Метод замены переменной в неопределённом интеграле
Во многих случаях подынтегральное выражение не позволяет сразу же найти интеграл по таблице. Тогда введение новой переменной интегрирования помогает свести нахождение данного интеграла к нахождению табличного интеграла. Такой метод называется методом подстановки или методом замены переменной.
Вводится новая переменная, назовём её t. Например,
Далее dx определеяем как дифференциал по переменной t. После этого интеграл можно найти по таблице интегралов. Заменив обратно t на функцию от x, находим данный интеграл окончательно.
Прежде чем перейти к подробным решениям примеров, следует привести теорему, в которой обобщаются перечисленные выше действия.
Теорема. Пусть функция определена и дифференцируема на некотором промежутке
(1)
Формула (1) называется формулой замены переменной в неопределённом интеграле.
Метод замены переменной обычно применяется, когда подынтегральное выражение представляет собой независимую переменную, умноженную на многочлен от этой переменной, или на тригонометрическую функцию от этой переменной или на степенную функцию (в том числе корень) от этой переменной.
Надо полагать, вы уже держите перед собой домашние задания и готовы применять к ним приёмы по аналогии с теми, которые мы ниже рассмотрим. При этом не обойтись без преобразований выражений. Для этого потребуется открыть в новых окнах пособия Действия со степенями и корнями и Действия с дробями.
Пример 1. Найти неопределённый интеграл методом замены переменной:
Решение. Производим замену x − 1 = t; тогда x = t + 1. Отсюда dx = dt. По формуле (1)
Возвращаясь к переменной x, окончательно получаем
Замечание. При замене переменной в неопределённом интеграле иногда более удобно задавать не х как функцию t, а, наоборот, задавать t как функцию от x.
Заметим, что удачный выбор подстановки обычно представляет известные трудности. Для их преодоления необходимо овладеть техникой дифференцирования и хорошо знать
Пример 2. Найти неопределённый интеграл методом замены переменной:
.
Решение. Положим . Отсюда
.
По формуле (1)
.
Возвращаясь к переменной x, окончательно получаем
Если трудно уследить, куда в процессе решения примера 2 делись и , это признак того, что нужно повторить действия со степенями из элементарной (школьной) математики.
Пример 3. Найти неопределённый интеграл методом замены переменной:
.
Решение. Положим , откуда и .
Тогда , в свою очередь .
Заменяем переменную и получаем:
,
где степени при t складываются. Продолжаем преобразования и получаем:
Приводим дроби к общему знаменателю и возвращаемся к переменной x. Решаем и получаем ответ:

Пример 7. Найти неопределённый интеграл методом замены переменной:
.
Решение. Положим , откуда , , .
Тогда
(не забываем о правиле дифференцирования сложной функции).
Заменяем переменную и получаем:
.
Возвращаясь к переменной х, получаем ответ:
.
Пример 8. Найти неопределённый интеграл методом замены переменной:
.
Решение. Положим , откуда , .
Заменяем переменную и получаем:
Подставляя вместо t его выражение через x получаем ответ:

Кому лишь смутно понятно или совсем не понятно, как преобразуются выражения в примере 5, пожалуйста, повторите из курса элементарной (школьной) математики действия с корнями, степенями и дробями!
И если вы ещё не открыли в новых окнах пособия Действия со степенями и корнями и Действия с дробями, то сделайте это сейчас!
Пример 9. Найти неопределённый интеграл методом замены переменной:
.
Решение. Положим ,
тогда
.
Заменяем переменную и получаем:

Решение с переменной t получено с использованием формулы 21 из таблицы интегралов.
Подставляя вместо t его выражение через x получаем ответ:
.
Начало темы «Интеграл»
Продолжение темы «Интеграл»
Поделиться с друзьями
function-x.ru
Интегрирование заменой переменной | Математика
Интегрирование заменой переменной (метод подстановки) — один из самых часто встречающихся методов нахождения интегралов.
Цель введения новой переменной — упростить интегрирование. Лучший вариант — заменив переменную, получить относительно новой переменной табличный интеграл. Как определить, какую замену нужно сделать? Навыки приходят с опытом. Чем больше примеров решено, тем быстрее решаются следующие. На начальном этапе используем следующие рассуждения:
То есть. если под знаком интеграла мы видим произведение некоторой функции f(x) и ее производной f ‘(x), то то эту функцию f(x) нужно взять в качестве новой переменной t, поскольку дифференциал dt=f ‘(x)dx уже есть.
Рассмотрим, как работает метод замены переменной, на конкретных примерах.
Вычислить интегралы методом замены переменой:
Здесь 1/(1+x²) — производная от функции arctg x. Поэтому в качестве новой переменной t возьмем arctg x. Далее — воспользуемся таблицей интегралов:
После того, как нашли интеграл от t, выполняем обратную замену:
Если взять за t синус, то должна быть и его производная, косинус (с точностью до знака). Но косинуса в подынтегральном выражении нет. А вот если в качестве t взять экспоненту, все получается:
Чтобы получить нужный дифференциал dt, изменим знак в числителе и перед интегралом:
(Здесь (ln(cosx))’ — производная сложной функции.)
Примеры для самопроверки.
Найти интегралы, применяя метод замены переменной:
Показать решение
Также та или иная замена переменной в неопределенном интеграле используется для решения определенных типов интегралов. Но о них — дальше.
www.matematika.uznateshe.ru
Метод замены переменной в неопределенном интеграле
Переходим к рассмотрению общего случая – метода замены переменных в неопределенном интеграле.
Пример 2
Найти неопределенный интеграл.
Идея метода замены состоит в том, чтобы сложное выражение (или некоторую функцию) заменить одной буквой.В данном случае напрашивается:Вторая по популярности буква для замены – это буква. В принципе, можно использовать и другие буквы, но мы всё-таки будем придерживаться традиций.
Итак: Но при замене у нас остаётся! Наверное, многие догадались, что если осуществляется переход к новой переменной, то в новом интеграле всё должно быть выражено через букву, и дифференциалутам совсем не место. Следует логичный вывод, чтонужнопревратить в некоторое выражение, которое зависит только от .
Действие следующее. После того, как мы подобрали замену, в данном примере, , нам нужно найти дифференциал. Так как, то
После разборок с дифференциалом окончательный результат рекомендую переписать максимально коротко: Теперь по правилам пропорции выражаем нужный нам:
В итоге: Таким образом:А это уже самый что ни на есть табличный интеграл(таблица, интегралов, естественно, справедлива и для переменной).
В заключении осталось провести обратную замену. Вспоминаем, что.
Готово.
11.3 ТАБЛИЦА ИНТЕГРАЛОВ

ПРАКТИКУМ 11
ЗАДАНИЕ N 1Тема: Неопределенный интегралНеопределенный интегралравен …
Решение:Напоминаем, что интеграл суммы двух функций равен сумме интегралов этих функцийи постоянный множитель можно выносить за знак неопределенного интеграла:Тогда, используя формулу, получим:
ЗАДАНИЕ N 2Тема: Методы вычисления неопределенных интегралов…
Решение:Подстановкаприводит рассматриваемый интеграл к табличному:Найдем дифференциал от обеих частей подстановки:, тогдаПодставим получившиеся выражения в исходный интеграл:Заменивего выражением из подстановки, получим:
Решение:Напоминаем, что интеграл разности двух функций равен разности интегралов этих функцийи постоянный множитель можно выносить за знак неопределенного интеграла:Тогда, используя формулу, получим:
ЗАДАНИЕ N 4Тема: Методы вычисления неопределенных интегралов…
Решение:Подстановкаприводит рассматриваемый интеграл к табличному:Найдем дифференциал от обеих частей подстановки:, тогдаПодставим получившиеся выражения в исходный интеграл:Заменивего выражением из подстановки, получим:
ЗАДАНИЕ N 5Тема: Неопределенный интегралНеопределенный интегралравен …
Решение:Напоминаем, что постоянный множитель можно выносить за знак неопределенного интеграла:Тогда, используя формулу, получим:
ЗАДАНИЕ N 6Тема: Методы вычисления неопределенных интегралов…
Решение:Подстановкаприводит рассматриваемый интеграл к табличному:Найдем дифференциал от обеих частей подстановки:, тогдаПодставим получившиеся выражения в исходный интеграл:Заменивего выражением из подстановки, получим:
ЗАДАНИЕ N 7Тема: Методы вычисления неопределенных интегралов…
Решение:Подстановкаприводит рассматриваемый интеграл к табличному:Найдем дифференциал от обеих частей подстановки:, тогдаПодставим получившиеся выражения в исходный интеграл:Заменивего выражением из подстановки, получим:
ЗАДАНИЕ N 8Тема: Неопределенный интеграл…
Решение:Напоминаем, что интеграл суммы двух функций равен сумме интегралов этих функцийи постоянный множитель можно выносить за знак неопределенного интеграла:Тогда, используя формулу, получим:
ЗАДАНИЕ N 9Тема: Методы вычисления неопределенных интеграловНеопределенный интегралравен …
Решение:Обращаем внимание, что подстановкаприводит рассматриваемый интеграл к табличному:Найдем дифференциал от обеих частей подстановки:, тогдаПодставим получившиеся выражения в исходный интеграл:Заменивего выражением из подстановки, получим:
ЗАДАНИЕ N 10Тема: Методы вычисления неопределенных интегралов…
Решение:Подстановкаприводит рассматриваемый интеграл к табличному:Найдем дифференциал от обеих частей подстановки:, тогдаПодставим получившиеся выражения в исходный интеграл:Заменивего выражением из подстановки, получим:
САМОСТОЯТЕЛЬНАЯ РАБОТА 11
ЗАДАНИЕ N 1Тема: Неопределенный интеграл …
ЗАДАНИЕ N 2Тема: Неопределенный интеграл …
ЗАДАНИЕ N 3Тема: Методы вычисления неопределенных интегралов …
ЗАДАНИЕ N 4Тема: Неопределенный интеграл …
ЗАДАНИЕ N 5Тема: Методы вычисления неопределенных интеграловНеопределенный интеграл равен …
ЗАДАНИЕ N 6Тема: Неопределенный интеграл …
ЗАДАНИЕ N 7Тема: Методы вычисления неопределенных интегралов …
ЗАДАНИЕ N 8Тема: Неопределенный интегралНеопределенный интеграл равен …ЗАДАНИЕ N 9 Тема: Неопределенный интеграл
ЗАДАНИЕ N 10 Тема: Неопределенный интеграл …
studfiles.net
Интегрирование с помощью замены переменной.
Литература: Сборник задач по математике. Часть 1. Под ред А. В. Ефимова, Б. П. Демидовича.
Интегрирование подстановкой (заменой переменной).
Пусть на некотором промежутке определена сложная функция $f(\phi(x))$ и функция $t=\phi(x)$ непрерывна на этом промежутке и дифференцируема во всех его внутренних точках; тогда если нитеграл $\int f(t)\, dt$ существует, то интеграл $\int f(\phi(x))\phi'(x)\,dx$ также существует, причем $$\int f(\phi(x))\phi'(x)\,dx=\left.\int f(t)\,dt\right|_{t=\phi(x)}.\qquad\qquad (1)$$
Эту формулу называют формулой интегрирования подстановкой.
Если для функции $t=\phi(x)$ на расматриваемом промежутке существует обратная $x=\phi^{-1}(t),$ то формулу (1) можно переписать в виде $$\int f(t)\,dt=\left.\int f(\phi(x))\phi'(x)\,dx\right|_{x=\phi^{-1}(t)},$$ или, если исходную переменную интегрирования обозначать как обычно через $x,$ $$\int f(x)\,dx=\left.\int f(\phi(t))\phi'(t)\,dt\right|_{t=\phi^{-1}(x)}.\qquad\qquad (2)$$
Формулу (2) обычно называют формулой интегрирования заменой переменной.
Примеры:
Вычислить интегралы с помощью подходящей замены:
6.44. $\int\sqrt{3+x}\,dx.$
Решение.
$$\int\sqrt{3+x}\,dx=\left[\begin{array}{lcl}t=3+x\\ dt=dx\end{array}\right]=\int\sqrt{t}dt=\int t^{\frac{1}{2}}dt=\frac{t^{\frac{1}{2}+1}}{\frac{1}{2}+1}+c=$$ $$=\frac{2t^{3/2}}{3}+c=\frac{2\sqrt{(3+x)^3}}{3}+c.$$
Ответ: $\frac{2\sqrt{(3+x)^3}}{3}+c.$
6.48.$\int\frac{dx}{x\ln^2 x}.$
Решение.
$$\int\frac{dx}{x\ln^2 x}=\left[\begin{array}{lcl}t=ln x\\ dt=\frac{dx}{x}\end{array}\right]=\int\frac{dt}{t^2}=\int t^{-2}dt=\frac{t^{-2+1}}{-2+1}+c=$$ $$=\frac{t^{-1}}{-1}=-\frac{1}{t}+c=-\frac{1}{\ln x}+c.$$
Ответ: $-\frac{1}{\ln x}+c.$
6.49.$\int\frac{dx}{a+bx}.$
Решение.
$$\int\frac{dx}{a+bx}=\left[\begin{array}{lcl}t=a+bx\\ dt=b{dx}\end{array}\right]=\int\frac{dt}{bt}=\frac{1}{b}\int \frac{dt}{t}=\frac{1}{b}\ln|t|+c=$$ $$=\frac{1}{b}\ln|a+bx|+c.$$
Ответ: $\frac{1}{b}\ln |a+bx|+c.$
6.55.$\int\sin(\ln x)\frac{dx}{x}.$
Решение.
$$\int\sin(\ln x)\frac{dx}{x}=\left[\begin{array}{lcl}t=ln x\\ dt=\frac{dx}{x}\end{array}\right]=\int\sin t\,dt=-\cos t+c=\cos\ln x+c.$$
Ответ: $\cos\ln x+c.$
6.59.$\int\frac{xdx}{\sqrt[3]{x^2-1}}.$
Решение.
$$\int\frac{xdx}{\sqrt[3]{x^2-1}}=\left[\begin{array}{lcl}t=x^2-1\\ dt=2xdx\Rightarrow xdx=\frac{dt}{2} \end{array}\right]=\int\frac{dt}{2\sqrt[3]{t}}=$$ $$=\frac{1}{2}\int t^{-1/3}dt+c=\frac{1}{2}\frac{t^{-1/3+1}}{-1/3+1}+c=\frac{1}{2}\frac{t^{2/3}}{2/3}+c=\frac{3}{4}\sqrt[3]{t^2}+c=$$ $$=\frac{3\sqrt[3]{(x^2-1)^2}}{4}+c.$$
Ответ: $\frac{3\sqrt[3]{(x^2-1)^2}}{4}+c.$
6.69.$\int\frac{\sin ax}{\cos^3 ax}\,dx.$
Решение.
$$\int\frac{\sin ax dx}{\cos^3 ax}=\left[\begin{array}{lcl}t=\cos ax\\ dt=-a\sin ax dx\Rightarrow \sin ax d=-\frac{dt}{a}\end{array}\right]=-\int\frac{dt}{at^3}=$$ $$=-\frac{1}{a}\int t^{-3}dt=-\frac{1}{a}\frac{t^{-3+1}}{-3+1}+c=-\frac{t^{-2}}{-2a}+c=\frac{1}{2at^2}+c=\frac{1}{2a\cos^2 ax}+c.$$
Ответ: $\frac{1}{2a\cos^2 ax}+c.$
6.71.$\int\frac{e^x}{(7-e^x)^2}\,dx.$
Решение.
$$\int\frac{e^x\,dx}{7-e^x}=\left[\begin{array}{lcl}t=7-e^x\\ dt=-e^x\,dx\end{array}\right]=-\int\frac{dt}{t}=-\ln |t|+c=-\ln|7-e^x|+c.$$
Ответ: $-\ln|7-e^x|+c.$
Применяя указанные подстановки найти интегралы:
6.114. $\int\frac{dx}{x\sqrt{1-x^3}},\quad x=(1-t^2)^{1/3}.$
Решение.
$$\int\frac{dx}{x\sqrt{1-x^3}}=\left[\begin{array}{lcl}x=(1-t^2)^{1/3}\\ dx=\frac{1}{3}(1-t^2)^{-2/3}(-2t)dt\end{array}\right]=$$ $$=\int\frac{\frac{-2t}{3(1-t^2)^{2/3}}dt}{(1-t^2)^{1/3}\sqrt{1-(1-t^2)}}=\int\frac{-2tdt}{3(1-t^2)^{2/3}(1-t^2)^{1/3}t}=$$ $$=-2\int\frac{dt}{3(1-t^2)}=-\frac{2}{3}\left(\frac{1}{2}\int\frac{dt}{1-t}+\frac{1}{2}\int\frac{dt}{1+t}\right)=$$ $$=-\frac{1}{3}(-\ln|1-t|+\ln|1+t|)+c=\frac{1}{3}\ln\left|\frac{1-\sqrt{1-x^3}}{1+\sqrt{1-x^3}}\right|+c.$$
Ответ: $\frac{1}{3}\ln\left|\frac{1-\sqrt{1-x^3}}{1+\sqrt{1-x^3}}\right|+c.$
6.116.$\int\frac{dx}{x+\sqrt {x}},\quad x=t^2.$
Решение.
$$\int\frac{dx}{x+\sqrt{x}}=\left[\begin{array}{lcl}x=t^2\\ dx=2tdt\end{array}\right]=\int\frac{2tdt}{t^2+t}=2\int\frac{dt}{t+1}=$$ $$=2\ln|t+1|+c=2\ln(\sqrt {x}+1)+c.$$
Ответ: $2\ln(\sqrt{x}+1)+c.$
Применяя подходящие подстановки найти интегралы:
6.118.$\int x(5x-1)^{19}\, dx.$
Решение.
$$\int x(5x-1)^19\,dx=\left[\begin{array}{lcl}x=\frac{t+1}{5}\\ dx=\frac{1}{5}dt\end{array}\right]=\int\frac{t+1}{5}t^{19}\frac{dt}{5}=$$ $$=\frac{1}{25}\int(t^{20}+t^{19})\,dt=$$ $$=\frac{1}{25}\left(\frac{t^{21}}{21}+\frac{t^{20}}{20}\right)+c=\frac{1}{25}\left(\frac{(5x-1)^{21}}{21}+\frac{(5x-1)^{20}}{20}\right)+c.$$
Ответ: $\frac{1}{25}\left(\frac{(5x-1)^{21}}{21}+\frac{(5x-1)^{20}}{20}\right)+c.$
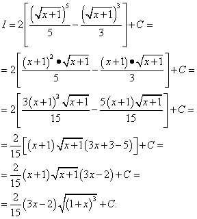
6.120.$\int\frac{x+2}{\sqrt{x+1}+1}\,dx.$
Решение.
$$\int \frac{x+2}{\sqrt{x+1}+1}\,dx=\left[\begin{array}{lcl}x=t^2-1\\ dx=2tdt\end{array}\right]=\int\frac{t^2+1}{t+1}2t\,dt=$$ $$=2\int\frac{t^3+1}{t+1}\,dt=2\int(t^2-t+1)\,dt=2\left(\frac{t^3}{3}-\frac{t^2}{2}+t\right)+c=$$ $$=2\left(\frac{\sqrt{(x+1)^3}}{3}+\frac{\sqrt{(x+1)^2}}{2}+\sqrt{x+1}\right)+c=$$ $$=2\left(\frac{\sqrt{(x+1)^3}}{3}+\frac{x+1}{2}+\sqrt{x+1}\right)+c.$$
Ответ: $2\left(\frac{\sqrt{(x+1)^3}}{3}+\frac{x+1}{2}+\sqrt{x+1}\right)+c.$
6.122.$\int\frac{dx}{\sqrt{3+e^x}}.$
Решение.
$$\int \frac{dx}{\sqrt{3+e^x}}\,dx=\left[\begin{array}{lcl}x=\ln(t^2-3)\\ dx=\frac{2t}{t^2-3}\end{array}\right]=\int\frac{2t}{(t^2-3)t}\,dt=2\int\frac{1}{t^2-3}\,dt=$$ $$=2\frac{1}{2\sqrt{3}}\ln\left|\frac{x-\sqrt {3}}{x+\sqrt{3}}\right|+c=\frac{1}{\sqrt {3}}\ln\left|\frac{x-\sqrt{3}}{x+\sqrt{3}}\right|.$$
Ответ: $\frac{1}{\sqrt{3}}\ln\left|\frac{x-\sqrt{3}}{x+\sqrt{3}}\right|+c.$
Домашнее задание.
Вычислить интегралы с помощью подходящей замены:
6.45. $\int(3-4\sin x)^{1/3}\cos x\,dx.$
6.46. $\int ch x sh x\, dx.$
6.51. $\int\frac{\cos\frac{x}{\sqrt 2}}{2-3\sin\frac{x}{\sqrt 2}}\, dx.$
6.52. $\int ctg x\, dx.$
6.54. $\int\cos(ax+b)\, dx.$
6.56. $\int\sin\sqrt{x}\frac{dx}{\sqrt x}.$
6.57. $\int\frac{dx}{\cos\left(x-\frac{\pi}{4}\right)}.$
6.62. $\int\frac{e^{-\alpha x}}{1+e^{-2\alpha x}}\, dx.$
6.63. $\int\frac{dx}{\sqrt{5-3x^2}}.$
6.65. $\int\frac{\sin x dx}{\sqrt{\cos^2 x+ 4}}.$
6.77. $\int\frac{dx}{4x^2+7}.$
6.78. $\int\frac{xdx}{4x^2+7}.$
Применяя указанные подстановки, найти интегралы:
6.115. $\int\frac{dx}{x\sqrt{4-x^2}},\quad x=\frac{2}{t}.$
6.117. $\int\frac{e^{2x}}{e^x+1},\quad x=\ln t.$
Применяя подходящие подстановки, найти интегралы:
6.119. $\int\frac{e^{3x}}{\sqrt{1-e^x}}\,dx.$
6.121. $\int\frac{xdx}{(3-x)^7}.$
6.123. $\int\frac{dx}{x\sqrt{x^2+1}}.$
mathportal.net
Метод замены переменной в неопределенном интеграле — Мегаобучалка
Переходим к рассмотрению общего случая – метода замены переменных в неопределенном интеграле.
Пример 5
Найти неопределенный интеграл.
.
В качестве примера возьмём интеграл, который мы рассматривали в самом начале урока. Как мы уже говорили, для решения интеграла нам приглянулась табличная формула ,
и всё дело хотелось бы свести к ней.
Идея метода замены состоит в том, чтобы сложное выражение (или некоторую функцию) заменить одной буквой.
В данном случае напрашивается:
.
Вторая по популярности буква для замены – это буква z. В принципе, можно использовать и другие буквы, но мы всё-таки будем придерживаться традиций.
Итак:
Но при замене у нас остаётся dx! Наверное, многие догадались, что если осуществляется переход к новой переменной t, то в новом интеграле всё должно быть выражено через букву t, и дифференциалу dx там совсем не место. Следует логичный вывод, что dx нужно превратить в некоторое выражение, которое зависит только отt.
Действие следующее. После того, как мы подобрали замену, в данном примере — это , нам нужно найти дифференциал dt.
Так как
, то
Окончательный результат рекомендуем переписать максимально коротко: .
Теперь по правилам пропорции выражаем dx:
.
В итоге:
.
Таким образом:
.
А это уже самый что ни на есть табличный интеграл
(таблица, интегралов, естественно, справедлива и для переменной t).
.
В заключении осталось провести обратную замену. Вспоминаем, что .
Готово.
Чистовое оформление рассмотренного примера должно выглядеть примерно так:
Проведем замену: , тогда
.
.
Значок не несет никакого математического смысла, он обозначает, что мы прервали решение для промежуточных объяснений.
Также всем рекомендую использовать математический знак вместо фразы «из этого следует это». И коротко, и удобно.
При оформлении примера в тетради надстрочную пометку обратной замены лучше выполнять простым карандашом.
Внимание! В следующих примерах нахождение дифференциала новой переменной расписываться подробно не будет.
Вспомнить первый способ решения:
В чем разница? Принципиальной разницы нет. Это фактически одно и то же.
Но, с точки зрения оформления задания, метод подведения функции под знак дифференциала гораздо короче.
Возникает вопрос. Если первый способ короче, то зачем тогда использовать метод замены? Дело в том, что для ряда интегралов не так-то просто «подогнать» функцию под знак дифференциала.
Пример 6
Найти неопределенный интеграл.
.
Проведем замену:
, тогда
;
.
Как видите, в результате замены исходный интеграл значительно упростился – свёлся к обычной степенной функции. Это и есть цель замены – упростить интеграл.
Ленивые продвинутые люди запросто решат данный интеграл методом подведения функции под знак дифференциала:
Другое дело, что такое решение очевидно далеко не для всех студентов. Кроме того, уже в этом примере использование метода подведения функции под знак дифференциала значительно повышает риск запутаться в решении.
Пример 7
Найти неопределенный интеграл
. Выполнить проверку.
Это пример для самостоятельного решения. Ответ в конце урока.
Пример 8
Найти неопределенный интеграл.
.
Решение: Производим замену: .
.
Осталось выяснить, во что превратится xdx? Время от времени в ходе решения интегралов встречается следующий трюк: x мы выразим из той же замены :
.
Готово.
Пример 9
Найти неопределенный интеграл.
.
Это пример для самостоятельного решения. Ответ в конце урока.
Пример 10
Найти неопределенный интеграл .
Наверняка некоторые обратили внимание, что в справочной таблице нет правила замены переменной. Сделано это сознательно. Правило внесло бы путаницу в объяснение и понимание, поскольку в вышерассмотренных примерах оно не фигурирует в явном виде.
Настало время рассказать об основной предпосылке использования метода замены переменной: в подынтегральном выражении должна находиться некоторая функцияи её производная . Например, как: .
Функции , могут быть и не в произведении, а в ином сочетании.
В этой связи при нахождении интегралов довольно часто приходится заглядывать в таблицу производных.
В рассматриваемом Примере 10 замечаем, что степень числителя на единицу меньше степени знаменателя. В таблице производных находим формулу , которая как раз понижает степень на единицу. А, значит, если обозначить за t знаменатель, то велики шансы, что и числитель xdx превратится во что-нибудь хорошее:
Замена: .
Кстати, здесь не так сложно подвести функцию под знак дифференциала:
Следует отметить, что для дробей вроде , такой фокус уже не пройдет (точнее говоря, применить нужно будет не только прием замены).
Интегрировать некоторые дроби можно научиться на уроке Интегрирование сложных дробей. Вот еще пара типовых примеров для самостоятельного решения на тот же метод.
Пример 11
Найти неопределенный интеграл
.
Пример 12
Найти неопределенный интеграл
.
Решения в конце урока.
Пример 13
Найти неопределенный интеграл
.
Смотрим в таблицу производных и находим наш арккосинус: , поскольку у нас в подынтегральном выражении находится арккосинус и нечто, похожее на его производную.
Общее правило:
За t обозначаем саму функцию(а не её производную).
В данном случае: . Осталось выяснить, во что превратится оставшаяся часть подынтегрального выражения
.
В этом примере нахождение dtраспишем подробно, поскольку – сложная функция:
или, короче:
.
По правилу пропорции выражаем нужный нам остаток: .
Таким образом:
Пример 14
Найти неопределенный интеграл.
.
Пример для самостоятельного решения. Ответ совсем близко.
Внимательные читатели заметили, что мы рассмотрели мало примеров с тригонометрическими функциями. И это не случайно, поскольку под интегралы от тригонометрических функций отведёны отдельные уроки 7.1.5, 7.1.6, 7.1.7. Более того, далее даны некоторые полезные ориентиры для замены переменной, что особенно актуально для чайников, которым не всегда и не сразу понятно, какую именно замену нужно проводить в том или ином интеграле. Также некоторые типы замен можно посмотреть в статье 7.2.
Более опытные студенты могут ознакомиться с типовой заменой в интегралах с иррациональными функциями. Замена при интегрировании корней является специфической, и её техника выполнения отличается от той, которую мы рассмотрели на этом уроке.
Решения и ответы:
Пример 3: Решение:
Пример 4: Решение:
Пример 7: Решение:
Пример 9: Решение:
Замена: ;
;
Пример 11: Решение:
Проведем замену:
Пример 12: Решение:
Проведем замену:
Пример 14: Решение:
Проведем замену:
megaobuchalka.ru
Метод замены переменной в неопределенном интеграле — КиберПедия
Переходим к рассмотрению общего случая – метода замены переменных в неопределенном интеграле.
Пример 5
Найти неопределенный интеграл.
В качестве примера я взял интеграл, который мы рассматривали в самом начале урока. Как мы уже говорили, для решения интеграла нам приглянулась табличная формула , и всё дело хотелось бы свести к ней.
Идея метода замены состоит в том, чтобы сложное выражение (или некоторую функцию) заменить одной буквой.
В данном случае напрашивается:
Вторая по популярности буква для замены – это буква .
В принципе, можно использовать и другие буквы, но мы всё-таки будем придерживаться традиций.
Итак:
Но при замене у нас остаётся ! Наверное, многие догадались, что если осуществляется переход к новой переменной , то в новом интеграле всё должно быть выражено через букву , и дифференциалу там совсем не место.
Следует логичный вывод, что нужно превратить в некоторое выражение, которое зависит только от.
Действие следующее. После того, как мы подобрали замену, в данном примере, , нам нужно найти дифференциал . С дифференциалами, думаю, дружба уже у всех налажена.
Так как , то
После разборок с дифференциалом окончательный результат рекомендую переписать максимально коротко:
Теперь по правилам пропорции выражаем нужный нам :
В итоге:
Таким образом:
А это уже самый что ни на есть табличный интеграл (таблица интегралов, естественно, справедлива и для переменной ).
В заключении осталось провести обратную замену. Вспоминаем, что .
Готово.
Чистовое оформление рассмотренного примера должно выглядеть примерно так:
“
Проведем замену:
“
Значок не несет никакого математического смысла, он обозначает, что мы прервали решение для промежуточных объяснений.
Также всем рекомендую использовать математический знак вместо фразы «из этого следует это». И коротко, и удобно.
При оформлении примера в тетради надстрочную пометку обратной замены лучше выполнять простым карандашом.
Внимание! В следующих примерах нахождение дифференциала расписываться подробно не будет.
А теперь самое время вспомнить первый способ решения:
В чем разница? Принципиальной разницы нет. Это фактически одно и то же. Но с точки зрения оформления задания метод подведения функции под знак дифференциала – гораздо короче.
Возникает вопрос. Если первый способ короче, то зачем тогда использовать метод замены? Дело в том, что для ряда интегралов не так-то просто «подогнать» функцию под знак дифференциала.
Пример 6
Найти неопределенный интеграл.
Проведем замену: (другую замену здесь трудно придумать)
Как видите, в результате замены исходный интеграл значительно упростился – свёлся к обычной степенной функции. Это и есть цель замены – упростить интеграл.
Ленивые продвинутые люди запросто решат данный интеграл методом подведения функции под знак дифференциала:
Другое дело, что такое решение очевидно далеко не для всех студентов. Кроме того, уже в этом примере использование метода подведения функции под знак дифференциала значительно повышает риск запутаться в решении.
Пример 7
Найти неопределенный интеграл. Выполнить проверку.
Это пример для самостоятельного решения. Ответ в конце урока.
Пример 8
Найти неопределенный интеграл.
Замена:
Осталось выяснить, во что превратится
Хорошо, мы выразили, но что делать с оставшимся в числителе «иксом»?!
Время от времени в ходе решения интегралов встречается следующий трюк: мы выразим из той же замены !
Готово.
Пример 9
Найти неопределенный интеграл.
Это пример для самостоятельного решения. Ответ в конце урока.
Пример 10
Найти неопределенный интеграл.
Наверняка некоторые обратили внимание, что в моей справочной таблице нет правила замены переменной. Сделано это сознательно. Правило внесло бы путаницу в объяснение и понимание, поскольку в вышерассмотренных примерах оно не фигурирует в явном виде.
Настало время рассказать об основной предпосылке использования метода замены переменной: в подынтегральном выражении должна находиться некоторая функцияи её производная : (функции , могут быть и не в произведении)
В этой связи при нахождении интегралов довольно часто приходится заглядывать в таблицу производных.
В рассматриваемом примере замечаем, что степень числителя на единицу меньше степени знаменателя. В таблице производных находим формулу , которая как раз понижает степень на единицу. А, значит, если обозначить за знаменатель, то велики шансы, что числитель превратится во что-нибудь хорошее.
Замена:
Кстати, здесь не так сложно подвести функцию под знак дифференциала:
Следует отметить, что для дробей вроде , такой фокус уже не пройдет (точнее говоря, применить нужно будет не только прием замены). Интегрировать некоторые дроби можно научиться на уроке Интегрирование некоторых дробей.
Вот еще пара типовых примеров для самостоятельного решения из той же оперы:
Пример 11
Найти неопределенный интеграл.
Пример 12
Найти неопределенный интеграл.
Решения в конце урока.
Пример 13
Найти неопределенный интеграл.
Смотрим в таблицу производных и находим наш арккосинус: . У нас в подынтегральном выражении находится арккосинус и нечто похожее на его производную.
Общее правило:
Заобозначаем саму функцию (а не её производную).
В данном случае: . Осталось выяснить, во что превратится оставшаяся часть подынтегрального выражения .
В этом примере нахождение я распишу подробно поскольку – сложная функция.
Или короче:
По правилу пропорции выражаем нужный нам остаток:
Таким образом:
Вот здесь подвести функцию под знак дифференциала уже не так-то просто.
Пример 14
Найти неопределенный интеграл.
Пример для самостоятельного решения. Ответ совсем близко.
Внимательные читатели заметили, что я рассмотрел мало примеров с тригонометрическими функциями. И это не случайно, поскольку под интегралы от тригонометрических функций отведён отдельный урок. Более того, на указанном уроке даны некоторые полезные ориентиры для замены переменной, что особенно актуально для чайников, которым не всегда и не сразу понятно, какую именно замену нужно проводить в том или ином интеграле. Также некоторые типы замен можно посмотреть в статье Определенный интеграл. Примеры решений.
Более опытные студенты могут ознакомиться с типовой заменой в интегралах с иррациональными функциями. Замена при интегрировании корней является специфической, и её техника выполнения отличается от той, которую мы рассмотрели на этом уроке.
Желаю успехов!
Пример 3:Решение:
Пример 4:Решение:
Пример 7:Решение:
Пример 9:Решение:
Замена:
Пример 11:Решение:
Проведем замену:
Пример 12:Решение:
Проведем замену:
Пример 14:Решение:
Проведем замену:
Интегрирование по частям. Примеры решений
И снова, здравствуйте. Сегодня на уроке мы научимся интегрировать по частям. Метод интегрирования по частям – это один из краеугольных камней интегрального исчисления. На зачете, экзамене студенту почти всегда предлагают решить интегралы следующих типов: простейший интеграл (см. статьюНеопределенный интеграл. Примеры решений) либо интеграл на замену переменной (см. статьюМетод замены переменной в неопределенном интеграле)либо интеграл как раз на метод интегрирования по частям.
Для эффективного изучения темы необходимо хорошо ориентироваться в материалах двух вышеуказанных уроков. Если Вы чайник, и только-только начинаете погружение в удивительный мир интегралов, то читать далее не имеет особого смысла – следует начать с урока Неопределенный интеграл. Примеры решений.
Как всегда, под рукой должны быть: Таблица интегралов и Таблица производных. Если у Вас до сих пор их нет, то, пожалуйста, посетите кладовку моего сайта: Математические формулы и таблицы. Не устану повторять – лучше всё распечатать. Весь материал я постараюсь изложить последовательно, просто и доступно, в интегрировании по частям нет особых трудностей.
Какую задачу решает метод интегрирования по частям? Метод интегрирования по частям решает очень важную задачу, он позволяет интегрировать некоторые функции, отсутствующие в таблице, произведение функций, а в ряде случаев – и частное. Как мы помним, нет удобной формулы: . Зато есть такая: – формула интегрирования по частям собственной персоной. Знаю, знаю, ты одна такая – с ней мы и будем работать весь урок (уже легче).
И сразу список в студию. По частям берутся интегралы следующих видов:
1) , , – логарифм, логарифм, умноженный на какой-нибудь многочлен.
2) , – экспоненциальная функция, умноженная на какой-нибудь многочлен. Сюда же можно отнести интегралы вроде – показательная функция, умноженная на многочлен, но на практике процентах так в 97, под интегралом красуется симпатичная буква «е». … что-то лирической получается статья, ах да… весна же пришла.
3) , , – тригонометрические функции, умноженные на какой-нибудь многочлен.
4) , – обратные тригонометрические функции («арки»), «арки», умноженные на какой-нибудь многочлен.
Также по частям берутся некоторые дроби, соответствующие примеры мы тоже подробно рассмотрим.
Интегралы от логарифмов
Пример 1
Найти неопределенный интеграл.
Классика. Время от времени данный интеграл можно встретить в таблицах, но пользоваться готовым ответом нежелательно, так как у преподавателя весенний авитаминоз и он сильно заругается. Потому что рассматриваемый интеграл отнюдь не табличный – он берётся по частям. Решаем:
Прерываем решение на промежуточные объяснения.
Используем формулу интегрирования по частям:
cyberpedia.su
Замена переменной в определенном интеграле | Высшая математика | Студенту | Статьи и обсуждение вопросов образования в Казахстане | Образовательный сайт Казахстана
При вычислении определенных интегралов с использованием формулы Ньютона-Лейбница предпочтительно жестко не разграничивать этапы решения задачи (нахождение первообразной подынтегральной функции, нахождение приращения первообразной). Такой подход, использующий, в частности, формулы замены переменной и интегрирования по частям для определенного интеграла, обычно позволяет упростить запись решения.ТЕОРЕМА. Пусть функция φ(t) имеет непрерывную производную на отрезке [α,β], а=φ(α), в=φ(β) и функция f(х) непрерывна в каждой точке х вида х=φ(t), где t[α,β].
Тогда справедливо следующее равенство:
Эта формула носит название формулы замены переменной в определенном интеграле.
Подобно тому, как это было в случае неопределенного интеграла, использование замены переменной позволяет упростить интеграл, приблизив его к табличному (табличным). При этом в отличие от неопределенного интеграла в данном случае нет необходимости возвращаться к исходной переменной интегрирования. Достаточно лишь найти пределы интегрирования α и β по новой переменной t как решение относительно переменной t уравнений φ(t)=а и φ(t)=в. На практике, выполняя замену переменной, часто начинают с того, что указывают выражение t=ψ(х) новой переменной через старую. В этом случае нахождение пределов интегрирования по переменной t упрощается: α=ψ(а), β=ψ(в).
Пример 19. Вычислить
Положим t=2-х2. Тогда dt=d(2-х2)=(2-х2)’dx=-2xdx и xdx=-dt. Если х=0, то t=2-02=2, и если х=1, то t=2-12=1. Следовательно:
Пример 20. Вычислить
Воспользуемся заменой переменной . Тогда и . Если х=0, то t=1 и, если х=5, то t=4. Выполняя замену, получим:
Пример 21. Вычислить
Положим t=ex. Тогда x=lnt, dx=dt/t и, если x=ln2, то t=2, если х=ln3, то t=3. Выполняя замену, получаем:
Порядок вывода комментариев: По умолчаниюСначала новыеСначала старые
testent.ru
