4. Напишите пропущенный числитель.
(«Знаменатель умножен на _____. Следовательно, числитель также будет умножен на ____»)
| а) | а б | = | 5 а 5 б | б) | 3 х | = | 6 2 x | в) | 5 г | = | 5 г г 2 | ||
| г) | 8 х | = | 8 у ху | д) | а x | = | 2 x 2 a 2 x 3 | е) | б у | = | bx 2 y x 2 y 2 | ||
| г) | р q | = | шт. шт. | з) | 2 б | = | 2 ак абв | я) | 4 х | = | 4( х + 1) х ( х + 1) | ||
| Пример 1. | и | = | ? б |
| Решение. Чтобы объяснить решение, мы будем писать a как | . и 1 | . |
| и 1 | = | аб б |
Поскольку 1 умножили на b , то и .
Однако числитель ab является просто произведением a на b . Это своего рода перекрестное умножение, и ученик не должен писать знаменатель 1.
| и | = | аб б |
Вы выполняете алгебру глазами.
Задача 5. Впишите пропущенный числитель.
| а) | х | = | 3 x 3 | б) | 2 | = | 2 аб аб | в) | х | = | x ³ x 2 | ||
| г) | 1 | = | х х | д) | 2 | = | 2 x + 2 x + 1 | е) | х + 1 | = | x 2 − 1 x − 1 |
Часть f) «Разность двух квадратов».
На 2 уровне будет больше задач этого типа.
Приведение к минимуму
Числитель и знаменатель дроби называются ее членами. Поскольку мы можем умножить оба члена, то симметрично мы можем разделить оба члена.
| топор ай | = | х у |
«И числитель, и знаменатель могут быть разделены
на общий делитель.»
Когда мы это делаем, мы говорим, что мы сократили дробь до ее наименьшего члена.
Опять же, это то же самое, что и в арифметике.
| Пример 2. Уменьшить | 5 x 5 у | . |
| Ответ. | 5 x 5 у | = | х у | .![]() |
5 является общим делителем числителя и знаменателя. Поэтому мы можем разделить каждое из них на 5.
Часто можно услышать, что мы «отменили» 5-ки. Но это может быть очень опасным выражением, как покажут следующие примеры.
| Пример 3. Уменьшить | 5 + х 5 + у | . |
Ответ. Можно уменьшить , а не . Мы не можем «отменить» пятерки, потому что 5 не является множителем ни в числителе, ни в знаменателе. В обоих из них 5 является термином.
Мы не можем отменить условия.
Слово термин выполняет двойную функцию в алгебре. Мы говорим о членах суммы, а также о членах дроби, которые являются числителем и знаменателем. Дробь находится в наименьшем члене, когда члены — числитель и знаменатель — не имеют общего делителя.
Пример 4. Уменьшить | 3 и + 6 b + 9 c 12 d | . |
Ответить . Когда числитель или знаменатель состоит из суммы, то если 90 629 каждых 90 630 членов имеют общий множитель, мы можем разделить на него 90 629 каждых 90 630 членов.
В этом примере каждый член как в числителе, так и в знаменателе имеет множитель 3. Следовательно, при делении каждого члена на 3 мы можем сразу написать:
| 3 a + 6 b + 9 c 12 d | = | a + 2 b + 3 c 4 d |
Уменьшения больше нет. У числителя и знаменателя больше нет общего делителя.
Мы могли бы показать общий множитель явно, написав
| 3 a + 6 b + 9 c 12 d | = | 3( a + 2 b + 3 c ) 3 · 4 d |
Но на самом деле писать это не требуется.
Этот пример иллюстрирует следующее:
Чтобы разделить сумму — 3 a + 6 b + 9 c — на число,
мы должны уметь делить каждый член на это число.
| Пример 5. Уменьшить | 3 a + 6 b + 8 c 12 a | . |
Ответить . Невозможно. Числитель и знаменатель не имеют общего делителя. 3 не является общим делителем, потому что 3 не является делителем 8. 2 не является общим делителем, потому что 2 не является делителем 3. И и не являются общим фактором. Эта фракция находится на самом низком уровне.
Написать
хотя и алгебраически корректно, но не называется сокращением. Уменьшить дробь означает сохранить ее как одну дробь. В противном случае каждую дробь можно было бы «уменьшить».
| 5 18 | нельзя уменьшить.![]() |
Опять же, чтобы разделить сумму, каждый член должен иметь общий делитель, как в примере 4.
| Пример 6. Уменьшить | 8 x 8 x + 10 | . |
Ответить . 2 является множителем каждого члена как в числителе, так и в знаменателе. Следовательно, мы можем разделить каждый член на 2.
| 8 x 8 x + 10 | = | 4 x 4 x + 5 | . |
Разделения больше нет. Мы не можем «отменить» 4, потому что 4 не является множителем знаменателя. 4 не является коэффициентом 5.
Задача 6. Свести к наименьшим терминам.
| а) | 3 а 3 б | = | а б | б) | 8 xy 12 x | = | 2 г 3 | в) | 56 у 77 ху | = | 8 11 x |
| г) | 2 x + 6 4 x + 8 | = | x + 3 2 x + 4 |
при делении каждого члена как в числителе, так и в знаменателе на 2.![]() | |||
| д) | 2 x + 3 4 x + 9 | = | Невозможно. |
| Члены числителя и знаменателя не имеют общего делителя. | |||
| Пример 7. Уменьшить | x 4 x | . |
| Ответ . | x 4 x | = | 1 4 | , |
при делении числителя и знаменателя на x .
Обратите внимание, что мы должны написать 1 в числителе, потому что x = 1 · x .
| Пример 8. Уменьшить | 4 x x | .![]() |
| Ответ . | 4 x x | = | 4. |
В алгебре не принято писать 1 в знаменателе.
| Пример 9. Уменьшить | x − 3 6( x − 3) | . |
| Ответ . | x − 3 6( x − 3) | = | 1 6 | . |
Мы можем рассматривать x − 3 как множитель числителя, потому что
х — 3 = ( х — 3) · 1
Опять же, мы должны написать 1 в числителе.
Задача 7. Уменьшить.
| а) | 2 а а | = | 2 | б) | а аб | = | 1 б | в) | 2 x 8 xy | = | 1 4 г |
| г) | 5( x − 2) x − 2 | = | 5 | д) | x + 1 2( x + 1) | = | 1 2 | е) | 3( x + 2) x 6( x + 2) xy | = | 1 2 г |
Пример 10. Уменьшить | 15 x 5 x − 3 | . |
Ответить . Невозможно. Числитель и знаменатель не имеют общего делителя.
| Пример 11. Уменьшить | x 2 − x − 6 x 2 − 4 x + 3 | . |
Ответить . В его нынешней форме редукции нет, потому что нет никаких факторов. Но мы можем сделать множителей:
| x 2 − x − 6 x 2 − 4 х + 3 | = | ( x — 3)( x + 2) ( x — 3)( x — 1) | = | х + 2 х − 1 |
( x −3) теперь рассматривается как общий фактор.
Мы можем разделить на это. И когда мы это делаем, числитель и знаменатель больше не имеют общего множителя. Конец.
| Пример 12. Сокращение: | 4 x ³ − 9 x 2 4 x ³ + 6 x 2 | . |
Ответить . Единственный общий множитель — x 2 . И мы могли бы отобразить это, разложив на множители и числитель, и знаменатель:
.| 4 x ³ − 9 x 2 4 x ³ + 6 x 2 | = | x 2 (4 x − 9) 2 x 2 (2 x + 3) | = | 4 x − 9 2(2 x + 3) |
Фракция сейчас находится на самом низком уровне. Нет общих факторов.
Задача 8. Уменьшить.
| а) | 5 x 10 x + 15 | = | 5 x 5(2 x + 3) | = | x 2 x + 3 |
| б) | 3 x − 12 3 x | = | 3( x − 4) 3 x | = | x − 4 x |
| в) | 12 x − 18 y + 21 z 6 г | = | 4 x − 6 y + 7 z 2 y | , |
при делении каждого члена на их общий делитель, 3.
| г) | 2 м м 2 − 2 м | = | 2 м м ( м − 2) | = | 2 м − 2 |
| д) | x 2 − x x | = | х ( х − 1) х | = | х — 1 |
| е) | 12 x 2 16 x 5 − 20 x 2 = | 12 x 2 | 4 х 2 (4 х 3 − 5) = | 3 | 4 x 3 − 5 |
| г) | x + 3 4 x + 12 | = | x + 3 4( x + 3) | = | 1 4 |
| з) | 2 x − 8 x − 4 | = | 2( х — 4) х — 4 | = | 2 |
| i) | 2 х − 2 у 3 x − 3 г | = | 2( х — у ) 3( х — у ) | = | 2 3 |
Задача 9.
Складываем множители и уменьшаем.
| а) | х 2 − 2 x − 3 x 2 − x − 2 | = | ( х + 1)( х — 3) ( х + 1)( х — 2) | = | х — 3 х — 2 |
| б) | х 2 + х — 2 х 2 — х — 6 | = | ( х + 2)( х — 1) ( х + 2)( х — 3) | = | х — 1 х — 3 |
| в) | x 2 − 2 x + 1 x 2 − 1 | = | ( x — 1) 2 ( x + 1)( x — 1) | = | х — 1 х + 1 |
| г) | х 2 − 100 х + 10 | = | ( x + 10)( x − 10) x + 10 | = | х — 10 |
| д) | x + 3 x 2 + 6 x + 9 | = | x + 3 ( x + 3) 2 | = | 1 x + 3 |
| е) | x ³ + 4 x 2 _ x 2 + x − 12 | = | x 2 ( x + 4) ( x − 3)( x + 4) | = | x 2 x − 3 |
Задача 10.
Сократите до минимума — если возможно.
| а) | 3 + x 3 x | Невозможно. | |
| Числитель и знаменатель не имеют общих делителей. | |||
| б) | 8 a + b 2 ab | Невозможно. Опять же, никаких общих факторов. |
| в) | 8 a + 2 b 2 ab | = | 2(4 а + б) 2 аб | = | 4 а + б аб |
| г) | 6 а + б 3 а + б | Невозможно.![]() | |
| Числитель и знаменатель не имеют общих делителей. 3 не является множителем ни числителя, ни знаменателя. Это фактор только первого члена в каждом. | |||
| д) | 6( а + б ) 3( а + б ) | = | 2 |
| е) | 2 x + 4 y + 6 z 10 | = | x + 2 y + 3 z 5 | Поделите каждое слагаемое на 2. |
| ж) | 2 x + 4 y + 5 z 10 | Невозможно. | |
Числитель и знаменатель не имеют общих делителей.![]() | |||




С. А. Теляковского. — 16-е изд. — М. : Просвещение, 2008. — 271 с. : ил. — ISBN 978-5-09-019243-9.
Обобщение материала по теме.
Сопоставление алгоритмов действий с обыкновенными и алгебраическими дробями. Решение заданий различной степени сложности.


Уменьшить 


Уменьшить 
