Разложение в ряд Маклорена на примерах
«Найти разложение в ряд Маклорена функци f(x)» — именно так звучит задание по высшей математике, которое одним студентам по силам, а другие не могут справиться с примерами. Есть несколько способов разложения ряда по степенях, здесь будет дана методика разложения функций в ряд Маклорена. При развитии функции в ряд нужно хорошо уметь вычислять производные.
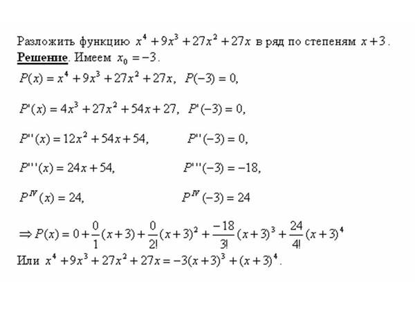
Пример 4.7 Разложить функцию в ряд по степеням x
Вычисления: Выполняем разложение функции согласно формуле Маклорена. Сначала разложим в ряд знаменатель функции
напоследок умножим разложение на числитель.
Первое слагаемое — значение функции в нуле f (0) = 1/3.
Найдем производные функции первого и высших порядков f (x) и значение этих производных в точке x=0
Далее с закономерности изменения значения производных в 0 записываем формулу для n-й производной
Итак, знаменатель представим в виде разложения в ряд Маклорена
Умножаем на числитель и получаем искомое разложение функции в ряд по степеням х
Как видите ничего сложного здесь нет.
2) Вычисления: В подобного рода примерах необходимо дробь разложить через сумму простейших дробей.
Как это делать мы сейчас не будем показывать, но с помощью неопределенных коэффициентов придем к сумме дох дробей.
Далее записываем знаменатели в показательной форме
Осталось разложить слагаемые с помощью формулы Маклорена. Подытоживая слагаемые при одинаковых степенях «икс» составляем формулу общего члена разложения функции в ряд
Последнюю часть перехода к ряду в начале трудно реализовать, поскольку сложно объединить формулы для парных и непарных индексов (степеней), но с практикой у Вас это будет получаться все лучше.
Пример 4.18 Найти разложение в ряд Маклорена функции
Вычисления: Найдем производную этой функции:
Разложим функцию в ряд, воспользовавшись одной из формул Макларена:
Ряды почленно суммируем на основе того, что оба абсолютно совпадающие. Проинтегрировав почленно весь ряд получим разложение функции в ряд по степеням x
Между последними двумя строками разложения имеется переход который в начале у Вас будет забирать много времени.
{n}}{n !}$Больше примеров решений Решение производных онлайн
Читать дальше: разложение в ряд Маклорена элементарных функций.
Калькулятор серии Taylor and Maclaurin (мощность)
Калькулятор найдет разложение заданной функции в ряд Тейлора (или по степени) вокруг заданной точки с указанием шагов. Вы можете указать порядок полинома Тейлора. Если вам нужен полином Маклорена, просто установите точку на $$$0$$$.
Введите функцию:
Введите точку:
Для серии Маклорена установите точку на «0».
Заказ `n=`
Оценить ряд и найти ошибку в точке
Точка не обязательна.
Если калькулятор что-то не рассчитал, или вы обнаружили ошибку, или у вас есть предложение/отзыв, пожалуйста, напишите его в комментариях ниже.
Решение
Ваши данные: рассчитайте ряд Тейлора (Маклорена) $$$\sin{\left(x \right)}$$$ до $$$n=5$$$ 9{5}$$$
Калькулятор степенных рядов+ онлайн-решатель с бесплатными шагами
Калькулятор степенных рядов — это онлайн-инструмент, который определяет степенной ряд для математической функции с одной переменной.
Калькулятор может принимать входные данные, касающиеся функции и точки, вокруг которой он оценивает степенной ряд.
Степень Ряд представляет собой выражение с бесконечным числом членов, где каждый член имеет коэффициент и переменную с некоторой степенью. степень степенного ряда также бесконечна, поскольку у переменной нет фиксированной высшей степени.
Этот инструмент выводит степенной ряд заданной функции, строит график начальных членов и обеспечивает общее представление степенного ряда.
Что такое калькулятор степенных рядов?
Калькулятор степенных рядов — это онлайн-калькулятор, который можно использовать для вычисления степенных рядов относительно центральной точки для ваших математических функций.
В поле финансы и математика функции часто представляются в виде степенных рядов, поскольку это помогает упростить задачу. Он аппроксимирует функции вокруг определенной точки, что упрощает решение определенных интегралов .
Кроме того, это помогает вывести формулы , вычислить пределы и уменьшить сложность сложной функции за счет исключения незначащих членов. Точка сходимости степенного ряда играет важную роль в решении задач.
Очень утомительно найти и построить степенной ряд для любой функции. Чтобы решить ее вручную, требуется много вычислений. Вот почему у нас есть усовершенствованный калькулятор , который решает математические задачи, такие как степенные ряды, в режиме реального времени.
Как пользоваться калькулятором степенных рядов?
Вы можете использовать Power Series Calculator , вставив допустимую математическую функцию и опорную точку в соответствующие поля. При нажатии одной кнопки результаты будут представлены через несколько секунд.
Следуйте инструкциям по использованию калькулятора Power Series, приведенным в следующем разделе:
Шаг 1
Сначала поместите свою функцию в поле Power Series For .
Она должна быть функцией только одной переменной x.
Шаг 2
Затем введите центральную точку в поле с именем О . Это то, о чем рассчитывается степенной ряд.
Шаг 3
Наконец, нажмите кнопку Решить , чтобы получить полное решение проблемы.
Интересным фактом об этом калькуляторе является то, что его можно использовать для различных функций. Функция может быть экспоненциальной, тригонометрической, алгебраической и т. д. Эта замечательная особенность увеличивает ее ценность и делает ее более надежной.
Результат
Раствор предоставляется в разных порциях. Он начинается с представления ввода интерпретации, сделанной калькулятором. Затем он отображает расширение серии с некоторыми начальными условиями. Эти условия могут меняться, если центральная точка изменена.
Он также предоставляет график этих начальных условий относительно центральной точки в части приближения . Затем он дает общую форму полученного степенного ряда в виде уравнения суммирования.
Как работает калькулятор степенных рядов?
Калькулятор степенных рядов работает путем расширения данной функции до степенного ряда , сосредоточенного вокруг заданного значения a. Это также дает расширение функции Taylor Series , если она дифференцируема.
Но вопрос в том, что такое степенной ряд и его значение в математике? Ответ на этот вопрос поясняется ниже.
Что такое серия Power?
Степенной ряд — это функция с бесконечным числом членов в виде полинома . Он содержит термины, включающие переменные, следовательно, это особый тип ряда. Например, если есть переменная x, то все члены включают степени x.
Серия Power расширяет общие функции или может определять новые функции. Степенной ряд с центром в точке x=a при суммировании задается как: 9n\]
Где x — переменная, а $c_n$ — коэффициенты.
Порядок степенного ряда
Порядок степенного ряда равен наименьшей степени переменной с ненулевым коэффициентом.
Это означает, что порядок ряда такой же, как порядок первой переменной. Если первая переменная квадратична, то порядок ряда равен двум.
Сходимость степенного ряда
Степенной ряд содержит бесконечно много членов, включающих переменную x, но он будет сходиться для определенных значений переменной. К сходимость , мы имеем в виду, что ряд имеет конечное значение. Однако ряд может расходиться и для других значений переменной.
Степенной ряд всегда сходится в своем центре , что означает, что сумма ряда равна некоторой константе. Следовательно, он будет сходиться для того значения переменной x, для которого ряд находится в центре.
Однако многие степенные ряды сходятся для более чем одного значения его переменной x, так как он может сходиться либо для всех действительных значений переменной x, либо для конечного интервала x. 9n $ сходится в центре a, то он должен удовлетворять любому одному из следующих условий:
- Для всех значений x=a ряд сходится и расходится для всех значений $x\neq a$.

- Ряд сходится для всех действительных значений x.
- Для действительного числа R>0 ряд сходится, если |x-a|
R. Однако если |x-a|=R, то ряд может сходиться или расходиться.
Интервал сходимости
Множество всех значений переменной $x$, для которых данный ряд сходится в своем центре, называется Интервал сходимости . Это означает, что ряд не будет сходиться для всех значений $x$, а только для указанного интервала.
Радиус сходимости
Степенной ряд сходится, если |x-a|
А если ряд сходится для всех действительных значений переменной x, то радиус сходимости бесконечен . Радиус сходимости равен половине интервала сходимости.
Интервал сходимости и радиус сходимости определяются путем применения критерия соотношения.
Тест отношения
Тест отношения в основном используется для определения интервала и радиуса сходимости. Этот тест задается следующим образом:
\[L= \lim_{n\to\infty} \frac{|a_{n+1}|}{|a_n|} \]
В зависимости от результатов вышеуказанного теста соотношения можно сделать три вывода.
- Если L<1, то ряд будет сходиться абсолютно.
- Если L>1 или L бесконечно, то ряд будет расходиться .
- Если L=1, то тест нерешителен.
Теперь, если тест отношения равен L<1, то, найдя значение L и приравняв его к L<1, мы можем найти все значения в интервале, для которого ряд сходится.
Радиус сходимости R равен |x-a| Степенной ряд используется для представления функции в виде ряда бесконечных многочленов. Многочлены легко анализировать, поскольку они содержат основные арифметические операции. Кроме того, мы можем легко дифференцировать и интегрировать сложные функции, представляя их в степенных рядах. Этот калькулятор представляет данную функцию степенным рядом. Наиболее важными степенными рядами являются геометрические ряды, ряды Тейлора и ряды Маклорена. 93+……..\] Сумма этого бесконечного ряда вычисляется как \[\frac{a}{1-r}, \:when \: r< 1\] быть представлен в виде геометрических рядов для более легкого анализа. Ряд Тейлора представляет собой бесконечную сумму членов, которые выражаются как производных данной функции. Этот ряд полезен, потому что он расширяет функцию, используя производные функции в значении, в котором ряд находится в центре. 9n\] Где f(x) — функция с действительным знаком, a — центр ряда означает, что данный ряд сосредоточен вокруг a. Серия Маклорена — это особый тип серии Тейлора, в которой центр серии находится на ноль . Представление функций в виде степенного ряда

Ряд Тейлора
Серия Маклорена


