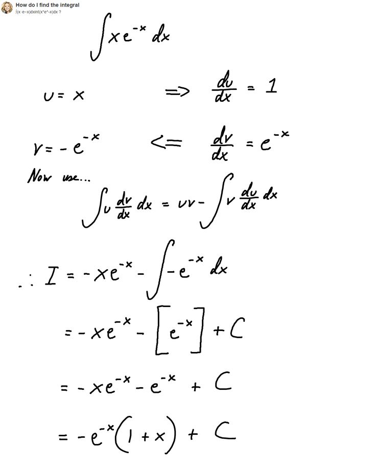
X exp x интеграл: ∫ Найти интеграл от y = f(x) = x/exp(x) dx (х делить на экспонента от (х))

Неопределенный интеграл от 1/(A+exp(x))/x : Анализ-I

Правила форума

В этом разделе нельзя создавать новые темы.

Если Вы хотите задать новый вопрос, то не дописывайте его в существующую тему, а создайте новую в корневом разделе «Помогите решить/разобраться (М)».

Если Вы зададите новый вопрос в существующей теме, то в случае нарушения оформления или других правил форума Ваше сообщение и все ответы на него могут быть удалены без предупреждения.

Не ищите на этом форуме халяву, правила запрещают участникам публиковать готовые решения стандартных учебных задач. Автор вопроса обязан привести свои попытки решения и указать конкретные затруднения.

Обязательно просмотрите тему Правила данного раздела, иначе Ваша тема может быть удалена или перемещена в Карантин, а Вы так и не узнаете, почему.

 
bme 

 Неопределенный интеграл от 1/(A+exp(x))/x

07. 08.2013, 22:38 

22/12/11
59

Помогите найти неопределенный интеграл
,
давно с ним бьюсь.

Maple 15.0 с ним не справился, в справочниках (Градштейн-Рыжик 63г, Брычков-Прудников 86г, Смолянский 67г) ничего похожего на подобные интегралы я не нашел, методы интегрирования по частям и попытки найти данный интеграл путем дифференцирования по параметру похожих интегралов, зависящих от параметра — ничего не дали.

Заранее неизвестно, выражается ли данный интеграл через элементарные функции. К специальным тоже пока не удается его свести..


   

                  

Otta 

 Re: Неопределенный интеграл от 1/(A+exp(x))/x

07. 08.2013, 23:09 

Заслуженный участник

09/05/13
18/06/23
8903

А зачем он Вам нужен? В смысле, исходная задача какова?


   

                  

bme 

 Re: Неопределенный интеграл от 1/(A+exp(x))/x

08. 08.2013, 00:23 

22/12/11
59

Otta в сообщении #753077 писал(а):

А зачем он Вам нужен? В смысле, исходная задача какова?

В исходной задаче берется интеграл

где
,
числа и — действительные константы, — вообще говоря, комплексная константа.

Внешний интеграл может быть взят численно, но внутренний нужно вычислить аналитически. Учитывая, что пределы интегрирования у него — фактически произвольные комплексные числа — задача сводится к отысканию неопределенного интеграла, который я написал выше.


   

                  

Aritaborian 

 Re: Неопределенный интеграл от 1/(A+exp(x))/x

08. 08.2013, 14:45 

11/06/12
10324
стихия.вздох.мюсли

Похоже на то, что аналитически он никак не выражается. Mathematica и Альфа с ним тоже не справились.


   

                  

bme 

 Re: Неопределенный интеграл от 1/(A+exp(x))/x

13. 08.2013, 10:56 

22/12/11
59

Aritaborian в сообщении #753216 писал(а):

Похоже на то, что аналитически он никак не выражается. Mathematica и Альфа с ним тоже не справились.

Интересно, какая версия Математики, и что за программа такая — Альфа ? (ни разу не слышал..).

Ясно, что системы компьютерной алгебры пока слабее возможностей человека. Что касается этого интеграла, то есть статья, в которой утверждается, что «после некоторых длинных преобразований» действительную часть исходного двойного интеграла, записанного в виде

можно записать как

а мнимую часть — как

где — константы, причем содержит бесконечно малую мнимую часть (остальные константы — действительны).

Как авторы статьи получили этот результат для действительной части — ума не приложу.
У меня вообще получается, что внутренний интеграл зависит от других параметров, как он зависит именно от этой комбинации: — непонятно, тем более непонятно, как он берется аналитически «после некоторых длинных выкладок»…

(Моя задача — вывести аналогичную формулу для случая, когда ,
т.е. содержит конечную мнимую часть. Можно конечно просто подставить в ответ этих авторов
и затем разделить действительную и мнимую части, но во-первых, это не строго, а во-вторых, хотелось бы понимать, как получен результат)


   

                  

Aritaborian 

 Re: Неопределенный интеграл от 1/(A+exp(x))/x

13.

08.2013, 11:18 

11/06/12
10324
стихия.вздох.мюсли

Mathematica у меня самой последней версии, 9.0.1. Да, и она не всё на свете умеет. Бывают интегралы, которые пока и ей не по зубам.
Альфой же фамильярно кличут веб-сервис Wolfram|Alpha — computational knowledge engine, как называют его создатели (как вы догадались, это те же люди, что создали Mathematica: Стивен Вольфрам и его компания). Чертовски полезная вещь. Чем я буду путано объяснять, что она из себя представляет, зайдите да посмотрите 😉
Что касается статьи, замечу лишь, что авторы всё же не смогли выразить интеграл явно.


   

                  

bme 

 Re: Неопределенный интеграл от 1/(A+exp(x))/x

13.08.2013, 12:38 

22/12/11
59

Aritaborian в сообщении #754386 писал(а):

Mathematica у меня самой последней версии, 9.0.1. Да, и она не всё на свете умеет. Бывают интегралы, которые пока и ей не по зубам.

Попутный вопрос: как считаете, Maple (у меня версия 15.0), которым я пользуюсь (ибо знаком с ним и привык, да и синтаксис у него проще, чем у Математики) — сильно проигрывает Математике в плане возможностей символьных вычислений?

Aritaborian в сообщении #754386 писал(а):

Что касается статьи, замечу лишь, что авторы всё же не смогли выразить интеграл явно.

Но смогли видимо показать, что

где функция такова, что

а имеет бесконечно малую положительную мнимую часть.
Этого вполне достаточно. Вопрос только в том, как это можно доказать…


   

                  

Ms-dos4 

 Re: Неопределенный интеграл от 1/(A+exp(x))/x

13. 08.2013, 12:42 

Заслуженный участник

25/02/08
2961

bme

15-я версия проигрывает, 17-я примерно наравне. Есть там некоторые различия в аналитическом интегрировании/решении ДУ. Причём иногда мне больше нравится версия Mathematica, а иногда Maple (естественно решения то тождественные, но иногда сразу и не скажешь).

И статью пожалуйста приведите. Хотелось бы взглянуть.


   

                  

Aritaborian 

 Re: Неопределенный интеграл от 1/(A+exp(x))/x

13. 08.2013, 12:44 

11/06/12
10324
стихия.вздох.мюсли

bme в сообщении #754396 писал(а):

Maple (у меня версия 15.0), которым я пользуюсь (ибо знаком с ним и привык, да и синтаксис у него проще, чем у Математики) — сильно проигрывает Математике в плане возможностей символьных вычислений?

Да, сильно. Впрочем, это зависит от ваших потребностей. А синтаксис у него может казаться более простым, но это видимость, только лишь. Потратьте немного времени, и вы поймёте, что язык Mathematica

является гораздо более стройным, элегантным, цельным и последовательным.

(Оффтоп)

Нет, я не сотрудник отдела маркетинга Wolfram Research 😉


   

                  

Ms-dos4 

 Re: Неопределенный интеграл от 1/(A+exp(x))/x

13.08.2013, 13:05 

Заслуженный участник

25/02/08
2961

Aritaborian

(Оффтоп)

Да нормальный синтаксис, что у Maple, что у Mathematica. Тут больше вопрос вкуса. Хотя я тоже в основном пользуюсь «Математикой». По «силе» пакеты в принципе приблизительно равны. Если быть точнее — Maple 17 чуть лучше в аналитическом решении ДУ и интегральных уравнений, зато Mathematica 9 лучше упрощает выражения и решает разностные уравнения. Так же математика чуть лучше в плане теорвера.


   

                  

bme 

 Re: Неопределенный интеграл от 1/(A+exp(x))/x

13.08.2013, 13:06 

22/12/11
59

Ms-dos4 в сообщении #754397 писал(а):

bme
15-я версия проигрывает, 17-я примерно наравне. Есть там некоторые различия в аналитическом интегрировании/решении ДУ. Причём иногда мне больше нравится версия Mathematica, а иногда Maple (естественно решения то тождественные, но иногда сразу и не скажешь).

Короче говоря, особого смысла переучиваться с Maple на Математику — нет?

Ms-dos4 в сообщении #754397 писал(а):

bme
И статью пожалуйста приведите. Хотелось бы взглянуть.

Вот эта статья: Phys. Rev. A 29, 1471–1480 (1984),
Dielectric response of quantum plasmas in thermal equilibrium,

http://pra.aps.org/abstract/PRA/v29/i3/p1471_1

.
Интеграл этот приведен без вывода в самом начале статьи. Дальше рассматриваются только предельные случаи.


   

                  

Ms-dos4 

 Re: Неопределенный интеграл от 1/(A+exp(x))/x

13. 08.2013, 13:08 

Заслуженный участник

25/02/08
2961

Цитата:

Короче говоря, особого смысла переучиваться с Maple на Математику — нет?

Нет. Просто поставьте себе 17-ю версию(тем более это верно, если вы — физик).

Статью посмотрю. Жаль с английским я не дружу(
Up. Ага, статью так просто посмотреть нельзя. Это же не arXiv…


   

                  

Aritaborian 

 Re: Неопределенный интеграл от 1/(A+exp(x))/x

13. 08.2013, 13:20 

11/06/12
10324
стихия.вздох.мюсли

(Ms-dos4)

Mathematica также явно выигрывает в плане графических возможностей, импорта-экспорта данных в различных форматах etc. Впрочем, тут не место этим спорам 😉

bme в сообщении #754400 писал(а):

Короче говоря, особого смысла переучиваться с Maple на Математику — нет?

А я бы сказал, что есть ;-D


   

                  

Показать сообщения за: Все сообщения1 день7 дней2 недели1 месяц3 месяца6 месяцев1 год Поле сортировки АвторВремя размещенияЗаголовокпо возрастаниюпо убыванию 
  Страница 1 из 1
 [ Сообщений: 13 ] 

Модераторы: Модераторы Математики, Супермодераторы


Неберущийся интеграл от exp(x^2) : Чулан (М)

Сообщения без ответов | Активные темы | Избранное


Правила форума


В этом разделе нельзя создавать новые темы. 2)

21.02.2012, 11:41 

17/05/10
18

Подскажите, пожалуйста, несведущему в математике физику, какой неэлементарной функции равен неберущийся интеграл:

Я имею ввиду есть ли что-то наподобие функции ошибок как в случае если бы перед x стоял знак минус, но не используя мнимую единицу i, типа


   

                  

GAA 

 Re: Неберущийся интеграл от exp(x^2)

22. 02.2012, 12:57 

Заслуженный участник

12/07/07
4279

Если просто наличие не нравится, то можно записать, используя «мнимую функцию ошибок»: . Родственным является интеграл Досона (Dowson’s interal), см., например, Википедию или «Справочник по специальным функциям» под ред. М. Абрамовица и И. Стиган.

Если Ваш вопрос связан с затруднениями в конкретной задаче, то лучше привести эту задачу. Возможно, Вам подскажут, чем в этом случае лучше пользоваться. И нужно ли выражать через какие-то специальные функции или и так оставить. 2)

22.02.2012, 15:44 

Заслуженный участник

12/07/07
4279

Спешил на работу и букву пропустил. Отредактировал.


   

                  

Показать сообщения за: Все сообщения1 день7 дней2 недели1 месяц3 месяца6 месяцев1 год Поле сортировки АвторВремя размещенияЗаголовокпо возрастаниюпо убыванию 
  Страница 1 из 1
 [ Сообщений: 4 ] 

Модераторы: Модераторы Математики, Супермодераторы



Кто сейчас на конференции

Сейчас этот форум просматривают: нет зарегистрированных пользователей


Вы не можете начинать темы
Вы не можете отвечать на сообщения
Вы не можете редактировать свои сообщения
Вы не можете удалять свои сообщения
Вы не можете добавлять вложения

Найти:

9.

3 Показательная функция

В этом разделе мы определяем, что, возможно, является самым важная функция во всей математике. Мы уже отмечали, что функция $\ln x $ инъективна, а значит, имеет обратную.

Определение 9.3.1 Обратная функция $\ln(x) $ есть $y=\exp(x)$, называемая естественной показательной функцией . $\квадрат$

Область определения $\exp(x) $ состоит из всех действительных чисел, а диапазон равен $(0, \infty)$. Обратите внимание, что поскольку $\exp(x)$ является обратным $\ln(x)$, $\exp (\ln x) =x$ при $x>0$, и $\ln (\exp x) = x$ для всех $x$. Кроме того, наше знание $\ln(x)$ сразу говорит нам, что $\exp(1) = e$, $\exp(0) = 1$, $\ds\lim _{x\to\infty} \exp x =\infty$ и $\ds\lim_{x\to -\infty } \exp x = 0$.

Доказательство. По теореме об обратной функции (9.1.17) $\exp(x)$ имеет всюду производную. Теорема также говорит нам, что такое производная. В качестве альтернативы мы можем вычислить производная с использованием неявного дифференцирования: Пусть $y=\exp x $, поэтому $\ln y =x $. q$. 9{(940)}(х)$?

Калькулятор — exp(x) — Solumaths

Exp, расчет онлайн

Сводка:

Функция exp вычисляет в режиме онлайн экспоненту числа.

exp online


Описание:

Экспоненциальная функция определена для любого числа, принадлежащего интервалу ]`-oo`,`+oo`[ это примечание exp .

  1. Расчет экспоненты
  2. С экспоненциальным калькулятором функция exp может вычислять экспоненциальный онлайн числа.

    Чтобы вычислить экспоненциальное число , просто введите число и примените функция выражение . Таким образом, для , вычисляющего , показательная числа 0, необходимо ввести exp(`0`) или непосредственно 0, если кнопка exp уже появляется, возвращается результат 1.

  3. Производная экспоненты
  4. Производная экспоненты равна exp(x).

  5. Расчет цепного правила производных с экспонентой
  6. Если u — дифференцируемая функция, цепное правило производных с показательной функцией и функцией u вычисляется по следующей формуле : `(exp(u(x)))’=u'(x)*exp(u(x))`, производный калькулятор может выполнять этот тип расчета, как показано в этом примере вычисление производной от exp(4x+3).

  7. Первообразная экспоненты
  8. Первообразная экспоненты равна exp(x).

  9. Пределы экспоненты
    Пределы экспоненты существуют при `-oo` и `+oo`:
  • Экспоненциальная функция имеет предел в `-oo`, равный 0.
    • `lim_(x->-oo)exp(x)=0`
  • Экспоненциальная функция имеет предел в `+oo`, который равен `+oo`. 2-1)=1` с пошаговым расчетом.

    Синтаксис:

    exp(x), где x — число.


    Примеры:
    • exp(`0`)`=1`
    • exp(`i*pi/3`)`=1/2+i*sqrt(3)/2`
    • exp(` i*x`)`=cos(x)+i*sin(x)`

    Экспоненциальная производная :

    Чтобы дифференцировать экспоненциальную функцию онлайн, можно использовать калькулятор производной, который позволяет вычислить производную экспоненциальная функция

    производная от exp(x) является производной(`exp(x)`)=`exp(x)`


    Экспоненциальная первообразная :

    Калькулятор первообразной позволяет вычислить первообразную экспоненциальной функции.

    Первообразная exp(x) является первообразной(`exp(x)`)=`exp(x)`


    Предельная экспоненциальная :

    Калькулятор пределов позволяет вычислять пределы экспоненциальной функции.

    Предел exp(x) is limit(`exp(x)`)


    Обратная экспоненциальная функция:

    Функция , обратная экспоненциальному , представляет собой логарифмическую функцию Нейпира, указанную в пер.



    Графическая экспоненциальная функция :

    Графический калькулятор может отображать экспоненциальную функцию в интервале ее определения.


    Расчет онлайн с exp (экспоненциальный)

    См. также

    Список связанных калькуляторов:

    • Экспоненциальный : exp. Функция exp вычисляет в режиме онлайн экспоненту числа.
    • Логарифмическое расширение: expand_log. Калькулятор позволяет получить логарифмическое расширение выражения.
    • Неперианский логарифм: пер. Калькулятор ln позволяет вычислить натуральный логарифм числа онлайн.
    • Логарифм: лог. Функция журнала вычисляет логарифм числа онлайн.
    • Гиперболический косинус: гл. Функция ch вычисляет в режиме онлайн гиперболический косинус числа.
    • Гиперболический котангенс: coth. Функция coth вычисляет в режиме онлайн гиперболический котангенс числа.
    • Гиперболический синус: ш. Функция sh позволяет вычислить в режиме онлайн гиперболический синус числа.
    • Гиперболический тангенс: th. Функция th позволяет в режиме онлайн вычислить гиперболический тангенс числа.
    • Абсолютное значение: абс. Функция abs рассчитывает онлайн абсолютное значение числа.
    • Арккосинус: арккосинус. Функция arccos позволяет вычислять арккосинус числа. Функция arccos является обратной функцией функции косинуса.
    • Арксинус: арксинус. Функция arcsin позволяет вычислить арксинус числа. Функция arcsin является обратной функцией функции синуса.
    • Арктангенс: арктангенс. Функция арктангенса позволяет вычислить арктангенс числа. Функция арктангенса является обратной функцией функции тангенса.
    • Косинус: cos. Кос-тригонометрическая функция вычисляет косинус угла в радианах, градусов или градианов.
    • Косеканс: косеканс Тригонометрическая функция sec позволяет вычислить секанс угла, выраженного в радианах, градусах или градусах.
    • Котангенс: котан. Тригонометрическая функция котана для вычисления котана угла в радианах, градусов или градианов.
    • Кубический корень : cube_root. Функция cube_root вычисляет в режиме онлайн кубический корень числа.
    • Секанс : сек. Тригонометрическая функция sec позволяет вычислить секанс угла, выраженного в радианах, градусах или градусах.
    • Синус : синус. Тригонометрическая функция sin для вычисления греха угла в радианах, градусов или градианов.

Добавить комментарий

Ваш адрес email не будет опубликован. Обязательные поля помечены *