Показательные уравнения
Основные понятия и свойства
Первоначально приведем основные свойства степеней, посредством применения которых преобразуются показательные уравнение.
Пусть , ,
,
и
натуральные числа, тогда
1. ,
2.
,
3. ,
4.
,
5.
,
6. 
7. .
8. .
При решении некоторых показательных уравнений можно эффективно использовать свойства монотонности функции .
1. Если , то функция является убывающей на всей числовой оси
.
2. Если
, то функция возрастает для любых
.
Также при решении показательных уравнений в ряде случаев используется основное логарифмическое свойство , где ,
и .
Рассмотрим примеры задач на решение показательных уравнений, расположенных в порядке возрастания их сложности.
Примеры решения задач
Пример 1. Решить уравнение
. (1)
Решение. Так как
и , то уравнение (1) равносильно уравнению
. Отсюда получаем
или . Корнями квадратного уравнения являются и .
Ответ:
,
.
Пример 2. Решить уравнение
. (2)
Решение. Обозначим и перепишем уравнение (2) в виде равносильного квадратного уравнения , где .
Уравнение имеет единственный положительный корень
. Так как
, то , и
.
Ответ: .
Пример 3. Решить уравнение
. (3)
Решение. Если обозначить
, то уравнение (3) примет вид
,
, ,
, или .
Отсюда следует, что 
. Ответ:
.
Пример 4. Решить уравнение
. (4)
Решение. Так как , то и из уравнения (4) получаем , или
. Корнями данного уравнения являются
и
.
Ответ: ,
.
Пример 5. Решить уравнение
. (5)
Решение. Поскольку и , то уравнение (5) можно переписать как . Отсюда следует, что или . Корнями квадратного уравнения являются и .
Ответ: ,
.
Пример 6. Решить уравнение
. (6)
Решение. Обозначим
и из уравнения (6) получим квадратное уравнение , где
.
Так как уравнение имеет единственный положительный корень
, то
и 
Ответ:
.
Пример 7. Решить уравнение
. (7)
Решение. Разделим обе части уравнения (7) на выражение и получим квадратное уравнение , где
и
.
Так как
, то
или
.
Ответ: .
Пример 8. Решить уравнение
. (8)
Решение. Нетрудно видеть, что значение
является корнем уравнения (8). Покажем, что это уравнение других корней не имеет. Для этого обе части уравнения разделим на выражение
и получим
. (9)
Так как функции
и
являются монотонными на всей числовой оси
, причем первая из них убывает, а вторая возрастает, то уравнение (9) не может иметь более одного корня.
Ответ:
.
Пример 9. Решить уравнение
. (10)
Решение. Обозначим
и перепишем уравнение (10) в виде кубического уравнения
, (11)
где . Так как и
, то уравнение (11) равносильно уравнению .
Следовательно, имеем 
и
. Ответ:
.
Пример 10. Решить уравнение
. (12)
Решение. Обозначим . Так как
,
то
и уравнение (12) принимает вид
или
. (13)
Решая уравнение (13), получаем и . Рассмотрим два случая.
1. Если , то и 
2. Если , то или
.
В таком случае .
Ответ:
,
.
Пример 11. Решить уравнение
. (14)
Решение. Из уравнения (14) следует, что . Преобразуем уравнение (14) следующим образом: ,
или ,
где
и . Уравнение имеет два положительных корня:
и 
Так как
, то
и
. Отсюда следует, что
и . Однако , поэтому уравнение (14) имеет только один первый корень.
Ответ:
.
Пример 12. Решить уравнение
. (15)
Решение. Обозначим . Так как
, то или . В этой связи уравнение (15) принимает вид или , где
и
.
Так как уравнение имеет один положительный корень
, то
или .
Однако , поэтому , или
.
Ответ:
blog.tutoronline.ru
Простейшие показательные уравнения, тест | Подготовка к ЕГЭ по математике
В Заданиях №5 ЕГЭ по математике проверяется умение решать простейшие
рациональные,
иррациональные,
показательные,
логарифмические,
тригонометрические уравнения.
Сейчас мы рассмотрим основные типы простейших показательных уравнений, которые могут встретится на экзамене. Если вы плохо помните свойства степеней, то загляните прежде сюда.
Хорошо, если вы помните значения основных натуральных степеней:
Но, согласитесь, можно и не удержать в голове, что, например, 2187 – это седьмая степень тройки. Какие наши действия, если в показательных уравнениях нам попадается, например, 2187?
Во-первых, понимаем, что число делится на 3, так как сумма цифр числа делится на 3. Берем, и делим 2187 на 3. Получим 729. Еще раз делим на 3, если не узнаем по-прежнему, что перед нами шестая степень тройки. Получаем 243… И так далее. В итоге, сообразим, что .
Задание 1.
Найдите корень уравнения .
Решение: + показать Заметим, . Поэтому, уравнение перепишем так: Равны основания, значит, чтобы выполнялось равенство, необходимо, чтобы Ответ: -1.
Задание 2.
Решить уравнение:
Решение: + показать Что скрыто от нас в левой части уравнения? Поэтому перепишем уравнение следующим образом: Тогда Ответ: 1.
Задание 3.
Решить уравнение:
Решение: + показать
Задание 4.
Решить уравнение:
Решение: + показать
Задание 5.
Решить уравнение:
Решение: + показать Поскольку основания – разные, а сами степени при этом равны, то это возможно только в случае, когда показатели степеней нулевые. Ответ: 11.
Задание 6.
Решите уравнение
Решение: + показать Применяем к свойство степени №2, получаем следующее уравнение: . И разделим обе части равенства на , применяя все то же свойство степени №2: Откуда Ответ: -1,5.
Задание 7.
Решите уравнение
Решение: + показать Ответ: -1.
Задание 8.
Решите уравнение В ответе укажите наименьший из корней, если их несколько.
Решение: + показать
Вы можете пройти тест №3 по теме «Задачи №5».
egemaximum.ru
49. Показательные уравнения, показательно-степенные уравнения
Показательным уравнением называется уравнение, которое содержит неизвестную величину в показателе степени при постоянном основании A (A > 0).
Типы показательных уравнений и способы их решения
Всюду далее F(X), G(X) – некоторые выражения с неизвестной величиной X.
I тип: уравнение вида
где (6.2)
Имеет решение, если B > 0. Его решают логарифмированием по основанию A:
Тогда
(6.3)
Решение уравнения (6.3) производят соответственно типу этого уравнения.
II тип: Уравнение вида
где (6.4)
По свойству равенства степеней равносильно уравнению
Последнее уравнение решают в зависимости от его типа.
III тип: уравнение вида
(6.5)
Где F – некоторое выражение относительно
Производят замену переменной и решают уравнение F(Y) = 0.
Если – корни уравнения, то после возвращения к старой переменной решение уравнения (6.5) сводится к решению равносильной ему совокупности уравнений
IV тип: уравнения, решаемые графическим методом.
Для таких уравнений строят соответствующие графики для левой и правой частей уравнения. Определяют, для каких значений X графики имеют общую ординату. Используют также иные функциональные свойства, в частности, монотонность функции (возрастание, убывание).
Показательно-степенным уравнением называется уравнение, в котором неизвестная величина содержится и в основании степени, и в показателе. Такие уравнения принято решать при условии, что основания степени положительны (ОДЗ уравнения).
Типы показательно-степенных уравнений
И способы их решения
Всюду далее F(X), G(X), H(X) – Некоторые выражения с неизвестной X, F(X) > 0.
I тип: уравнение вида
(6.6)
Решение уравнения (6.6) на ОДЗ сводится к решению совокупности
II тип: уравнение вида
(6.7)
Решение уравнения (6.7) на ОДЗ сводится к решению совокупности
Пример 1. Решить уравнение
Решение. 1-й способ. Имеем уравнение I типа (формула (6.2)). Решаем логарифмированием по основанию 3. Получаем:
т. е.
Приходим к линейному уравнению
Откуда
2-й способ. Преобразуем правую часть при помощи основного логарифмического тождества:
Получили уравнение II типа (формула (6.4)), которое решаем по свойству равенства степеней:
Пришли к ответу:
Пример 2. Решить уравнение
Решение. Выполним необходимые преобразования, сведем показательные выражения к одному и тому же основанию 3:
По свойству степеней:
Получаем ответ: Х = 0.
Пример 3. Решить уравнение
Решение. Преобразуем уравнение
Имеем квадратное уравнение относительно 2Х. Решаем при помощи замены Получаем:
Корнями последнего уравнения являются значения
Возвращаясь к неизвестной X, имеем совокупность:
Первое уравнение совокупности решений не имеет. Решаем второе уравнение:
т. е.
Получили ответ: Х = 3.
Пример 4. Решить уравнение
Решение. Выполним необходимые преобразования:
Имеем однородное уравнение. Разделим обе части уравнения на 92Х (92Х ¹ 0). Получим:
Т. е. получили квадратное уравнение относительно Вводим замену Тогда
Откуда
Возвращаемся к старой переменной:
Получили ответ:
Пример 5. Решить уравнение
Решение. 1-й способ. Подбором убеждаемся, что Х = 2– корень уравнения. Функции (т. е. ) и монотонно возрастают (рис. 6.12). Они имеют единственную общую точку.
Рис. 6.12
2-й способ. Разделим обе части уравнения на 2Х. Получим:
или
Заменим Получим
При Х = 2 получим основное тригонометрическое тождество, т. е. Х = 2 является корнем исходного уравнения.
Получили ответ: Х = 2.
Пример 6. Решить уравнение
Решение. ОДЗ: X = 2, 3, …, N, … .
Перепишем уравнение в виде
Разделим обе части уравнения на (так как ). Получим:
Вводим замену
Получаем квадратное уравнение откуда
Возвращаемся к старой переменной:
Но ни один из корней не подходит по ОДЗ. Следовательно, уравнение корней не имеет.
Пример 7. Решить уравнение
Решение. ОДЗ: X ¹ 2.
Решением является совокупность
Корень X = 2 не подходит по ОДЗ.
Получили ответ: X = 1, X = 3.
| < Предыдущая | Следующая > |
|---|
matica.org.ua
Методы решения уравнений высших степеней
Методы решения уравнений высших степеней.
I) Решение уравнений с помощью деления в столбик.
Очевидно
— корень уравнения
Очевидно
— корень уравнения
Ответ: -5;2;3;4
II) Возвратные уравнения и к ним сводящиеся.
Уравнение называется возвратным, если
в нем коэффициенты равноудаленные от
концов совпадают, т.е.
,
,
1) Возвратные уравнения четной степени.
т.к.
— не является корнем уравнения, то
разделим обе части уравнения на
.
Введем замену.
Пусть
,
,
получим
;
Вернемся к замене.
или


корней
нет
Ответ: 
2) Возвратные уравнения нечетной степени.
Любое возвратное уравнение нечетной степени сводится к квадратному уравнению четной степени, т.к у любого возвратного ур–ия нечетной степени один из корней всегда равен –1
Очевидно
— корень уравнения.
или
т.к
— не является корнем уравнения, то
разделим обе части
уравнения на 
Введем замену.
Пусть
,
,
,
получим
или
или






корней нет 

Ответ:
,
,
III)
Уравнения вида,
где
решаются как возвратные.
IV) Замена переменных по явным признакам.
V) В следующих уравнениях используется “идея однородности”.
Пример №1
Введем замену.
Пусть
,
,
тогда
1) если
,
тогда
,
тогда

решений нет
2) Разделим обе части уравнения на
,
получим
Решим последнее уравнение, как квадратное
относительно
,
получим
;
;
Вернемся к замене.
или
корней нет

Ответ: 
Пример №2.

Пусть
,
,
тогда
Найдем
Составим систему:

Решая систему подстановкой, получим
или




корней нет
;
Ответ:
;
Пример №3.
— не является корнем уравнения
Разделим обе части уравнения на , получим
Введем замену.
Пусть
,
тогда
;
или
;
;
Ответ:
;
;
;
VI) Уравнения вида, гдеэффективно решать перемножениеми, а затем делать замену.
VII) В уравнениях вида и в уравнениях к ним сводящимся, в знаменателях обоих дробей необходимо вынести х за скобки и сделать замену.
(1)
(2)
При переходе
область определения уравнения сузилась
на
.
Проверим, является ли
корнем уравнения. Не является.
Введем замену.
Пусть
,
,
тогда

;
или

Ответ:
;
VIII)
В уравнениях вида
обе части уравнения делятся на
— не является корнем уравнения. Разделим
на
,
получим
Введем замену.
Пусть
;
,
тогда
;
или


Ответ:
;
IX) Выделение полного квадрата.


Введем замену.
Пусть
,
тогда
;
Вернемся к замене.
или
корней нет
Ответ:
X) Решение уравнений с помощью формулы
или
корней
нет
XI)
Уравнения вида
и к ним сводящиеся решаются при помощи
замены
Введем замену.
Пусть
,
тогда
иликорней нет
;
Вернемся к замене.
или


Ответ:
;
XII) Решение уравнений относительно коэффициентов.


или
;
— посторонний корень
корней нет 


Ответ:
;
XIII) Метод разложения на простейшие дроби.

Ответ: 
studfiles.net
Показательно-степенные уравнения и неравенства
белгородский государственный университет
КАФЕДРА алгебры, теории чисел и геометрии
Тема работы: Показательно-степенные уравнения и неравенства.
Дипломная работа студента физико-математического факультета
Научный руководитель:
______________________________
Рецензент : _______________________________
________________________
Белгород. 2006 г.
Содержание.
Введение.
«…радость видеть и понимать…»
А.Эйнштейн.
В этой работе я попыталась передать свой опыт работы учителем математики, передать хоть в какой-то степени свое отношение к ее преподаванию — человеческому делу, в котором удивительным образом переплетаются и математическая наука, и педагогика, и дидактика, и психология, и даже философия.
Мне довелось работать с малышами и выпускниками, с детьми, стоящими на полюсах интеллектуального развития: теми, кто состоял на учете у психиатра и кто действительно интересовался математикой
Мне довелось решать множество методических задач. Я попытаюсь рассказать о тех из них, которые мне удалось решить. Но еще больше — не удалось, да и в тех, что вроде бы решены, появляются новые вопросы.
Но еще важнее самого опыта — учительские размышления и сомнения: а почему он именно такой, этот опыт?
И лето нынче на дворе иное, и разворот образования стал поинтереснее. «Под юпитерами» нынче не поиски мифической оптимальной системы обучения «всех и всему», а сам ребенок. Но тогда — с необходимостью — и учитель.
В школьном курсе алгебры и начал анализа, 10 – 11 класс, при сдаче ЕГЭ за курс средней школы и на вступительных экзаменах в ВУЗы встречаются уравнения и неравенства, содержащее неизвестное в основании и показатели степени – это показательно-степенные уравнения и неравенства.
В школе им мало уделяется внимания, в учебниках практически нет заданий на эту тему. Однако, овладение методикой их решения, мне кажется, очень полезным: оно повышает умственные и творческие способности учащихся, перед нами открываются совершенно новые горизонты. При решении задач ученики приобретают первые навыки исследовательской работы, обогащается их математическая культура, развиваются способности к логическому мышлению. У школьников формируются такие качества личности как целеустремленность, целеполагание, самостоятельность, которые будут полезны им в дальнейшей жизни. А также происходит повторение, расширение и глубокое усвоение учебного материала.
Работать над данной темой дипломного исследования я начала еще с написания курсовой. В ходе, которой я глубже изучила и проанализировала математическую литературу по этой теме, выявила наиболее подходящий метод решения показательно-степенных уравнений и неравенств.
Он заключается в том, что помимо общепринятого подхода при решении показательно-степенных уравнений (основание берется больше 0) и при решении тех же неравенств (основание берется больше 1 или больше 0, но меньше 1), рассматриваются еще и случаи, когда основания отрицательны, равны 0 и 1.
Анализ письменных экзаменационных работ учащихся показывает, что неосвещенность вопроса об отрицательном значении аргумента показательно-степенной функции в школьных учебниках, вызывает у них ряд трудностей и ведет к появлению ошибок. А также у них возникают проблемы на этапе систематизации полученных результатов, где могут в силу перехода к уравнению – следствию или неравенству – следствию, появиться посторонние корни. С целью устранения ошибок мы используем проверку по исходному уравнению или неравенству и алгоритм решения показательно-степенных уравнений, либо план решения показательно-степенных неравенств.
Чтобы учащиеся смогли успешно сдать выпускные и вступительные экзамены, я считаю, необходимо уделять больше внимания решению показательно-степенных уравнений и неравенств на учебных занятиях, либо дополнительно на факультативах и кружках.
Таким образом тема , моей дипломной работы определена следующим образом: «Показательно-степенные уравнения и неравенства».
Целями настоящей работы являются:
1. Проанализировать литературу по данной теме.
2. Дать полный анализ решения показательно-степенных уравнений и неравенств.
3. Привести достаточное число примеров по данной теме разнообразных типов.
4. Проверить на урочных, факультативных и кружковых занятиях как будет восприниматься предлагаемые приемы решения показательно-степенных уравнений и неравенств. Дать соответствующие рекомендации к изучению этой темы.
Предметом нашего исследования является разработка методики решения показательно-степенных уравнений и неравенств.
Цель и предмет исследования потребовали решения следующих задач:
1. Изучить литературу по теме: «Показательно-степенные уравнения и неравенства».
2. Овладеть методиками решения показательно-степенных уравнений и неравенств.
3. Подобрать обучающий материал и разработать систему упражнений разных уровней по теме: «Решение показательно-степенных уравнений и неравенств».
В ходе дипломного исследования было проанализировано более 20 работ, посвященных применению различных методов решения показательно-степенных уравнений и неравенств. Отсюда получаем.
План дипломной работы:
Введение.
Глава I. Анализ литературы по теме исследования.
Глава II. Функции и их свойства, используемые при решении показательно-степенных уравнений и неравенств.
II.1. Степенная функция и ее свойства.
II.2. Показательная функция и ее свойства.
Глава III. Решение показательно-степенных уравнений, алгоритм и примеры.
Глава IV. Решение показательно-степенных неравенств, план решения и примеры.
Глава V. Опыт проведения занятий со школьниками по данной теме.
1.Обучающий материал.
2.Задачи для самостоятельного решения.
Заключение. Выводы и предложения.
Список использованной литературы.
В I главе проанализирована литература по теме: «Решения показательно-степенных уравнений и неравенств».
В II главе теоретические сведения о степенной и показательной функциях и применение их свойств при решении показательно-степенных уравнений и неравенств, выявляются недостатки в понимании учащимися отрицательного аргумента показательно-степенной функции.
В III главе «Решение показательно-степенных уравнений, алгоритм и примеры» приведен полный анализ решения показательно-степенных уравнений, рассмотрен алгоритм решения показательно-степенных уравнений и примеры, и примеры в которых он применяется.
В IV главе «Решение показательно-степенных неравенств, план решения и примеры» приведен полный анализ решения показательно-степенных неравенств и рассмотрен план решения показательно-степенных неравенств и примеры, в которых он применяется.
В V главе рассматривается методика обучения учащихся решению показательно-степенных уравнений и неравенств, приведен обучающий материал, разработана система заданий с учетом разного уровня сложности, которая содержит в себе задания используемые на уроке, задания для самостоятельного решения.
Глава II . Функции и их свойства, используемые при решении показательно-степенных уравнений и неравенств.
Для решения показательно-степенных уравнений и неравенств необходимо знать свойства показательной и степенной функции и уметь ими пользоваться. В этой главе мы рассмотрим данный вопрос.
II .1. Степенная функция и ее свойства.
Степенная функция с натуральным показателем. Функция у = х n , где n — натуральное число, называется степенной функцией с натуральным показателем. При n = 1 получаем функцию у = х, ее свойства:Прямая пропорциональность . Прямой пропорциональностью называется функция, заданная формулой у = kxn , где число k называется коэффициентом пропорциональности.
Перечислим свойства функции у = kx .
1) Область определения функции — множество всех действительных чисел.
2) y = kx — нечетная функция ( f ( — х) = k ( — х)= — kx = — k (х)).
3) При k > 0 функция возрастает, а при k < 0 убывает на всей числовой прямой.График (прямая) изображен на рисунке II.1.
Рис. II.1.
При n =2 получаем функцию y = х2 , ее свойства:
Функция у —х2 . Перечислим свойства функции у = х2 .
mirznanii.com
показательные уравнения | математика-повторение
Многие показательные уравнения заменой переменной сводятся к квадратному уравнению вида: ax2+bx+c=0.
Примеры.
Решить уравнение:
1) 4x+2x+1-3=0. Представим 4x в виде степени с основанием 2.
(22)x+2x∙21-3=0; при возведении степени в степень основание оставляют, а показатели перемножают: 2·х=х·2, поэтому:
(2x)2+2∙2x-3=0;
вводим новую переменную: пусть 2x=y;
y2+2y-3=0.
Дискриминант для четного второго коэффициента: D1=12-1∙(-3)=1+3=4=22 – полный квадрат, поэтому применим теорему Виета: сумма корней приведенного квадратного уравнения равна второму коэффициенту, взятому с противоположным знаком, а произведение корней равно свободному члену.
y1+y2=-2, y1∙y2=-3. Подбираем корни: y1=-3, y2=1.
Возвращаемся к переменной х:
1) 2x=-3, нет решений, так как значения показательной функции: Е(у)=(0; +∞). (только положительные числа).
2) 2x=1. Число 1 можно представлять в виде нулевой степени по любому основанию.
2x=20;
x=0.
Ответ: 0.
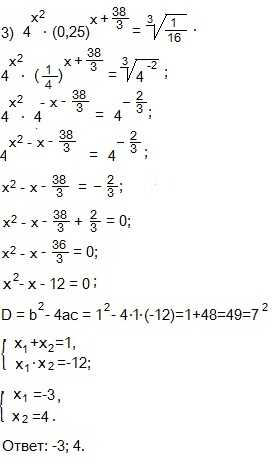
2) 0,252x-5∙0,52x+4=0. Решаем аналогично. Представляем 0,252x— в виде степени с основанием 0,5.
(0,52)2x-5∙0,52x+4=0;
(0,52x)2-5∙0,52x+4=0.
0,52x=y; ввели новую переменную у и получили приведенное квадратное уравнение:
y2—5y+4=0;
Дискриминант D=b2-4ac=52-4∙1∙4=25-16=9=32 — полный квадрат, применяем теорему Виета: сумма корней приведенного квадратного уравнения равна второму коэффициенту, взятому с противоположным знаком, а произведение корней равно свободному члену.
y1+y2=5, y1+y2=4. Корни приведенного квадратного уравнения находим подбором: y1=1, y2=4 и возвращаемся к переменной х:
1) 0,52x=1; число 1 можно представлять в виде нулевой степени по любому основанию.
0,52x=0,50;
2x=0;
x=0.
2) 0,52x=4; приведем степень 0,52x к основанию 2, применив формулу: (1/a)x =а-х
(1/2)2x=22;
2-2x=22; приравниваем показатели:
— 2x=2 |:(-2)
x=-1.
Ответ: -1; 0.
Представим левую и правую части в виде степеней с основанием 4, используя формулы: а-х=1/ax и ax∙ay=ax+y .
Если равны две степени с одинаковыми основаниями, то основания можно опустить и приравнять показатели степеней. Переносим дробь из правой части равенства в левую и упрощаем левую часть.
Находим дискриминант приведенного квадратного уравнения. Дискриминант является квадратом целого числа, поэтому, подбираем корни, пользуясь теоремой Виета: сумма корней приведенного квадратного уравнения равна второму коэффициенту, взятому с противоположным знаком, а произведение корней равно свободному члену.
Уравнения, содержащие переменную в показателе степени, называются показательными уравнениями.
Простейшие показательные уравнения — это уравнения вида: ax=ay. Отсюда следует равенство: х=у. В самом деле, степени с одинаковыми основаниями могут быть равными только в том случае, если равны показатели этих степеней.
Примеры.
Решить уравнение:
1) 5x=125. Представим число 125 в виде степени числа 5:
5x=53; Степени равны, их основания равны, значит, и показатели степеней будут равны:
x=3.
2) 4x=32. Представим левую и правую части в виде степеней с основанием 2:
(22)x=25; используем формулу возведения степени в степень: (ax)y=axy
22x=25;
2x=5 |:2
x=2,5.
3) 32x-1=81. Число 81 представим в виде степени числа 3:
32x-1=34; приравняем показатели степеней с одинаковыми основаниями:
2x-1=4; решаем простейшее линейное уравнение:
2x=4+1;
2x=5 |:2;
x=2,5.
К правой части применяем формулу: (a/b)-x=(b/a)x. Получим равенство степеней с одинаковыми основаниями.
Приравниваем показатели степеней и находим х из полученного линейного уравнения.

Приравняем показатели степеней с одинаковыми основаниями.
Переносим степень из правой части уравнения в левую.
Вынесли общий множитель (2х-6) за скобки. Произведение двух или нескольких множителей равно нулю, если один из множителей равен нулю, а другие при этом значении не теряют смысла. Содержимое каждой из скобок приравниваем к нулю и решаем простейшие уравнения.
6) 7∙5x-5x+1=2∙53.
Показатели степеней складываются, если степени перемножаются ( ax∙ay=ax+y ), поэтому:
7∙5x-5x∙51=2∙53;
5x(7-5)=2∙53; вынесли общий множитель за скобки.
5x∙2=2∙53 |:2
5x=53; отсюда следует:
x=3.
7) 3x+2+4∙3x+1=21. Применим формулу: ax+y=ax∙ay (При умножении степеней с одинаковыми основаниями основание оставляют прежним, а показатели складывают):
3x∙32+4∙3x∙31=21; вынесем общий множитель за скобки:
3x(9+12)=21;
3x∙21=21 |:21
3x=1; число 1 можно представлять в виде нулевой степени с любым основанием.
3x=30;
x=0.
51+2x+52x+3=650. Решаем аналогично.
51∙52x+52x∙53=650;
52x(5+125)=650;
52x∙130=650 |:130
52x=5; приравняем показатели равных степеней с основаниями 5.
2x=1 |:2
x=0,5.
www.mathematics-repetition.com
11. Методы решения показательных уравнений
Приведение к одному основанию | Логарифмирование обеих частей уравнения | ||
Вынесение за скобку | Составление отношения | Замена переменной | |
12. Логарифмы
Логарифмом положительного числа а по положительному и не равному единице основанию b называется показатель степени, в который надо возвести число b, чтобы получить а. | ||||
тогда и только тогда, когда | b c=a. | |||
Основное логарифмическое тождество: . | ||||
Свойства логарифмов | ||||
Основные соотношения | Дополнительные соотношения | |||
Логарифм произведения: . Логарифм частного: . Логарифм степени: . Переход к новому основанию: . | ||||
Примеры | ||||
Сравнить: Так как то | ||||
13. Логарифмическая функция
Р
ешение простейших логарифмических уравнений основано на монотон-ности логарифмической функции (а>0, а≠1).
.
у уx>0
при любом
у
а>11 0<а<1
0 1 а х 0 1 х
возрастающая функция убывающая функция
14. Методы решения логарифмических уравнений
Метод уравнивания оснований | |
Замена переменной | Потенцирование уравнений |
15. Тригонометрические функции
Косинусом числа t называется абсцисса точки Рt единичной окружности, а синусом – ордината этой точки. у 1 sin t Рt (cos t; sin t) 1 0 t 1 cos t х 1 | Тангенсом числа t называется отношение sin t к cos t (cost≠0). Ось тангенсов – прямая х=1. Котангенсом числа t называется отношение cos t к sin t. Ось котангенсов – прямая у=1. у х=1 N(ctg t; 1) 1 ty=1 t 0 1 x M(1; tg t) | ||||||||||||
Основные формулы | Дополнительные формулы | ||||||||||||
t | | + | |||||||||||
cost | cos | cos | sin | sin | sin | sin | |||||||
sint | sin | sin | cos | cos | cos | cos | |||||||
tgt | tg | tg | ctg | ctg | ctg | ctg | |||||||
Периодичность | Четность | ||||||||||||
Значения тригонометрических функций некоторых углов | |||||||||||||
, рад | 0 | /6 | /4 | /3 | /2 | | 3/2 | ||||||
00 | 300 | 450 | 600 | 900 | 1800 | 2700 | |||||||
sin | 0 | 1 | 0 | –1 | |||||||||
cos | 1 | 0 | –1 | 0 | |||||||||
tg | 0 | 1 | не опр. | 0 | не опр. | ||||||||
ctg | не опр. | 1 | 0 | не опр. | 0 | ||||||||
Тригонометрические функции в прямоугольном треугольнике с b а | |||||||||||||
Формулы понижения степени | Дополнительные формулы | ||||||||||||
studfiles.net
