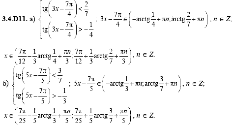
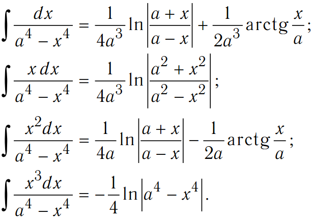
| 1 | Найти точное значение | sin(30) | |
| 2 | Найти точное значение | sin(45) | |
| 3 | Найти точное значение | sin(30 град. ) | |
| 4 | Найти точное значение | sin(60 град. ) | |
| 5 | Найти точное значение | tan(30 град. ) | |
| 6 | Найти точное значение | arcsin(-1) | |
| 7 | Найти точное значение | sin(pi/6) | |
| 8 | cos(pi/4) | ||
| 9 | Найти точное значение | sin(45 град. ) | |
| 10 | Найти точное значение | sin(pi/3) | |
| 11 | Найти точное значение | arctan(-1) | |
| 12 | Найти точное значение | cos(45 град. ) | |
| 13 | Найти точное значение | cos(30 град. ) | |
| 14 | Найти точное значение | tan(60) | |
| 15 | Найти точное значение | csc(45 град. ) | |
| 16 | Найти точное значение | tan(60 град. ) | |
| 17 | Найти точное значение | sec(30 град. ) | |
| 18 | Найти точное значение | cos(60 град. ) | |
| 19 | Найти точное значение | cos(150) | |
| 20 | Найти точное значение | sin(60) | |
| 21 | Найти точное значение | cos(pi/2) | |
| 22 | Найти точное значение | tan(45 град. ) | |
| 23 | Найти точное значение | arctan(- квадратный корень из 3) | |
| 24 | Найти точное значение | csc(60 град. ) | |
| 25 | Найти точное значение | sec(45 град. ) | |
| 26 | Найти точное значение | csc(30 град. ) | |
| 27 | Найти точное значение | sin(0) | |
| 28 | Найти точное значение | sin(120) | |
| 29 | Найти точное значение | cos(90) | |
| 30 | Преобразовать из радианов в градусы | pi/3 | |
| 31 | Найти точное значение | tan(30) | |
| 32 | Преобразовать из градусов в радианы | 45 | |
| 33 | Найти точное значение | cos(45) | |
| 34 | Упростить | sin(theta)^2+cos(theta)^2 | |
| 35 | Преобразовать из радианов в градусы | pi/6 | |
| 36 | Найти точное значение | cot(30 град. ) | |
| 37 | Найти точное значение | arccos(-1) | |
| 38 | Найти точное значение | arctan(0) | |
| 39 | Найти точное значение | cot(60 град. ) | |
| 40 | Преобразовать из градусов в радианы | 30 | |
| 41 | Преобразовать из радианов в градусы | (2pi)/3 | |
| 42 | Найти точное значение | sin((5pi)/3) | |
| 43 | Найти точное значение | sin((3pi)/4) | |
| 44 | Найти точное значение | tan(pi/2) | |
| 45 | Найти точное значение | sin(300) | |
| 46 | Найти точное значение | cos(30) | |
| 47 | Найти точное значение | cos(60) | |
| 48 | Найти точное значение | cos(0) | |
| 49 | Найти точное значение | cos(135) | |
| 50 | Найти точное значение | cos((5pi)/3) | |
| 51 | Найти точное значение | cos(210) | |
| 52 | Найти точное значение | sec(60 град. ) | |
| 53 | Найти точное значение | sin(300 град. ) | |
| 54 | Преобразовать из градусов в радианы | 135 | |
| 55 | Преобразовать из градусов в радианы | 150 | |
| 56 | Преобразовать из радианов в градусы | (5pi)/6 | |
| 57 | Преобразовать из радианов в градусы | (5pi)/3 | |
| 58 | Преобразовать из градусов в радианы | 89 град. | |
| 59 | Преобразовать из градусов в радианы | 60 | |
| 60 | Найти точное значение | sin(135 град. ) | |
| 61 | Найти точное значение | sin(150) | |
| 62 | Найти точное значение | sin(240 град. ) | |
| 63 | Найти точное значение | cot(45 град. ) | |
| 64 | Преобразовать из радианов в градусы | (5pi)/4 | |
| 65 | Найти точное значение | sin(225) | |
| 66 | Найти точное значение | sin(240) | |
| 67 | Найти точное значение | cos(150 град. ) | |
| 68 | Найти точное значение | tan(45) | |
| 69 | Вычислить | sin(30 град. ) | |
| 70 | Найти точное значение | sec(0) | |
| 71 | Найти точное значение | cos((5pi)/6) | |
| 72 | Найти точное значение | csc(30) | |
| 73 | Найти точное значение | arcsin(( квадратный корень из 2)/2) | |
| 74 | Найти точное значение | tan((5pi)/3) | |
| 75 | Найти точное значение | tan(0) | |
| 76 | Вычислить | sin(60 град. ) | |
| 77 | Найти точное значение | arctan(-( квадратный корень из 3)/3) | |
| 78 | Преобразовать из радианов в градусы | (3pi)/4 | |
| 79 | Найти точное значение | sin((7pi)/4) | |
| 80 | Найти точное значение | arcsin(-1/2) | |
| 81 | Найти точное значение | sin((4pi)/3) | |
| 82 | Найти точное значение | csc(45) | |
| 83 | Упростить | arctan( квадратный корень из 3) | |
| 84 | Найти точное значение | sin(135) | |
| 85 | Найти точное значение | sin(105) | |
| 86 | Найти точное значение | sin(150 град. ) | |
| 87 | Найти точное значение | sin((2pi)/3) | |
| 88 | Найти точное значение | tan((2pi)/3) | |
| 89 | Преобразовать из радианов в градусы | pi/4 | |
| 90 | Найти точное значение | sin(pi/2) | |
| 91 | Найти точное значение | sec(45) | |
| 92 | Найти точное значение | cos((5pi)/4) | |
| 93 | Найти точное значение | cos((7pi)/6) | |
| Найти точное значение | arcsin(0) | ||
| 95 | Найти точное значение | sin(120 град. ) | |
| 96 | Найти точное значение | tan((7pi)/6) | |
| 97 | Найти точное значение | cos(270) | |
| 98 | Найти точное значение | sin((7pi)/6) | |
| 99 | Найти точное значение | arcsin(-( квадратный корень из 2)/2) | |
| 100 | Преобразовать из градусов в радианы | 88 град. |
Арктангенс- определение, свойства и формулы » Kupuk.net
Функции ctg, sin и cos сопровождаются арккотангенсом, арксинусом и арккосинусом. Пары одинаково важны при вычислении тригонометрических выражений, интегралов.
Арктангенс — это следствие arctg (y = arctg x). Чтобы найти значение числа х либо угла в радианах, рекомендуется использовать формулу tg a = m, свойства переменной величины. Дополнительно строится график.
Чётность и возрастание
Чтобы получить график арктангенса, используется кривая тангенса путём замены местами осей ординат и абсцисс. Для устранения многозначности используется интервал, на котором функция монотонна. Это определение считается основным значением арктангенса. Если показатель отрицательный, значит функция нечётная.
Главное свойство arctg — бесконечность на его области определения (для числа х). Так как y = arctg x, где y равен нулю, тогда x = 0, значит и arctg 0. При выполнении расчётов используется таблица арктангенсов.
В ней указаны значения в градусах и радианах, при определённых данных аргумента. Если вычисления выполняются на математическом веб-ресурсе, пользователю предоставляется возможность бесплатно использовать онлайн-калькулятор и таблицу Брадиса.
Можно вычислить синус, косинус, производную арктангенса в экселе либо с помощью языка программирования Паскаль.
Чтобы посчитать величину правильно, используются свойства функций. При помощи определения арксинуса выполняется уравнение sin (arcsin a)=a. Свойства других величин:
- косинус: cos (arccos a)=a;
- тангенс: tg (arctg a)=a;
- катангенс: ctg (arcctg a)=a.
В первых двух свойствах соблюдается условие −1≤a≤1. Если значение а выходит за указанные пределы, тогда функции нет смысла определять. Учитывая свойства синуса арксинуса, нельзя записать sin (arcsin8)=8, так как выражение sin (arcsin8) не имеет смысла. Аналогичный ответ получается, если необходимо определить разность арккосинуса sqrt (квадратный корень) из пяти.
Противоположные числа
Формулы, с помощью которых производится расчёт связи между производными: arcsin (-a)=-arcsina, arccos (-a)=пи-arccosa, arctg (-a)=-arctga, arcctg (-a)=пи-arcctga.
Должно соблюдаться условие −1≤a≤1. Если а принадлежит промежутку −∞ до +∞, тогда arctg (−a), и arcctg (−a).
Чтобы доказать первое отношение с противоположными числами, рассматривается определение arcsin (−a). Число либо угол находится в пределах −π/2-π/2 и синус, равный −a. Учитывая определение арксинуса, можно записать следующее равенство: −π/2≤arcsin a≤π/2.
На основе свойств неравенств, выполняется умножение составных частей на -а. Заменив знаки неравенств на противоположные, можно произвести умножение на -1: −π/2≤−arcsin a≤π/2.
Необходимо доказать, что sin (−arcsin a)=−a. Для этого рекомендуется придерживаться свойств противоположных углов. Из рассмотренных примеров можно сделать вывод: sin (−arcsin a)=−sin (arcsin a)=−a.
Аналогичным способом можно доказать, что arccos (−a)=π−arccos a. Используя определение производной функции, подтверждается, что π−arccos a — угол либо число, значение которого колеблется в пределах 0-π, а cos (π−arccos a)=−a.
Придерживаясь определения арккосинуса числа, выполняется неравенство 0≤arccos a≤π.
Используя свойства неравенств, перемножаются поочерёдно его части на -1, сменяются знаки. Решается неравенство из сумм частей и числа пи, при этом сохраняются знаки: −π+π≤−arccosa+π≤0+π. Получается двойное выражение вида 0≤π−arccos a≤π.
Если средняя часть уравнения равняется −a, тогда, придерживаясь формулы приведения, записывается следующее равенство cos (π−arccos a)=−cos (arcos a). С помощью свойства производной косинуса завершается доказательство cos (π−arccos a)=−cos (arcos a)=−a. Аналогичной схемы рекомендуется придерживаться при рассмотрении свойств арккотангенсов и арктангенсов противоположных знаков. Плюс утверждения — возможность избавиться от вычисления производных функций отрицательных чисел.
Сложение величин
Свойство, согласно которому устанавливается связь между arccos arcsin числа а, и между arctg и arcctg переменной, записывается следующим образом: arcsina+arccosa=пи/2, arctga+arcctga=пи/2.
Чтобы доказать первую часть равенства, где расписана сумма производных синуса и косинуса числа а, делённая на два, необходимо рассмотреть следующую запись: arcsin a=π/2−arccos a.
Основываясь на определение арксинуса, можно доказать, что выражение верно, когда π/2−arccos a — угол (цифровое значение), лежащий на промежутке −π/2 до π/2, а синус угла равен а. Чтобы показать такую действительность, используется определение арккосинуса и равенство 0≤arccos a≤π. Последнее выражение считается справедливым.
С учётом свойств неравенств, умножаются части на минус один, изменяются знаки. Полученные значения суммируются с числом π/2. Выполнив перечисленные действия, получается неравенство −π/2≤π/2−arccosa≤π/2. Чтобы показать, что sin (π/2−arccos a)=a, используется формула приведения, свойство производной функции косинус.
Доказано, что сумма arccos и arccos a равна π/2. Аналогично понадобится доказать, что сумма арккотангенса числа a и арктангенса равняется π/2.
Главное предназначение таких свойств заключается в том, что они выражают арксинус через акрккосинус одного числа, а также арккотангенс через арктангенс и наоборот.
Примеры и задачи
Задания на свойства функций и их производных от числа либо угла можно решить с помощью разных программ: excel, pascal. Действия будут зависеть от условий задачи. Решение должно основываться на основные признаки, доказанные либо утверждённые равенства. Свойствам производных отвечают следующие выражения:
- arcsin (sinx)=x;
- arccos (cosx)=x;
- arctg (tgx)=x;
- arcctg (ctgx)=x.
Равенства при определённых условий следуют из определений функций числа. Чтобы понять утверждения, необходимо доказать: arcsin (sin α)=α, при этом должно выполняться требование −π/2≤α≤π/2. Аналогичным образом доказываются оставшиеся свойства.
Если обозначить sin α=а, которое находится на отрезке [−1, 1], тогда получится выражение arcsin (sin α)=α, то есть arcsin a=α. Известно из условий задач, что −π/2≤α≤π/2. При решении через а обозначили sin α.
Поэтому можно записать, что arcsin a=α, что эквивалентно определению производной функции синуса. Вывод: arcsin (sin α)=α при условии, что −π/2≤α≤π/2. Разные свойства, связанные с синусом и косинусом, тангенсом и котангенсом, можно применить на практике.
Известно, аrcsin sin (-15)= -15 град., arccos (cos (2π/3))=2π/3, arctg (tg (0,2))=0,2. Нужно отметить, что выражение arcsin (sin α) справедливо на отрезке −π/2≤α≤π/2. Но равенство arcsin (sin α)=α имеет смысл только при соблюдении этого условия. Нельзя утверждать, что arcsin (sin (7π/4))=7π/4, так как 7π/4 не принадлежит указанному интервалу (−π/2-π/2).
Запись arccos (cos α) правдивая, не только при условии, что 0≤α≤π. Выражение arccos (cos α)=α считается справедливым только при таком условии.
Поэтому arccos (cos (−3π))=−3π не верно, так как −3π не принадлежит указанному отрезку. Схожие утверждения логичны и для arcctg (ctg α), arctg (tg α).
Используя определение всех функций, их признаки, тригонометрические формула можно получить другие равенства и уравнения, в которых отображается связь между arcsin, arcctg, arctg и arccos. Чтобы быстро решать задачи на данную тематику, рекомендуется выучить некоторые утверждённые равенства (arcsin 0=0, arccos 1=0, как угол arccos (-1)=180 градусов). Они описаны в специальных таблицах, которые можно найти в глобальной сети либо в учебниках по математике.
Arctg формулы приведения. Вывод формул обратных тригонометрических функций
Даны определения обратных тригонометрических функций и их графики. А также формулы, связывающие обратные тригонометрические функции, формулы сумм и разностей.
Определение обратных тригонометрических функций
Поскольку тригонометрические функции периодичны, то обратные к ним функции не однозначны.
Так, уравнение y = sin
x
,
при заданном ,
имеет бесконечно много корней. Действительно, в силу периодичности синуса, если x
такой корень, то и x + 2πn
(где n
целое) тоже будет корнем уравнения. Таким образом, обратные тригонометрические функции многозначны . Чтобы с ними было проще работать, вводят понятие их главных значений. Рассмотрим, например, синус: y = sin
x
.
Если ограничить аргумент x
интервалом ,
то на нем функция y = sin
x
монотонно возрастает. Поэтому она имеет однозначную обратную функцию, которую называют арксинусом: x = arcsin
y
.
Если особо не оговорено, то под обратными тригонометрическими функциями имеют в виду их главные значения, которые определяются следующими определениями.
Арксинус (y = arcsin x ) — это функция, обратная к синусу (x = sin y
Арккосинус (y = arccos x ) — это функция, обратная к косинусу (x = cos y ), имеющая область определения и множество значений .
Арктангенс (y = arctg
x
) — это функция, обратная к тангенсу (x = tg
y
), имеющая область определения и множество значений .
Арккотангенс (y = arcctg x ) — это функция, обратная к котангенсу (x = ctg y ), имеющая область определения и множество значений .
Графики обратных тригонометрических функций
Графики обратных тригонометрических функций получаются из графиков тригонометрических функций зеркальным отражением относительно прямой y = x . См. разделы Синус, косинус , Тангенс, котангенс .
y = arcsin x
y = arccos
x
y = arctg
x
y = arcctg
x
Основные формулы
Здесь следует особо обратить внимание на интервалы, для которых справедливы формулы.
arcsin(sin
x)
= x
при
sin(arcsin
x)
= x
arccos(cos
x)
= x
при
cos(arccos
x)
= x
arctg(tg
x)
= x
при
tg(arctg
x)
= x
arcctg(ctg
x)
= x
при
ctg(arcctg
x)
= x
Формулы, связывающие обратные тригонометрические функции
Формулы суммы и разности
при или
при и
при и
при или
при и
при и
при
при
при
при
Функции sin, cos, tg и ctg всегда сопровождаются арксинусом, арккосинусом, арктангенсом и арккотангенсом.
Одно является следствием другого, а пары функций одинаково важны для работы с тригонометрическими выражениями.
Рассмотрим рисунок единичной окружности, на котором графически отображено значений тригонометрических функций.
Если вычислить arcs OA, arcos OC, arctg DE и arcctg MK, то все они будут равны значению угла α. Формулы, приведенные ниже, отражают взаимосвязь основных тригонометрических функций и соответствующих им арков.
Чтобы больше понять о свойствах арксинуса, необходимо рассмотреть его функцию. График имеет вид асимметричной кривой, проходящей через центр координат.
Свойства арксинуса:
Если сопоставить графики sin и arcsin , у двух тригонометрических функций можно найти общие закономерности.
Арккосинус
Arccos числа а — это значение угла α, косинус которого равен а.
Кривая y = arcos x зеркально отображает график arcsin x, с той лишь разницей, что проходит через точку π/2 на оси OY.
Рассмотрим функцию арккосинуса более подробно:
- Функция определена на отрезке [-1; 1].

- ОДЗ для arccos — .
- График целиком расположен в I и II четвертях, а сама функция не является ни четной, ни нечетной.
- Y = 0 при x = 1.
- Кривая убывает на всей своей протяженности. Некоторые свойства арккосинуса совпадают с функцией косинуса.
Некоторые свойства арккосинуса совпадают с функцией косинуса.
Возможно, школьникам покажется излишним такое «подробное» изучение «арков». Однако, в противном случае, некоторые элементарные типовые задания ЕГЭ могут ввести учащихся в тупик.
Задание 1. Укажите функции изображенные на рисунке.
Ответ: рис. 1 – 4, рис.2 — 1.
В данном примере упор сделан на мелочах. Обычно ученики очень невнимательно относятся к построению графиков и внешнему виду функций. Действительно, зачем запоминать вид кривой, если ее всегда можно построить по расчетным точкам. Не стоит забывать, что в условиях теста время, затраченное на рисунок для простого задания, потребуется для решения более сложных заданий.
Арктангенс
Arctg числа a – это такое значение угла α, что его тангенс равен а.
Если рассмотреть график арктангенса, можно выделить следующие свойства:
- График бесконечен и определен на промежутке (- ∞; + ∞).
- Арктангенс нечетная функция, следовательно, arctg (- x) = — arctg x.
- Y = 0 при x = 0.
- Кривая возрастает на всей области определения.
Приведем краткий сравнительный анализ tg x и arctg x в виде таблицы.
Арккотангенс
Arcctg числа a — принимает такое значение α из интервала (0; π), что его котангенс равен а.
Свойства функции арккотангенса:
- Интервал определения функции – бесконечность.
- Область допустимых значений – промежуток (0; π).
- F(x) не является ни четной, ни нечетной.
- На всем своем протяжении график функции убывает.
Сопоставить ctg x и arctg x очень просто, нужно лишь сделать два рисунка и описать поведение кривых.
Задание 2. Соотнести график и форму записи функции.
Если рассуждать логически, из графиков видно, что обе функции возрастающие. Следовательно, оба рисунка отображают некую функцию arctg. Из свойств арктангенса известно, что y=0 при x = 0,
Ответ: рис. 1 – 1, рис. 2 – 4.
Тригонометрические тождества arcsin, arcos, arctg и arcctg
Ранее нами уже была выявлена взаимосвязь между арками и основными функциями тригонометрии. Данная зависимость может быть выражена рядом формул, позволяющих выразить, например, синус аргумента, через его арксинус, арккосинус или наоборот. Знание подобных тождеств бывает полезным при решении конкретных примеров.
Также существуют соотношения для arctg и arcctg:
Еще одна полезная пара формул, устанавливает значение для суммы значений arcsin и arcos, а также arcctg и arcctg одного и того же угла.
Примеры решения задач
Задания по тригонометрии можно условно разделить на четыре группы: вычислить числовое значение конкретного выражения, построить график данной функции, найти ее область определения или ОДЗ и выполнить аналитические преображения для решения примера.
При решении первого типа задач необходимо придерживаться следующего плана действий:
При работе с графиками функций главное – это знание их свойств и внешнего вида кривой. Для решения тригонометрических уравнений и неравенств необходимы таблицы тождеств. Чем больше формул помнит школьник, тем проще найти ответ задания.
Допустим в ЕГЭ необходимо найти ответ для уравнения типа:
Если правильно преобразовать выражение и привести к нужному виду, то решить его очень просто и быстро. Для начала, перенесем arcsin x в правую часть равенства.
Если вспомнить формулу arcsin (sin α) = α , то можно свести поиск ответов к решению системы из двух уравнений:
Ограничение на модель x возникло, опять таки из свойств arcsin: ОДЗ для x [-1; 1]. При а ≠0, часть сиcтемы представляет собой квадратное уравнение с корнями x1 = 1 и x2 = — 1/a. При a = 0, x будет равен 1.
Представлен способ вывода формул для обратных тригонометрических функций.
Получены формулы для отрицательных аргументов, выражения, связывающие арксинус, арккосинус, арктангенс и арккотангенс. Указан способ вывода формул суммы арксинусов, арккосинусов, арктангенсов и арккотангенсов.
Основные формулы
Вывод формул для обратных тригонометрических функций прост, но требует контроля за значениями аргументов прямых функций. Это связано с тем, что тригонометрические функции периодичны и, поэтому, обратные к ним функции многозначны. Если особо не оговорено, то под обратными тригонометрическими функциями подразумевают их главные значения. Для определения главного значения, область определения тригонометрической функции сужают до интервала, на котором она монотонна и непрерывна. Вывод формул для обратных тригонометрических функций основывается на формулах тригонометрических функций и свойствах обратных функций как таковых. Свойства обратных функций можно разбить на две группы.
В первую группу входят формулы, справедливые на всей области определения обратных функций:
sin(arcsin
x)
= x
cos(arccos
x)
= x
tg(arctg
x)
= x
(-∞ ctg(arcctg
x)
= x
(-∞
Во вторую группу входят формулы, справедливые только на множестве значений обратных функций.
arcsin(sin
x)
= x
при
arccos(cos
x)
= x
при
arctg(tg
x)
= x
при
arcctg(ctg
x)
= x
при
Если переменная x
не попадает в указанный выше интервал, то ее следует привести к нему, применяя формулы тригонометрических функций (далее n
— целое):
sin
x = sin(-
x-π)
;
sin
x = sin(π-x)
;
sin
x = sin(x+2
πn)
;
cos
x = cos(-x)
;
cos
x = cos(2
π-x)
;
cos
x = cos(x+2
πn)
;
tg
x = tg(x+πn)
;
ctg
x = ctg(x+πn)
Например, если известно, что то
arcsin(sin
x)
=
arcsin(sin( π — x ))
= π — x .
Легко убедиться, что при π — x попадает в нужный интервал. Для этого умножим на -1 : и прибавим π : или Все правильно.
Обратные функции отрицательного аргумента
Применяя указанные выше формулы и свойства тригонометрических функций, получаем формулы обратных функций отрицательного аргумента.
arcsin(- x) = arcsin(-sin arcsin x) = arcsin(sin(-arcsin x)) = — arcsin x
Поскольку то умножив на -1
, имеем: или
Аргумент синуса попадает в допустимый интервал области значений арксинуса.
Поэтому формула верна.
Аналогично для остальных функций.
arccos(-
x)
=
arccos(-cos arccos
x)
=
arccos(cos(π-arccos
x))
=
π — arccos
x
arctg(- x) = arctg(-tg arctg x) = arctg(tg(-arctg x)) = — arctg x
arcctg(- x) = arcctg(-ctg arcctg x) = arcctg(ctg(π-arcctg x)) = π — arcctg x
Выражение арксинуса через арккосинус и арктангенса через арккотангенс
Выразим арксинус через арккосинус.
Формула справедлива при Эти неравенства выполняются, поскольку
Чтобы убедиться в этом, умножим неравенства на -1 : и прибавим π/2 : или Все правильно.
Аналогично выражаем арктангенс через арккотангенс.
Выражение арксинуса через арктангенс, арккосинуса через арккотангенс и наоборот
Поступаем аналогичным способом.
Формулы суммы и разности
Аналогичным способом, получим формулу суммы арксинусов.
Установим пределы применимости формулы. Чтобы не иметь дела с громоздкими выражениями, введем обозначения: X = arcsin
x
,
Y = arcsin
y
.
Формула применима при
.
Далее замечаем, что, поскольку arcsin(-
x) = — arcsin
x,
arcsin(-
y) = — arcsin
y,
то при разных знаках у x
и y
,
X
и Y
также разного знака и поэтому неравенства выполняются. Условие различных знаков у x
и y
можно написать одним неравенством: .
То есть при формула справедлива.
Теперь рассмотрим случай x > 0
и y > 0
,
или X > 0
и Y > 0
.
Тогда условие применимости формулы заключается в выполнении неравенства: .
Поскольку косинус монотонно убывает при значениях аргумента в интервале от 0
,
до π
,
то возьмем косинус от левой и правой части этого неравенства и преобразуем выражение:
;
;
;
.
Поскольку и ;
то входящие сюда косинусы не отрицательные. Обе части неравенства положительные. Возводим их в квадрат и преобразуем косинусы через синусы:
;
.
Подставляем sin
X = sin arcsin
x = x
:
;
;
;
.
Итак, полученная формула справедлива при или .
Теперь рассмотрим случай x > 0, y > 0
и x 2 + y 2 > 1
.
Здесь аргумент синуса принимает значения: .
Его нужно привести к интервалу области значения арксинуса :
Итак,
при и.
Заменив x и y на — x и — y , имеем
при и.
Выполняем преобразования:
при и.
Или
при и.
Итак, мы получили следующие выражения для суммы арксинусов:
при или ;
при и ;
при и .
Урок и презентация на темы: «Арксинус. Таблица арксинусов. Формула y=arcsin(x)»
Дополнительные материалы
Уважаемые пользователи, не забывайте оставлять свои комментарии, отзывы, пожелания! Все материалы проверены антивирусной программой.
Пособия и тренажеры в интернет-магазине «Интеграл» для 10 класса от 1С
Программная среда «1С: Математический конструктор 6.1»
Решаем задачи по геометрии. Интерактивные задания на построение в пространстве
Что будем изучать:
1. Что такое арксинус?
2. Обозначение арксинуса.
3. Немного истории.
4. Определение.
6.
Примеры.
Что такое арксинус?
Ребята, мы с вами уже научились решать уравнения для косинуса, давайте теперь научимся решать подобные уравнения и для синуса. Рассмотрим sin(x)= √3/2. Для решения этого уравнения требуется построить прямую y= √3/2 и посмотреть: в каких точках она пересекает числовую окружность. Видно, что прямая пересекает окружность в двух точках F и G. Эти точки и будут решением нашего уравнения. Переобозначим F как x1, а G как x2. Решение этого уравнения мы уже находили и получили: x1= π/3 + 2πk,
а x2= 2π/3 + 2πk.
Решить данное уравнение довольно просто, но как решить, например, уравнение
sin(x)= 5/6. Очевидно, что это уравнение будет иметь также два корня, но какие значения будут соответствовать решению на числовой окружности? Давайте внимательно посмотрим на наше уравнение sin(x)= 5/6.
Решением нашего уравнения будут две точки: F= x1 + 2πk и G= x2 + 2πk,
где x1 – длина дуги AF, x2 – длина дуги AG.
Заметим: x2= π — x1, т.к. AF= AC — FC, но FC= AG, AF= AC — AG= π — x1.
Но, что это за точки?
Столкнувшись с подобной ситуацией, математики придумали новый символ – arcsin(x). Читается, как арксинус.
Тогда решение нашего уравнения запишется так: x1= arcsin(5/6), x2= π -arcsin(5/6).
И решение в общем виде: x= arcsin(5/6) + 2πk и x= π — arcsin(5/6) + 2πk.
Арксинус — это угол (длина дуги AF, AG) синус, которого равен 5/6.
Немного истории арксинуса
История происхождения нашего символа совершенно такая же, как и у arccos. Впервые символ arcsin появляется в работах математика Шерфера и известного французского ученого Ж.Л. Лагранжа. Несколько ранее понятие арксинус рассматривал Д. Бернули, правда записывал его другими символами.
Общепринятыми эти символы стали лишь в конце XVIII столетия. Приставка «arc» происходит от латинского «arcus» (лук, дуга). Это вполне согласуется со смыслом понятия: arcsin x — это угол (а можно сказать и дуга), синус которого равен x.
Определение арксинуса
Если |а|≤ 1, то arcsin(a) – это такое число из отрезка [- π/2; π/2], синус которого равен а.
Если |а|≤ 1, то уравнение sin(x)= a имеет решение: x= arcsin(a) + 2πk и
x= π — arcsin(a) + 2πk
Перепишем:
x= π — arcsin(a) + 2πk = -arcsin(a) + π(1 + 2k).
Ребята, посмотрите внимательно на два наших решения. Как думаете: можно ли их записать общей формулой? Заметим, что если перед арксинусом стоит знак «плюс», то π умножается на четное число 2πk, а если знак «минус», то множитель — нечетный 2k+1.
С учётом этого, запишем общую формула решения для уравнения sin(x)=a:
Есть три случая, в которых предпочитают записывать решения более простым способом:
sin(x)=0, то x= πk,
sin(x)=1, то x= π/2 + 2πk,
sin(x)=-1, то x= -π/2 + 2πk.
Для любого -1 ≤ а ≤ 1 выполняется равенство: arcsin(-a)=-arcsin(a).
Напишем таблицу значений косинуса наоборот и получим таблицу для арксинуса.
Примеры
1. Вычислить: arcsin(√3/2).
Решение: Пусть arcsin(√3/2)= x, тогда sin(x)= √3/2.
По определению: — π/2 ≤x≤ π/2. Посмотрим значения синуса в таблице: x= π/3, т.к. sin(π/3)= √3/2 и –π/2 ≤ π/3 ≤ π/2.
Ответ: arcsin(√3/2)= π/3.
2. Вычислить: arcsin(-1/2).
Решение: Пусть arcsin(-1/2)= x, тогда sin(x)= -1/2. По определению: — π/2 ≤x≤ π/2. Посмотрим значения синуса в таблице: x= -π/6, т.к. sin(-π/6)= -1/2 и -π/2 ≤-π/6≤ π/2.
Ответ: arcsin(-1/2)=-π/6.
3. Вычислить: arcsin(0).
Решение: Пусть arcsin(0)= x, тогда sin(x)= 0. По определению: — π/2 ≤x≤ π/2. Посмотрим значения синуса в таблице: значит x= 0, т.к. sin(0)= 0 и — π/2 ≤ 0 ≤ π/2.
Ответ: arcsin(0)=0.
4. Решить уравнение: sin(x) = -√2/2.
x= arcsin(-√2/2) + 2πk и x= π — arcsin(-√2/2) + 2πk.
Посмотрим в таблице значение: arcsin (-√2/2)= -π/4.
Ответ: x= -π/4 + 2πk и x= 5π/4 + 2πk.
5. Решить уравнение: sin(x) = 0.
Решение: Воспользуемся определением, тогда решение запишется в виде:
x= arcsin(0) + 2πk и x= π — arcsin(0) + 2πk. Посмотрим в таблице значение: arcsin(0)= 0.
Ответ: x= 2πk и x= π + 2πk
6. Решить уравнение: sin(x) = 3/5.
Решение: Воспользуемся определением, тогда решение запишется в виде:
x= arcsin(3/5) + 2πk и x= π — arcsin(3/5) + 2πk.
Ответ: x= (-1) n — arcsin(3/5) + πk.
7. Решить неравенство sin(x)
Решение: Синус — это ордината точки числовой окружности. Значит: нам надо найти такие точки, ордината которых меньше 0.7. Нарисуем прямую y=0.7. Она пересекает числовую окружность в двух точках. Неравенству y
Тогда решением неравенства будет: -π – arcsin(0.7) + 2πk
Задачи на арксинус для самостоятельного решения
1) Вычислить: а) arcsin(√2/2), б) arcsin(1/2), в) arcsin(1), г) arcsin(-0.8).
2) Решить уравнение: а) sin(x) = 1/2, б) sin(x) = 1, в) sin(x) = √3/2, г) sin(x) = 0.25,
д) sin(x) = -1.2.
3) Решить неравенство: а) sin (x)> 0.6, б) sin (x)≤ 1/2.
Что такое арксинус, арккосинус? Что такое арктангенс, арккотангенс?
Внимание!
К этой теме имеются дополнительные
материалы в Особом разделе 555.
Для тех, кто сильно «не очень…»
И для тех, кто «очень даже…»)
К понятиям арксинус, арккосинус, арктангенс, арккотангенс учащийся народ относится с опаской. Не понимает он эти термины и, стало быть, не доверяет этой славной семейке.) А зря. Это очень простые понятия. Которые, между прочим, колоссально облегчают жизнь знающему человеку при решении тригонометрических уравнений!
Сомневаетесь насчёт простоты? Напрасно.) Прямо здесь и сейчас вы в этом убедитесь.
Разумеется, для понимания, неплохо бы знать, что такое синус, косинус, тангенс и котангенс. Да их табличные значения для некоторых углов… Хотя бы в самых общих чертах. Тогда и здесь проблем не будет.
Итак, удивляемся, но запоминаем: арксинус, арккосинус, арктангенс и арккотангенс — это просто какие-то углы. Ни больше ни меньше. Бывает угол, скажем 30°. А бывает угол arcsin0,4. Или arctg(-1,3). Всякие углы бывают.) Просто записать углы можно разными способами.
Можно записать угол через градусы или радианы. А можно — через его синус, косинус, тангенс и котангенс…
Что означает выражение
arcsin 0,4 ?
Это угол, синус которого равен 0,4 ! Да-да. Это смысл арксинуса. Специально повторю: arcsin 0,4 — это угол, синус которого равен 0,4.
И всё.
Чтобы эта простая мысль сохранилась в голове надолго, я даже приведу разбивочку этого ужасного термина — арксинус:
arc sin 0,4
угол, синус которого равен 0,4
Как пишется, так и слышится.) Почти. Приставка arc означает дуга (слово арка знаете?), т.к. древние люди вместо углов использовали дуги, но это сути дела не меняет. Запомните эту элементарную расшифровку математического термина! Тем более, для арккосинуса, арктангенса и арккотангенса расшифровка отличается только названием функции.
Что такое arccos 0,8 ?
Это угол, косинус которого равен 0,8.
Что такое arctg(-1,3) ?
Это угол, тангенс которого равен -1,3.
Что такое arcctg 12 ?
Это угол, котангенс которого равен 12.
Такая элементарная расшифровка позволяет, кстати, избежать эпических ляпов.) Например, выражение arccos1,8 выглядит вполне солидно. Начинаем расшифровку: arccos1,8 — это угол, косинус которого равен 1,8… Скока-скока!? 1,8!? Косинус не бывает больше единицы!!!
Верно. Выражение arccos1,8 не имеет смысла. И запись такого выражения в какой-нибудь ответ изрядно повеселит проверяющего.)
Элементарно, как видите.) У каждого угла имеется свой персональный синус и косинус. И почти у каждого — свой тангенс и котангенс. Стало быть, зная тригонометрическую функцию, можно записать и сам угол. Для этого и предназначены арксинусы, арккосинусы, арктангенсы и арккотангенсы. Далее я всю эту семейку буду называть уменьшительно — арки. Чтобы печатать меньше.)
Внимание! Элементарная словесная и осознанная расшифровка арков позволяет спокойно и уверенно решать самые различные задания.
А в непривычных заданиях только она и спасает.
А можно переходить от арков к обычным градусам или радианам? — слышу осторожный вопрос.)
Почему — нет!? Легко. И туда можно, и обратно. Более того, это иногда нужно обязательно делать. Арки — штука простая, но без них как-то спокойнее, правда?)
Например: что такое arcsin 0,5?
Вспоминаем расшифровку: arcsin 0,5 — это угол, синус которого равен 0,5. Теперь включаем голову (или гугл)) и вспоминаем, у какого угла синус равен 0,5? Синус равен 0,5 у угла в 30 градусов . Вот и все дела: arcsin 0,5 — это угол 30°. Можно смело записать:
arcsin 0,5 = 30°
Или, более солидно, через радианы:
Всё, можно забыть про арксинус и работать дальше с привычными градусами или радианами.
Если вы осознали, что такое арксинус, арккосинус… Что такое арктангенс, арккотангенс… То легко разберётесь, например, с таким монстром.)
Несведущий человек отшатнётся в ужасе, да.
..) А сведущий вспомнит расшифровку: арксинус — это угол, синус которого… Ну и так далее. Если сведущий человек знает ещё и таблицу синусов… Таблицу косинусов. Таблицу тангенсов и котангенсов, то проблем вообще нет!
Достаточно сообразить, что:
Расшифрую, т.е. переведу формулу в слова: угол, тангенс которого равен 1 (arctg1) — это угол 45°. Или, что едино, Пи/4. Аналогично:
и всё… Заменяем все арки на значения в радианах, всё посокращается, останется посчитать, сколько будет 1+1. Это будет 2.) Что и является правильным ответом.
Вот таким образом можно (и нужно) переходить от арксинусов, арккосинусов, арктангенсов и арккотангенсов к обычным градусам и радианам. Это здорово упрощает страшные примеры!
Частенько, в подобных примерах, внутри арков стоят отрицательные значения. Типа, arctg(-1,3), или, к примеру, arccos(-0,8)… Это не проблема. Вот вам простые формулы перехода от отрицательных значений к положительным:
Нужно вам, скажем, определить значение выражения:
Это можно и по тригонометрическому кругу решить, но вам не хочется его рисовать.
Ну и ладно. Переходим от отрицательного значения внутри арккосинуса к положительному по второй формуле:
Внутри арккосинуса справа уже положительное значение. То, что
вы просто обязаны знать. Остаётся подставить радианы вместо арккосинуса и посчитать ответ:
Вот и всё.
Ограничения на арксинус, арккосинус, арктангенс, арккотангенс.
С примерами 7 — 9 проблема? Ну да, есть там некоторая хитрость.)
Все эти примеры, с 1-го по 9-й, тщательно разобраны по полочкам в Разделе 555. Что, как и почему. Со всеми тайными ловушками и подвохами. Плюс способы резкого упрощения решения. Кстати, в этом разделе много полезной информации и практических советов по тригонометрии в целом. И не только по тригонометрии. Очень помогает.
Если Вам нравится этот сайт…Кстати, у меня есть ещё парочка интересных сайтов для Вас.)
Можно потренироваться в решении примеров и узнать свой уровень. Тестирование с мгновенной проверкой.
Учимся — с интересом!)
можно познакомиться с функциями и производными.
Формулы arcsin arccos arctg arcctg. Что такое арксинус, арккосинус? Что такое арктангенс, арккотангенс? Основные значения arcsin, arccos, arctg и arctg
Эта статья про нахождение значений арксинуса, арккосинуса, арктангенса и арккотангенса данного числа. Сначала мы внесем ясность, что называется значением арксинуса, арккосинуса, арктангенса и арккотангенса. Дальше получим основные значения этих аркфункций, после чего разберемся, как находятся значения арксинуса, арккосинуса, арктангенса и арккотангенса по таблицам синусов, косинусов, тангенсов и котангенсов Брадиса. Наконец, поговорим про нахождение арксинуса числа, когда известен арккосинус, арктангенс или арккотангенс этого числа, и т.п.
Навигация по странице.
Значения арксинуса, арккосинуса, арктангенса и арккотангенса
Сначала стоит разобраться, что вообще такое «значение арксинуса, арккосинуса, арктангенса и арккотангенса ».
Таблицы синусов и косинусов, а также тангенсов и котангенсов Брадиса позволяют найти значение арксинуса, арккосинуса, арктангенса и арккотангенса положительного числа в градусах с точностью до одной минуты. Здесь стоит оговориться, что нахождение значений арксинуса, арккосинуса, арктангенса и арккотангенса отрицательных чисел можно свести к нахождению значений соответствующих аркфункций положительных чисел, обратившись к формулам arcsin, arccos, arctg и arcctg противоположных чисел вида arcsin(−a)=−arcsin a , arccos(−a)=π−arccos a , arctg(−a)=−arctg a и arcctg(−a)=π−arcctg a .
Разберемся с нахождением значений арксинуса, арккосинуса, арктангенса и арккотангенса по таблицам Брадиса. Будем это делать на примерах.
Пусть нам требуется найти значение арксинуса 0,2857
. Находим это значение в таблице синусов (случаи, когда это значение отсутствует в таблице, разберем ниже). Ему соответствует синус 16
градусов 36
минут. Следовательно, искомым значением арксинуса числа 0,2857
является угол 16
градусов 36
минут.
Часто приходится учитывать и поправки из трех справа столбцов таблицы. К примеру, если нам нужно найти арксинус 0,2863
. По таблице синусов это значение получается как 0,2857
плюс поправка 0,0006
, то есть, значению 0,2863
соответствует синус 16
градусов 38
минут (16
градусов 36
минут плюс 2
минуты поправки).
Если же число, арксинус которого нас интересует, отсутствует в таблице и даже не может быть получено с учетом поправок, то в таблице нужно отыскать два наиболее близких к нему значения синусов, между которыми данное число заключено. Например, мы ищем значение арксинуса числа 0,2861573
. Этого числа нет в таблице, с помощью поправок это число тоже не получить. Тогда находим два наиболее близких значения 0,2860
и 0,2863
, между которыми исходное число заключено, этим числам соответствуют синусы 16
градусов 37
минут и 16
градусов 38
минут. Искомое значение арксинуса 0,2861573
заключено между ними, то есть, любое из этих значений угла можно принять в качестве приближенного значения арксинуса с точностью до 1
минуты.
Абсолютно аналогично находятся и значения арккосинуса, и значения арктангенса и значения арккотангенса (при этом, конечно, используются таблицы косинусов, тангенсов и котангенсов соответственно).
Нахождение значения arcsin через arccos, arctg, arcctg и т.п.
Например, пусть нам известно, что arcsin a=−π/12 , а нужно найти значение arccos a . Вычисляем нужное нам значение арккосинуса: arccos a=π/2−arcsin a=π/2−(−π/12)=7π/12 .
Куда интереснее обстоит дело, когда по известному значению арксинуса или арккосинуса числа a требуется найти значение арктангенса или арккотангенса этого числа a или наоборот. Формул, задающих такие связи, мы, к сожалению, не знаем. Как же быть? Разберемся с этим на примере.
Пусть нам известно, что арккосинус числа a
равен π/10
, и нужно вычислить значение арктангенса этого числа a
. Решить поставленную задачу можно так: по известному значению арккосинуса найти число a
, после чего найти арктангенс этого числа. Для этого нам сначала потребуется таблица косинусов, а затем – таблица тангенсов.
Угол π/10
радиан – это угол 18
градусов, по таблице косинусов находим, что косинус 18
градусов приближенно равен 0,9511
, тогда число a
в нашем примере есть 0,9511
.
Осталось обратиться к таблице тангенсов, и с ее помощью найти нужное нам значение арктангенса 0,9511
, оно приближенно равно 43
градусам 34
минутам.
Эту тему логически продолжает материал статьи вычисление значений выражений, содержащих arcsin, arccos, arctg и arcctg .
Список литературы.
- Алгебра: Учеб. для 9 кл. сред. шк./Ю. Н. Макарычев, Н. Г. Миндюк, К. И. Нешков, С. Б. Суворова; Под ред. С. А. Теляковского.- М.: Просвещение, 1990.- 272 с.: ил.- ISBN 5-09-002727-7
- Башмаков М. И. Алгебра и начала анализа: Учеб. для 10-11 кл. сред. шк. — 3-е изд. — М.: Просвещение, 1993. — 351 с.: ил. — ISBN 5-09-004617-4.
- Алгебра и начала анализа: Учеб. для 10-11 кл. общеобразоват. учреждений / А. Н. Колмогоров, А. М. Абрамов, Ю. П. Дудницын и др.
; Под ред. А. Н. Колмогорова.- 14-е изд.- М.: Просвещение, 2004.- 384 с.: ил.- ISBN 5-09-013651-3. - И. В. Бойков, Л. Д. Романова. Сборникк задач для подготовки к ЕГЭ, часть 1, Пенза 2003.
- Брадис В. М. Четырехзначные математические таблицы: Для общеобразоват. учеб. заведений. — 2-е изд. — М.: Дрофа, 1999.- 96 с.: ил. ISBN 5-7107-2667-2
В данной статье рассматриваются вопросы нахождения значений арксинуса, арккосинуса, арктангенса и арккотангенса заданного числа. Для начала вводятся понятия арксинуса, арккосинуса, арктангенса и арккотангенса. Рассматриваем основные их значения, по таблицам, в том числе и Брадиса, нахождение этих функций.
Yandex.RTB R-A-339285-1
Значения арксинуса, арккосинуса, арктангенса и арккотангенса
Необходимо разобраться в понятиях «значения арксинуса, арккосинуса, арктангенса, арккотангенса».
Определения арксинуса, арккосинуса, арктангенса и арккотангенса числапомогут разобраться в вычислении заданных функций.
Значение тригонометрических функций угла равняется числу a , тогда автоматически считается величиной этого угла. Если a – число, тогда это и есть значение функции.
Для четкого понимания рассмотрим пример.
Если имеем арккосинус угла равного π 3 , то значение косинуса отсюда равно 1 2 по таблице косинусов. Данный угол расположен в промежутке от нуля до пи, значит, значение арккосинуса 1 2 получим π на 3 . Такое тригонометрическое выражение записывается как a r cos (1 2) = π 3 .
Величиной угла может быть как градус, так и радиан. Значение угла π 3 равняется углу в 60 градусов (подробней разбирается в теме перевода градусов в радианы и обратно ). Данный пример с арккосинусом 1 2 имеет значение 60 градусов. Такая тригонометрическая запись имеет вид a r c cos 1 2 = 60 °
Основные значения arcsin, arccos, arctg и arctg
Благодаря таблице синусов, косинусов, тангенсов и котангенсов, мы имеет точные значения угла при 0 , ± 30 , ± 45 , ± 60 , ± 90 , ± 120 , ± 135 , ± 150 , ± 180 градусов.
Таблица достаточно удобна и из нее можно получать некоторые значения для аркфункций, которые имеют название как основные значения арксинуса, арккосинуса, арктангенса и арккотангенса.
Таблица синусов основных углов предлагает такие результаты значений углов:
sin (- π 2) = — 1 , sin (- π 3) = — 3 2 , sin (- π 4) = — 2 2 , sin (- π 6) = — 1 2 , sin 0 = 0 , sin π 6 = 1 2 , sin π 4 = 2 2 , sin π 3 = 3 2 , sin π 2 = 1
Учитывая их, можно легко высчитать арксинус числа всех стандартных значений, начиная от — 1 и заканчивая 1 , также значения от – π 2 до + π 2 радианов, следуя его основному значению определения. Это и является основными значениями арксинуса.
Для удобного применения значений арксинуса занесем в таблицу. Со временем придется выучить эти значения, так как на практике приходится часто к ним обращаться. Ниже приведена таблица арксинуса с радианным и градусным значением углов.
Для получения основных значений арккосинуса необходимо обратиться к таблице косинусов основных углов.
Тогда имеем:
cos 0 = 1 , cos π 6 = 3 2 , cos π 4 = 2 2 , cos π 3 = 1 2 , cos π 2 = 0 , cos 2 π 3 = — 1 2 , cos 3 π 4 = — 2 2 , cos 5 π 6 = — 3 2 , cos π = — 1
Следуя из таблицы, находим значения арккосинуса:
a r c cos (- 1) = π , arccos (- 3 2) = 5 π 6 , arcocos (- 2 2) = 3 π 4 , arccos — 1 2 = 2 π 3 , arccos 0 = π 2 , arccos 1 2 = π 3 , arccos 2 2 = π 4 , arccos 3 2 = π 6 , arccos 1 = 0
Таблица арккосинусов.
Таким же образом, исходя из определения и стандартных таблиц, находятся значения арктангенса и арккотангенса, которые изображены в таблице арктангенсов и арккотангенсов ниже.
a r c sin , a r c cos , a r c t g и a r c c t g
Для точного значения a r c sin , a r c cos , a r c t g и a r c c t g числа а необходимо знать величину угла. Об этом сказано в предыдущем пункте. Однако, точное значении функции нам неизвестно. Если необходимо найти числовое приближенное значение аркфункций, применяют т аблицу синусов, косинусов, тангенсов и котангенсов Брадиса.
Такая таблица позволяет выполнять довольно точные вычисления, так как значения даются с четырьмя знаками после запятой. Благодаря этому числа выходят точными до минуты. Значения a r c sin , a r c cos , a r c t g и a r c c t g отрицательных и положительных чисел сводится к нахождению формул a r c sin , a r c cos , a r c t g и a r c c t g противоположных чисел вида a r c sin (- α) = — a r c sin α , a r c cos (- α) = π — a r c cos α , a r c t g (- α) = — a r c t g α , a r c c t g (- α) = π — a r c c t g α .
Рассмотрим решение нахождения значений a r c sin , a r c cos , a r c t g и a r c c t g с помощью таблицы Брадиса.
Если нам необходимо найти значение арксинуса 0 , 2857 , ищем значение, найдя таблицу синусов. Видим, что данному числу соответствует значение угла sin 16 градусов и 36 минут. Значит, арксинус числа 0 , 2857 – это искомый угол в 16 градусов и 36 минут. Рассмотрим на рисунке ниже.
Правее градусов имеются столбцы называемые поправки. При искомом арксинусе 0 , 2863 используется та самая поправка в 0 , 0006 , так как ближайшим числом будет 0 , 2857 .
Значит, получим синус 16 градусов 38 минут и 2 минуты, благодаря поправке. Рассмотрим рисунок с изображением таблицы Брадиса.
Бывают ситуации, когда искомого числа нет в таблице и даже с поправками его не найти, тогда отыскивается два самых близких значения синусов. Если искомое число 0,2861573, то числа 0,2860 и 0,2863 являются ближайшими его значениями. Этим числам соответствуют значения синуса 16 градусов 37 минут и 16 градусов и 38 минут. Тогда приближенное значение данного числа можно определить с точностью до минуты.
Таким образом находятся значения a r c sin , a r c cos , a r c t g и a r c c t g .
Чтобы найти арксинус через известный арккосинус данного числа, нужно применить тригонометрические формулы a r c sin α + a r c cos α = π 2 , a r c t g α + a r c c t g α = π 2 (не обходимо просмотреть тему формул сумм ы арккосинуса и арксинуса, суммы арктангенса и арккотангенса ).
При известном a r c sin α = — π 12 необходимо найти значение a r c cos α , тогда необходимо вычислить арккосинус по формуле:
a r c cos α = π 2 − a r c sin α = π 2 − (− π 12) = 7 π 12 .
Если необходимо найти значение арктангенса или арккотангенса числа a с помощью известного арксинуса или арккосинуса, необходимо производить долгие вычисления, так как стандартных формул нет. Рассмотрим на примере.
Если дан арккосинус числа а равный π 10 , а вычислить арктангенс данного числа поможет таблица тангенсов. Угол π 10 радиан представляет собой 18 градусов, тогда по таблице косинусов видим, что косинус 18 градусов имеет значение 0 , 9511 , после чего заглядываем в таблицу Брадиса.
При поиске значения арктангенса 0 , 9511 определяем, что значение угла имеет 43 градуса и 34 минуты. Рассмотрим по таблице ниже.
Фактически, таблица Брадиса помогает в нахождении необходимого значения угла и при значении угла позволяет определить количество градусов.
Если вы заметили ошибку в тексте, пожалуйста, выделите её и нажмите Ctrl+Enter
Функции sin, cos, tg и ctg всегда сопровождаются арксинусом, арккосинусом, арктангенсом и арккотангенсом. Одно является следствием другого, а пары функций одинаково важны для работы с тригонометрическими выражениями.
Рассмотрим рисунок единичной окружности, на котором графически отображено значений тригонометрических функций.
Если вычислить arcs OA, arcos OC, arctg DE и arcctg MK, то все они будут равны значению угла α. Формулы, приведенные ниже, отражают взаимосвязь основных тригонометрических функций и соответствующих им арков.
Чтобы больше понять о свойствах арксинуса, необходимо рассмотреть его функцию. График имеет вид асимметричной кривой, проходящей через центр координат.
Свойства арксинуса:
Если сопоставить графики sin и arcsin , у двух тригонометрических функций можно найти общие закономерности.
Арккосинус
Arccos числа а — это значение угла α, косинус которого равен а.
Кривая y = arcos x зеркально отображает график arcsin x, с той лишь разницей, что проходит через точку π/2 на оси OY.
Рассмотрим функцию арккосинуса более подробно:
- Функция определена на отрезке [-1; 1].
- ОДЗ для arccos — .

- График целиком расположен в I и II четвертях, а сама функция не является ни четной, ни нечетной.
- Y = 0 при x = 1.
- Кривая убывает на всей своей протяженности. Некоторые свойства арккосинуса совпадают с функцией косинуса.
Некоторые свойства арккосинуса совпадают с функцией косинуса.
Возможно, школьникам покажется излишним такое «подробное» изучение «арков». Однако, в противном случае, некоторые элементарные типовые задания ЕГЭ могут ввести учащихся в тупик.
Задание 1. Укажите функции изображенные на рисунке.
Ответ: рис. 1 – 4, рис.2 — 1.
В данном примере упор сделан на мелочах. Обычно ученики очень невнимательно относятся к построению графиков и внешнему виду функций. Действительно, зачем запоминать вид кривой, если ее всегда можно построить по расчетным точкам. Не стоит забывать, что в условиях теста время, затраченное на рисунок для простого задания, потребуется для решения более сложных заданий.
Арктангенс
Arctg числа a – это такое значение угла α, что его тангенс равен а.
Если рассмотреть график арктангенса, можно выделить следующие свойства:
- График бесконечен и определен на промежутке (- ∞; + ∞).
- Арктангенс нечетная функция, следовательно, arctg (- x) = — arctg x.
- Y = 0 при x = 0.
- Кривая возрастает на всей области определения.
Приведем краткий сравнительный анализ tg x и arctg x в виде таблицы.
Арккотангенс
Arcctg числа a — принимает такое значение α из интервала (0; π), что его котангенс равен а.
Свойства функции арккотангенса:
- Интервал определения функции – бесконечность.
- Область допустимых значений – промежуток (0; π).
- F(x) не является ни четной, ни нечетной.
- На всем своем протяжении график функции убывает.
Сопоставить ctg x и arctg x очень просто, нужно лишь сделать два рисунка и описать поведение кривых.
Задание 2. Соотнести график и форму записи функции.
Если рассуждать логически, из графиков видно, что обе функции возрастающие. Следовательно, оба рисунка отображают некую функцию arctg. Из свойств арктангенса известно, что y=0 при x = 0,
Ответ: рис. 1 – 1, рис. 2 – 4.
Тригонометрические тождества arcsin, arcos, arctg и arcctg
Ранее нами уже была выявлена взаимосвязь между арками и основными функциями тригонометрии. Данная зависимость может быть выражена рядом формул, позволяющих выразить, например, синус аргумента, через его арксинус, арккосинус или наоборот. Знание подобных тождеств бывает полезным при решении конкретных примеров.
Также существуют соотношения для arctg и arcctg:
Еще одна полезная пара формул, устанавливает значение для суммы значений arcsin и arcos, а также arcctg и arcctg одного и того же угла.
Примеры решения задач
Задания по тригонометрии можно условно разделить на четыре группы: вычислить числовое значение конкретного выражения, построить график данной функции, найти ее область определения или ОДЗ и выполнить аналитические преображения для решения примера.
При решении первого типа задач необходимо придерживаться следующего плана действий:
При работе с графиками функций главное – это знание их свойств и внешнего вида кривой. Для решения тригонометрических уравнений и неравенств необходимы таблицы тождеств. Чем больше формул помнит школьник, тем проще найти ответ задания.
Допустим в ЕГЭ необходимо найти ответ для уравнения типа:
Если правильно преобразовать выражение и привести к нужному виду, то решить его очень просто и быстро. Для начала, перенесем arcsin x в правую часть равенства.
Если вспомнить формулу arcsin (sin α) = α , то можно свести поиск ответов к решению системы из двух уравнений:
Ограничение на модель x возникло, опять таки из свойств arcsin: ОДЗ для x [-1; 1]. При а ≠0, часть сиcтемы представляет собой квадратное уравнение с корнями x1 = 1 и x2 = — 1/a. При a = 0, x будет равен 1.
Что такое арксинус, арккосинус? Что такое арктангенс, арккотангенс?
Внимание!
К этой теме имеются дополнительные
материалы в Особом разделе 555.
Для тех, кто сильно «не очень…»
И для тех, кто «очень даже…»)
К понятиям арксинус, арккосинус, арктангенс, арккотангенс учащийся народ относится с опаской. Не понимает он эти термины и, стало быть, не доверяет этой славной семейке.) А зря. Это очень простые понятия. Которые, между прочим, колоссально облегчают жизнь знающему человеку при решении тригонометрических уравнений!
Сомневаетесь насчёт простоты? Напрасно.) Прямо здесь и сейчас вы в этом убедитесь.
Разумеется, для понимания, неплохо бы знать, что такое синус, косинус, тангенс и котангенс. Да их табличные значения для некоторых углов… Хотя бы в самых общих чертах. Тогда и здесь проблем не будет.
Итак, удивляемся, но запоминаем: арксинус, арккосинус, арктангенс и арккотангенс — это просто какие-то углы. Ни больше ни меньше. Бывает угол, скажем 30°. А бывает угол arcsin0,4. Или arctg(-1,3). Всякие углы бывают.) Просто записать углы можно разными способами.
Можно записать угол через градусы или радианы. А можно — через его синус, косинус, тангенс и котангенс…
Что означает выражение
arcsin 0,4 ?
Это угол, синус которого равен 0,4 ! Да-да. Это смысл арксинуса. Специально повторю: arcsin 0,4 — это угол, синус которого равен 0,4.
И всё.
Чтобы эта простая мысль сохранилась в голове надолго, я даже приведу разбивочку этого ужасного термина — арксинус:
arc sin 0,4
угол, синус которого равен 0,4
Как пишется, так и слышится.) Почти. Приставка arc означает дуга (слово арка знаете?), т.к. древние люди вместо углов использовали дуги, но это сути дела не меняет. Запомните эту элементарную расшифровку математического термина! Тем более, для арккосинуса, арктангенса и арккотангенса расшифровка отличается только названием функции.
Что такое arccos 0,8 ?
Это угол, косинус которого равен 0,8.
Что такое arctg(-1,3) ?
Это угол, тангенс которого равен -1,3.
Что такое arcctg 12 ?
Это угол, котангенс которого равен 12.
Такая элементарная расшифровка позволяет, кстати, избежать эпических ляпов.) Например, выражение arccos1,8 выглядит вполне солидно. Начинаем расшифровку: arccos1,8 — это угол, косинус которого равен 1,8… Скока-скока!? 1,8!? Косинус не бывает больше единицы!!!
Верно. Выражение arccos1,8 не имеет смысла. И запись такого выражения в какой-нибудь ответ изрядно повеселит проверяющего.)
Элементарно, как видите.) У каждого угла имеется свой персональный синус и косинус. И почти у каждого — свой тангенс и котангенс. Стало быть, зная тригонометрическую функцию, можно записать и сам угол. Для этого и предназначены арксинусы, арккосинусы, арктангенсы и арккотангенсы. Далее я всю эту семейку буду называть уменьшительно — арки. Чтобы печатать меньше.)
Внимание! Элементарная словесная и осознанная расшифровка арков позволяет спокойно и уверенно решать самые различные задания.
А в непривычных заданиях только она и спасает.
А можно переходить от арков к обычным градусам или радианам? — слышу осторожный вопрос.)
Почему — нет!? Легко. И туда можно, и обратно. Более того, это иногда нужно обязательно делать. Арки — штука простая, но без них как-то спокойнее, правда?)
Например: что такое arcsin 0,5?
Вспоминаем расшифровку: arcsin 0,5 — это угол, синус которого равен 0,5. Теперь включаем голову (или гугл)) и вспоминаем, у какого угла синус равен 0,5? Синус равен 0,5 у угла в 30 градусов . Вот и все дела: arcsin 0,5 — это угол 30°. Можно смело записать:
arcsin 0,5 = 30°
Или, более солидно, через радианы:
Всё, можно забыть про арксинус и работать дальше с привычными градусами или радианами.
Если вы осознали, что такое арксинус, арккосинус… Что такое арктангенс, арккотангенс… То легко разберётесь, например, с таким монстром.)
Несведущий человек отшатнётся в ужасе, да.
..) А сведущий вспомнит расшифровку: арксинус — это угол, синус которого… Ну и так далее. Если сведущий человек знает ещё и таблицу синусов… Таблицу косинусов. Таблицу тангенсов и котангенсов, то проблем вообще нет!
Достаточно сообразить, что:
Расшифрую, т.е. переведу формулу в слова: угол, тангенс которого равен 1 (arctg1) — это угол 45°. Или, что едино, Пи/4. Аналогично:
и всё… Заменяем все арки на значения в радианах, всё посокращается, останется посчитать, сколько будет 1+1. Это будет 2.) Что и является правильным ответом.
Вот таким образом можно (и нужно) переходить от арксинусов, арккосинусов, арктангенсов и арккотангенсов к обычным градусам и радианам. Это здорово упрощает страшные примеры!
Частенько, в подобных примерах, внутри арков стоят отрицательные значения. Типа, arctg(-1,3), или, к примеру, arccos(-0,8)… Это не проблема. Вот вам простые формулы перехода от отрицательных значений к положительным:
Нужно вам, скажем, определить значение выражения:
Это можно и по тригонометрическому кругу решить, но вам не хочется его рисовать.
Ну и ладно. Переходим от отрицательного значения внутри арккосинуса к положительному по второй формуле:
Внутри арккосинуса справа уже положительное значение. То, что
вы просто обязаны знать. Остаётся подставить радианы вместо арккосинуса и посчитать ответ:
Вот и всё.
Ограничения на арксинус, арккосинус, арктангенс, арккотангенс.
С примерами 7 — 9 проблема? Ну да, есть там некоторая хитрость.)
Все эти примеры, с 1-го по 9-й, тщательно разобраны по полочкам в Разделе 555. Что, как и почему. Со всеми тайными ловушками и подвохами. Плюс способы резкого упрощения решения. Кстати, в этом разделе много полезной информации и практических советов по тригонометрии в целом. И не только по тригонометрии. Очень помогает.
Если Вам нравится этот сайт…Кстати, у меня есть ещё парочка интересных сайтов для Вас.)
Можно потренироваться в решении примеров и узнать свой уровень. Тестирование с мгновенной проверкой.
Учимся — с интересом!)
можно познакомиться с функциями и производными.
Arccos arcsin arctg arcctg • Вэб-шпаргалка для интернет предпринимателей!
Содержание
- 1 Арксинус, arcsin
- 1.1 Определение и обозначения
- 1.2 График функции арксинус
- 2 Арккосинус, arccos
- 2.1 Определение и обозначения
- 2.2 График функции арккосинус
- 3 Четность
- 4 Свойства — экстремумы, возрастание, убывание
- 5 Таблица арксинусов и арккосинусов
- 6 Формулы
- 6.1 Формулы суммы и разности
- 6.2 Ограничения на арксинус, арккосинус, арктангенс, арккотангенс.
- 7 Синус арксинуса, косинус арккосинуса и т.п.
- 8 Арксинус синуса, арккосинус косинуса и т.п.
- 9 Связи между arcsin, arccos, arctg и arcctg противоположных чисел
- 10 Сумма арксинуса и арккосинуса числа, сумма арктангенса и арккотангенса числа
- 11 Синус от арккосинуса, тангенс от арксинуса и иже с ними
- 12 arcsin через arccos, arctg и arcctg; arccos через arcsin, arctg и arcctg и т.
п. - 13 Некоторые другие формулы
- 13.1 Рекомендуем к прочтению
Арксинус, arcsin
Определение и обозначения
Арксинус иногда обозначают так:
.
График функции арксинус
График арксинуса получается из графика синуса, если поменять местами оси абсцисс и ординат. Чтобы устранить многозначность, область значений ограничивают интервалом , на котором функция монотонна. Такое определение называют главным значением арксинуса.
Арккосинус, arccos
Определение и обозначения
Арккосинус иногда обозначают так:
.
График функции арккосинус
График арккосинуса получается из графика косинуса, если поменять местами оси абсцисс и ординат. Чтобы устранить многозначность, область значений ограничивают интервалом , на котором функция монотонна. Такое определение называют главным значением арккосинуса.
Четность
Функция арксинус является нечетной:
arcsin(– x ) = arcsin(–sin arcsin x ) = arcsin(sin(–arcsin x )) = – arcsin x
Функция арккосинус не является четной или нечетной:
arccos(– x ) = arccos(–cos arccos x ) = arccos(cos(π–arccos x )) = π – arccos x ≠ ± arccos x
Свойства — экстремумы, возрастание, убывание
Функции арксинус и арккосинус непрерывны на своей области определения (см.
доказательство непрерывности). Основные свойства арксинуса и арккосинуса представлены в таблице.
| y = arcsin x | y = arccos x | |
| Область определения и непрерывность | – 1 ≤ x ≤ 1 | – 1 ≤ x ≤ 1 |
| Область значений | ||
| Возрастание, убывание | монотонно возрастает | монотонно убывает |
| Максимумы | ||
| Минимумы | ||
| Нули, y = 0 | x = 0 | x = 1 |
| Точки пересечения с осью ординат, x = 0 | y = 0 | y = π/ 2 |
Таблица арксинусов и арккосинусов
В данной таблице представлены значения арксинусов и арккосинусов, в градусах и радианах, при некоторых значениях аргумента.
| x | arcsin x | arccos x | ||
| град. | рад. | град. | рад. | |
| – 1 | – 90° | – | 180° | π |
| – | – 60° | – | 150° | |
| – | – 45° | – | 135° | |
| – | – 30° | – | 120° | |
| 0° | 90° | |||
| 30° | 60° | |||
| 45° | 45° | |||
| 60° | 30° | |||
| 1 | 90° | 0° |
Формулы
Формулы суммы и разности
при или
при 0,,y>0 ;»> и 1″>
при и 1″>
при или
при 0,,y и 1″>
при 0 ;»> и 1″>
Внимание!
К этой теме имеются дополнительные
материалы в Особом разделе 555.
Для тех, кто сильно «не очень. »
И для тех, кто «очень даже. » )
К понятиям арксинус, арккосинус, арктангенс, арккотангенс учащийся народ относится с опаской. Не понимает он эти термины и, стало быть, не доверяет этой славной семейке.) А зря. Это очень простые понятия. Которые, между прочим, колоссально облегчают жизнь знающему человеку при решении тригонометрических уравнений!
Сомневаетесь насчёт простоты? Напрасно.) Прямо здесь и сейчас вы в этом убедитесь.
Разумеется, для понимания, неплохо бы знать, что такое синус, косинус, тангенс и котангенс. Да их табличные значения для некоторых углов. Хотя бы в самых общих чертах. Тогда и здесь проблем не будет.
Итак, удивляемся, но запоминаем: арксинус, арккосинус, арктангенс и арккотангенс — это просто какие-то углы. Ни больше ни меньше. Бывает угол, скажем 30°. А бывает угол arcsin0,4. Или arctg(-1,3). Всякие углы бывают.
) Просто записать углы можно разными способами. Можно записать угол через градусы или радианы. А можно — через его синус, косинус, тангенс и котангенс.
Что означает выражение
arcsin 0,4 ?
Это угол, синус которого равен 0,4 ! Да-да. Это смысл арксинуса. Специально повторю: arcsin 0,4 — это угол, синус которого равен 0,4.
И всё.
Чтобы эта простая мысль сохранилась в голове надолго, я даже приведу разбивочку этого ужасного термина — арксинус:
arc sin 0,4
угол, синус которого равен 0,4
Как пишется, так и слышится.) Почти. Приставка arc означает дуга (слово арка знаете?), т.к. древние люди вместо углов использовали дуги, но это сути дела не меняет. Запомните эту элементарную расшифровку математического термина! Тем более, для арккосинуса, арктангенса и арккотангенса расшифровка отличается только названием функции.
Что такое arccos 0,8 ?
Это угол, косинус которого равен 0,8.
Что такое arctg(-1,3) ?
Это угол, тангенс которого равен -1,3.
Что такое arcctg 12 ?
Это угол, котангенс которого равен 12.
Такая элементарная расшифровка позволяет, кстати, избежать эпических ляпов.) Например, выражение arccos1,8 выглядит вполне солидно. Начинаем расшифровку: arccos1,8 — это угол, косинус которого равен 1,8. Скока-скока!? 1,8!? Косинус не бывает больше единицы.
Верно. Выражение arccos1,8 не имеет смысла. И запись такого выражения в какой-нибудь ответ изрядно повеселит проверяющего.)
Элементарно, как видите.) У каждого угла имеется свой персональный синус и косинус. И почти у каждого — свой тангенс и котангенс. Стало быть, зная тригонометрическую функцию, можно записать и сам угол. Для этого и предназначены арксинусы, арккосинусы, арктангенсы и арккотангенсы. Далее я всю эту семейку буду называть уменьшительно — арки.
Чтобы печатать меньше.)
Внимание! Элементарная словесная и осознанная расшифровка арков позволяет спокойно и уверенно решать самые различные задания. А в непривычных заданиях только она и спасает.
А можно переходить от арков к обычным градусам или радианам? — слышу осторожный вопрос.)
Почему — нет!? Легко. И туда можно, и обратно. Более того, это иногда нужно обязательно делать. Арки — штука простая, но без них как-то спокойнее, правда?)
Например: что такое arcsin 0,5?
Вспоминаем расшифровку: arcsin 0,5 — это угол, синус которого равен 0,5. Теперь включаем голову (или гугл)) и вспоминаем, у какого угла синус равен 0,5? Синус равен 0,5 у угла в 30 градусов. Вот и все дела: arcsin 0,5 — это угол 30°. Можно смело записать:
Или, более солидно, через радианы:
Всё, можно забыть про арксинус и работать дальше с привычными градусами или радианами.
Если вы осознали, что такое арксинус, арккосинус.
Что такое арктангенс, арккотангенс. То легко разберётесь, например, с таким монстром.)
Несведущий человек отшатнётся в ужасе, да. ) А сведущий вспомнит расшифровку: арксинус — это угол, синус которого. Ну и так далее. Если сведущий человек знает ещё и таблицу синусов. Таблицу косинусов. Таблицу тангенсов и котангенсов, то проблем вообще нет!
Достаточно сообразить, что:
Расшифрую, т.е. переведу формулу в слова: угол, тангенс которого равен 1 (arctg1) — это угол 45°. Или, что едино, Пи/4. Аналогично:
и всё. Заменяем все арки на значения в радианах, всё посокращается, останется посчитать, сколько будет 1+1. Это будет 2.) Что и является правильным ответом.
Вот таким образом можно (и нужно) переходить от арксинусов, арккосинусов, арктангенсов и арккотангенсов к обычным градусам и радианам. Это здорово упрощает страшные примеры!
Частенько, в подобных примерах, внутри арков стоят отрицательные значения.
Типа, arctg(-1,3), или, к примеру, arccos(-0,8). Это не проблема. Вот вам простые формулы перехода от отрицательных значений к положительным:
Нужно вам, скажем, определить значение выражения:
Это можно и по тригонометрическому кругу решить, но вам не хочется его рисовать. Ну и ладно. Переходим от отрицательного значения внутри арккосинуса к положительному по второй формуле:
Внутри арккосинуса справа уже положительное значение. То, что
вы просто обязаны знать. Остаётся подставить радианы вместо арккосинуса и посчитать ответ:
Ограничения на арксинус, арккосинус, арктангенс, арккотангенс.
Те, кто освоил темы «Тригонометрический круг», и «Отсчёт углов на тригонометрическом круге» — люди грамотные. И, возможно, уже приготовили мне убойный вопрос.) По определению, скажем, arcsin 0,5 — это угол, синус которого равен 0,5. Т.е 30°. Но.
Грамотный человек знает, что синус равен 0,5 не только у угла 30°! Так как:
И так до бесконечности.
Неоднозначно получается! Получается, что arcsin0,5 это и 30°, и 150°, и 390°, и 510°, и .
Да. Именно так. Арксинус 0,5 — это действительно бесконечный набор углов. Но обозначается такой арксинус вот как: Arcsin0,5. С заглавной буквы. В школе такие арксинусы не изучают. В школе изучают арки с маленькой буквы: arcsin, arccos, arctg, arcctg. Такие арки называются главными значениями арксинуса, арккосинуса и т.д. и имеют жёсткие ограничения по величине. Для однозначности.
С этими ограничениями надо разобраться основательно. Тем более, что это дело простое.) Запоминаем:
arсsin (любой) — это угол, который располагается в интервале:
arсcos (любой) — это угол, который располагается в интервале:
arсtg (любой) — это угол, который располагается в интервале:
arсctg (любой) — это угол, который располагается в интервале:
Запомнить эти диапазоны очень легко по картинкам.
Тригонометрический круг вам в помощь!) Для арксинуса:
Зелёным нарисованы углы, которые пробегают значения от — Пи/2 до + Пи/2. Это и есть разрешённая зона для арксинусов. И никаких дополнительных оборотов! Строго от -90° до +90°! Никакой arcsin не может быть равным, например 120°, 180° или 330°. А вот 50°, -65°, 90° или 25° — пожалуйста!
Теперь, я думаю, понятно, что arcsin 0,5 = 30°. И только 30°! Так как углы 150°, 390°, 510° и т.д., которые тоже дают синус, равный 0,5, арксинусами быть не могут. Они выпадают из разрешённого диапазона.
А теперь наведите курсор мышки на рисунок, или коснитесь картинки на планшете. Вы увидите диапазон арктангенсов. Найдите 2 отличия.) Да! Конечные точки на оси ОУ стали белыми! Это означает, что они не включаются в диапазон арктангенсов. Арктангенс не может быть равным ±90°. По той простой причине, что тангенс 90° (и -90°) не существует.
Уже проще, правда?) Ну и, аналогичная картинка для арккосинуса и арккотангенса (при наведённом курсоре):
Надеюсь, зрительная память вас спасёт, если что.
)
А зачем все эти арки? — слышу ещё один осторожный вопрос.)
Вопрос резонный. В математике просто так, чисто для красоты, ничего не бывает. Только по острой необходимости!) А вы попробуйте ответить на такой вопрос:
У какого угла синус равен 0,4?
Для ответа в градусах или радианах вам придётся открывать таблицы Брадиса, или включать солидный калькулятор. Искать там значение синуса, равное (примерно!) 0,4 и смотреть, какой же угол имеет этот синус. После тяжких трудов вы определите, что это угол примерно 23 градуса и 36 минут. Про радианы я вообще молчу. )
А через арксинус мгновенно даётся абсолютно точный ответ: угол, у которого синус равен 0,4 — это arcsin 0,4 ! Просто по смыслу арксинуса: arcsin 0,4 — это и есть угол, синус которого равен 0,4. Разумеется, это не единственный угол, синус которого равен 0,4, но через арки и все остальные записываются в три секунды. Этим мы в тригонометрических уравнениях займёмся.
Если вы осознали этот забавный факт, то легко ответите на все подобные вопросы:
У какого угла синус равен -0,7 ?
У угла arcsin (-0,7).
У какого угла косинус равен 0,03 ?
У угла arccos 0,03.
У какого угла тангенс равен 3 ?
У угла arctg 3.
У какого угла котангенс равен 0,123 ?
У угла arcctg 0,123.
Вам кажутся странными эти вопросы? Привыкайте.) Это главные вопросы любого тригонометрического уравнения. Для решения таких уравнений арки подходят — лучше некуда.
Здесь важно понимать, что arcsin (-0,7), arctg 3 и т.п. — это просто какие-то числа, величины углов. И отличаются от привычных градусов или радианов только компактной формой записи. Например, можно записать (точно!) величину угла в виде:
А можно записать (приблизительно) тот же самый угол через градусы. Это будет:
≈ 23,57817847820183110402.
°
Осознали простой и важный смысл арков? Тогда порешаем самостоятельно. Примерчики от устных до хитрых.)
Для успешной работы с арксинусами, арккосинусами, арктангенсами и арккотангенсами чисел нужно знать существующие между ними связи. Эти связи удобно записывать в виде формул.
В этой статье мы разберем основные формулы с arcsin, arccos, arctg и arcctg, для удобства работы и запоминания разобьем эти формулы по группам, дадим их вывод и доказательство, а также покажем примеры использования.
Навигация по странице.
Первые четыре блока формул представляют собой основные свойства арксинуса, арккосинуса, арктангенса и арккотангенса числа, в указанной статье сайта www.cleverstudents.ru Вы найдете и доказательство этих формул, и примеры их применения. Здесь мы не будем повторяться, а лишь приведем сами формулы, чтобы они все были в одном месте.
Синус арксинуса, косинус арккосинуса и т.п.
Эти формулы очевидны и напрямую следуют из определений арксинуса, арккосинуса, арктангенса и арккотангенса числа.
Они показывают, чему равен синус арксинуса, косинус арккосинуса, тангенс арктангенса и котангенс арккотангенса.
Арксинус синуса, арккосинус косинуса и т.п.
Эти формулы также очевидны и следуют из определений арксинуса, арккосинуса, арктангенса и арккотангенса. Они определяют, чему равен арксинус синуса, арктангенс тангенса, арккосинус косинуса и арккотангенс котангенса. Заметим, что стоит быть очень внимательными к указанным условиям, так как если угол (число) α выходит за указанные пределы, то эти формулы использовать нельзя, ибо они дадут неверный результат.
Связи между arcsin, arccos, arctg и arcctg противоположных чисел
Формулы этого блока показывают, как арксинус, арккосинус, арктангенс и арккотангенс отрицательного числа выражаются через arcsin , arccos , arctg и arcctg противоположного ему положительного числа. Эти формулы позволяют избавиться от работы с арксинусами, арккосинусами, арктангенсами и арккотангенсами отрицательных чисел, и перейти к работе с этими аркфункциями от положительных чисел.
Сумма арксинуса и арккосинуса числа, сумма арктангенса и арккотангенса числа
Записанные формулы позволяют выразить арксинус числа через арккосинус этого же числа, арккосинус через арксинус, арктангенс через арккотангенс и арккотангенс через тангенс того же числа.
Синус от арккосинуса, тангенс от арксинуса и иже с ними
На практике очень полезными оказываются формулы, устанавливающие отношения между тригонометрическими функциями и аркфункциями. К примеру, может потребоваться вычислить синус арккосинуса некоторого числа, или тангенс арксинуса. Запишем список формул, позволяющих решать подобные задачи, дальше покажем примеры их применения и приведем доказательства этих формул.
Приведем несколько примеров использования записанных формул. Например, вычислим косинус арктангенса корня из пяти. Соответствующая формула имеет вид , таким образом .
Другой пример: используя формулу синуса арккосинуса вида , мы можем вычислить, к примеру, синус арккосинуса одной второй, имеем .
Заметим, что в этом примере вычисления можно провести и непосредственно, они приводят к тому же результату: (при необходимости смотрите статьи вычисление значений синуса, косинуса, тангенса и котангенса и вычисление значений арксинуса, арккосинуса, арктангенса и арккотангенса).
Осталось показать вывод записанных формул.
Формулы, находящиеся в ячейках таблицы на диагонали, есть формулы синуса арксинуса, косинуса арккосинуса и т.д. Они были получены ранее, поэтому не нуждаются в доказательстве, и их мы будем использовать для доказательства остальных формул. Более того, для вывода формул нам еще потребуются основные тригонометрические тождества.
Выведем сначала формулу синуса арккосинуса, синуса арктангенса и синуса арккотангенса. Из основных тригонометрических тождеств и , а также учитывая, что , легко получить следующие формулы , и , выражающие синус через косинус, синус через тангенс и синус через котангенс при указанных условиях. Подставляя arccos a вместо альфа в первую формулу, получаем формулу синуса арккосинуса; подставляя arctg a вместо альфа во вторую формулу, получаем формулу синуса арктангенса; подставляя arcctg a вместо альфа в третью формулу, получаем формулу синуса арктангенса.
Вот краткая запись вышеперечисленных выкладок:
- так как , то ;
- так как , то ;
- так как , то .
По аналогии легко вывести формулы косинуса арксинуса, косинуса арктангенса и косинуса арккотангенса:
- так как , то ;
- так как , то ;
- так как , то .
Теперь покажем вывод формул тангенса арксинуса, тангенса арккосинуса и тангенса арккотангенса:
- так как , то при ;
- так как , то при ;
- так как , то при .
Формулы котангенса арксинуса, котангенса арккосинуса и котангенса арктангенса легко получить из формул тангенса арксинуса, тангенса арккосинуса и тангенса арктангенса, поменяв в них числитель и знаменатель, так как .
arcsin через arccos, arctg и arcctg; arccos через arcsin, arctg и arcctg и т.п.
Из формул связи тригонометрических и обратных тригонометрических функций, разобранных в предыдущем пункте, можно получить формулы, выражающие одну из аркфункций через другие аркфункции, например, выражающие арксинус одного числа, через арккосинус, арктангенс и арккотангенс другого числа.
Перечислим их.
По этим формулам можно заменить арксинус на арккосинус, арктангенс и арккотангенс соответственно:
Вот формулы, выражающие арккосинус через арксинус, арктангенс и арккотангенс:
Формулы арктангенса через арксинус, арккосинус и арккотангенс имеют следующий вид:
Наконец, вот ряд формул с арккотангенсом:
Доказать все записанные формулы можно, отталкиваясь от определений арксинуса, арккосинуса, арктангенса и арккотангенса числа, а также формул из предыдущего пункта.
Для примера, докажем, что . Известно, что при указанных a представляет собой угол (число) от минус пи пополам до пи пополам. Более того, по формуле синуса арктангенса имеем . Следовательно, при −1 является арксинусом числа a по определению, то есть, .
По аналогии можно доказать и остальные формулы, представленные в данном пункте статьи.
В заключение этого пункта покажем пример использования полученных формул. Для примера вычислим с их помощью, чему равен синус арккотангенса минус корня из трех. Обратившись к формуле вида , выражающей арккотангенс через арксинус, при имеем .
В данном примере мы могли вычислить требуемое значение и непосредственно: . Очевидно, что мы получили тот же результат.
Понятно, что для вычисления требуемого значения мы могли поступить и иначе, воспользовавшись формулой, выражающей синус через котангенс вида . Тогда решение выглядело бы так: . А можно было и сразу применить формулу синуса арккотангенса вида : .
Некоторые другие формулы
Основные формулы тригонометрии и формулы синуса арксинуса, косинуса арккосинуса, тангенса арктангенса и котангенса арккотангенса позволяют вывести ряд формул с arcsin , arccos , arctg и arcctg , еще не упомянутых в данной статье. Но заметим, что они уже достаточно специфичны, и приходится их использовать далеко не часто. Более того, такие формулы удобнее каждый раз выводить, нежели запоминать.
Для примера возьмем формулу половинного угла . Если добавить условие, что величина угла альфа принадлежит отрезку от нуля до пи, то будет справедливо равенство . При указанном условии угол альфа можно заменить на арккосинус числа a , что нам даст формулу вида , откуда можно получить следующую формулу, выражающую арккосинус через арксинус: .
Используя другие тригонометрические формулы, можно обнаружить ряд других связей между arcsin , arccos , arctg и arcctg .
В заключение этого пункта хочется сказать, что практическую пользу представляют даже не столько сами эти специфические формулы, связывающие arcsin , arccos , arctg и arcctg , сколько умения выполнять преобразования, используемых при выводе этих формул. Продолжением темы служит раздел теории преобразование выражений с арксинусом, арккосинусом, арктангенсом и арккотангенсом.
Арктангенс- определение, свойства и формулы
Функции ctg, sin и cos сопровождаются арккотангенсом, арксинусом и арккосинусом.
Пары одинаково важны при вычислении тригонометрических выражений, интегралов. Арктангенс — это следствие arctg (y = arctg x). Чтобы найти значение числа х либо угла в радианах, рекомендуется использовать формулу tg a = m, свойства переменной величины. Дополнительно строится график.
Содержание
- Чётность и возрастание
- Противоположные числа
- Сложение величин
- Примеры и задачи
Чётность и возрастание
Чтобы получить график арктангенса, используется кривая тангенса путём замены местами осей ординат и абсцисс. Для устранения многозначности используется интервал, на котором функция монотонна. Это определение считается основным значением арктангенса. Если показатель отрицательный, значит функция нечётная.
Главное свойство arctg — бесконечность на его области определения (для числа х). Так как y = arctg x, где y равен нулю, тогда x = 0, значит и arctg 0. При выполнении расчётов используется таблица арктангенсов.
В ней указаны значения в градусах и радианах, при определённых данных аргумента. Если вычисления выполняются на математическом веб-ресурсе, пользователю предоставляется возможность бесплатно использовать онлайн-калькулятор и таблицу Брадиса. Можно вычислить синус, косинус, производную арктангенса в экселе либо с помощью языка программирования Паскаль.
Чтобы посчитать величину правильно, используются свойства функций. При помощи определения арксинуса выполняется уравнение sin (arcsin a)=a. Свойства других величин:
- косинус: cos (arccos a)=a;
- тангенс: tg (arctg a)=a;
- катангенс: ctg (arcctg a)=a.
В первых двух свойствах соблюдается условие −1≤a≤1. Если значение а выходит за указанные пределы, тогда функции нет смысла определять. Учитывая свойства синуса арксинуса, нельзя записать sin (arcsin8)=8, так как выражение sin (arcsin8) не имеет смысла. Аналогичный ответ получается, если необходимо определить разность арккосинуса sqrt (квадратный корень) из пяти.
Противоположные числа
Формулы, с помощью которых производится расчёт связи между производными: arcsin (-a)=-arcsina, arccos (-a)=пи-arccosa, arctg (-a)=-arctga, arcctg (-a)=пи-arcctga. Должно соблюдаться условие −1≤a≤1. Если а принадлежит промежутку −∞ до +∞, тогда arctg (−a), и arcctg (−a).
Чтобы доказать первое отношение с противоположными числами, рассматривается определение arcsin (−a). Число либо угол находится в пределах −π/2-π/2 и синус, равный −a. Учитывая определение арксинуса, можно записать следующее равенство: −π/2≤arcsin a≤π/2.
На основе свойств неравенств, выполняется умножение составных частей на -а. Заменив знаки неравенств на противоположные, можно произвести умножение на -1: −π/2≤−arcsin a≤π/2.
Необходимо доказать, что sin (−arcsin a)=−a. Для этого рекомендуется придерживаться свойств противоположных углов.
Из рассмотренных примеров можно сделать вывод: sin (−arcsin a)=−sin (arcsin a)=−a.
Аналогичным способом можно доказать, что arccos (−a)=π−arccos a. Используя определение производной функции, подтверждается, что π−arccos a — угол либо число, значение которого колеблется в пределах 0-π, а cos (π−arccos a)=−a. Придерживаясь определения арккосинуса числа, выполняется неравенство 0≤arccos a≤π.
Используя свойства неравенств, перемножаются поочерёдно его части на -1, сменяются знаки. Решается неравенство из сумм частей и числа пи, при этом сохраняются знаки: −π+π≤−arccosa+π≤0+π. Получается двойное выражение вида 0≤π−arccos a≤π.
Если средняя часть уравнения равняется −a, тогда, придерживаясь формулы приведения, записывается следующее равенство cos (π−arccos a)=−cos (arcos a). С помощью свойства производной косинуса завершается доказательство cos (π−arccos a)=−cos (arcos a)=−a. Аналогичной схемы рекомендуется придерживаться при рассмотрении свойств арккотангенсов и арктангенсов противоположных знаков.
Плюс утверждения — возможность избавиться от вычисления производных функций отрицательных чисел.
Сложение величин
Свойство, согласно которому устанавливается связь между arccos arcsin числа а, и между arctg и arcctg переменной, записывается следующим образом: arcsina+arccosa=пи/2, arctga+arcctga=пи/2. Чтобы доказать первую часть равенства, где расписана сумма производных синуса и косинуса числа а, делённая на два, необходимо рассмотреть следующую запись: arcsin a=π/2−arccos a.
Основываясь на определение арксинуса, можно доказать, что выражение верно, когда π/2−arccos a — угол (цифровое значение), лежащий на промежутке −π/2 до π/2, а синус угла равен а. Чтобы показать такую действительность, используется определение арккосинуса и равенство 0≤arccos a≤π. Последнее выражение считается справедливым.
С учётом свойств неравенств, умножаются части на минус один, изменяются знаки.
Полученные значения суммируются с числом π/2. Выполнив перечисленные действия, получается неравенство −π/2≤π/2−arccosa≤π/2. Чтобы показать, что sin (π/2−arccos a)=a, используется формула приведения, свойство производной функции косинус.
Доказано, что сумма arccos и arccos a равна π/2. Аналогично понадобится доказать, что сумма арккотангенса числа a и арктангенса равняется π/2. Главное предназначение таких свойств заключается в том, что они выражают арксинус через акрккосинус одного числа, а также арккотангенс через арктангенс и наоборот.
Примеры и задачи
Задания на свойства функций и их производных от числа либо угла можно решить с помощью разных программ: excel, pascal. Действия будут зависеть от условий задачи. Решение должно основываться на основные признаки, доказанные либо утверждённые равенства. Свойствам производных отвечают следующие выражения:
- arcsin (sinx)=x;
- arccos (cosx)=x;
- arctg (tgx)=x;
- arcctg (ctgx)=x.

Равенства при определённых условий следуют из определений функций числа. Чтобы понять утверждения, необходимо доказать: arcsin (sin α)=α, при этом должно выполняться требование −π/2≤α≤π/2. Аналогичным образом доказываются оставшиеся свойства. Если обозначить sin α=а, которое находится на отрезке [−1, 1], тогда получится выражение arcsin (sin α)=α, то есть arcsin a=α. Известно из условий задач, что −π/2≤α≤π/2. При решении через а обозначили sin α.
Поэтому можно записать, что arcsin a=α, что эквивалентно определению производной функции синуса. Вывод: arcsin (sin α)=α при условии, что −π/2≤α≤π/2. Разные свойства, связанные с синусом и косинусом, тангенсом и котангенсом, можно применить на практике.
Известно, аrcsin sin (-15)= -15 град., arccos (cos (2π/3))=2π/3, arctg (tg (0,2))=0,2. Нужно отметить, что выражение arcsin (sin α) справедливо на отрезке −π/2≤α≤π/2. Но равенство arcsin (sin α)=α имеет смысл только при соблюдении этого условия.
Нельзя утверждать, что arcsin (sin (7π/4))=7π/4, так как 7π/4 не принадлежит указанному интервалу (−π/2-π/2).
Запись arccos (cos α) правдивая, не только при условии, что 0≤α≤π. Выражение arccos (cos α)=α считается справедливым только при таком условии. Поэтому arccos (cos (−3π))=−3π не верно, так как −3π не принадлежит указанному отрезку. Схожие утверждения логичны и для arcctg (ctg α), arctg (tg α).
Используя определение всех функций, их признаки, тригонометрические формула можно получить другие равенства и уравнения, в которых отображается связь между arcsin, arcctg, arctg и arccos. Чтобы быстро решать задачи на данную тематику, рекомендуется выучить некоторые утверждённые равенства (arcsin 0=0, arccos 1=0, как угол arccos (-1)=180 градусов). Они описаны в специальных таблицах, которые можно найти в глобальной сети либо в учебниках по математике.
Предыдущая
ГеометрияМногогранники — виды, свойства и формулы
Следующая
ГеометрияГеометрические фигуры — виды с названиями и основные свойства
Калькулятор — arctan(4) — Solumaths
Арктан, расчет онлайн
Резюме:
Функция арктангенса позволяет вычислить арктангенс числа.
Функция арктангенса является обратной функцией функции тангенса.
arctan онлайн
Описание:
Функция arctan является обратной функцией касательная функция, это вычисляет арктангенс числа онлайн .
- Расчет арктангенса
- Пределы арктангенса Пределы арктангенса существуют при `-oo` (минус бесконечность) и `+oo` (плюс бесконечность):
Чтобы вычислить арктангенс числа, просто введите число и примените арктанг функция.
Например, чтобы вычислить арктангенс следующего числа 10, введите arctan(`10`), или сразу 10, если кнопка arctan уже появляется, возвращается результат 1.4711276743. 92)`.
- Функция арктангенса имеет предел в `-oo`, который равен `pi/2`.

- Функция арктангенса имеет предел в `+oo`, который равен `-pi/2`.
- `lim_(x->-oo)arctan(x)=pi/2`
- `lim_(x->+oo)arctan(x)=-pi/2`
| arctan(`-1`) | `3*pi/4` | |
| arctan(`-sqrt(3)/3`) | `5*pi/6` | `2*pi/3` |
| arctan(`0`) | `0` | |
| arctan(`sqrt(3)`) | `/3` | |
| arctan(`1`) | `pi/4` | |
| arctan(`sqrt(3)/3`) | `pi/6` |
Syntax :
arctan(x) , x — число. 92)`
Предельный арктангенс :
Калькулятор пределов позволяет вычислить пределы функции арктангенса.
предел арктангенса(x) is limit(`»arctan»(x)`)
Обратная функция арктангенса :
обратная функция арктангенса представляет собой функцию тангенса, отмеченную как тангенс.
Графический арктангенс :
Графический калькулятор может строить график функции арктангенса в интервале ее определения.
Свойство функции арктангенс :
Функция арктангенса является нечетной функцией.
Расчет онлайн с арктангенсом (арктангенсом)
См. также
Список связанных калькуляторов:
- Арккосинус : arccos.
Функция arccos позволяет вычислять арккосинус числа.
Функция arccos является обратной функцией функции косинуса. - Арксинус : арксинус. Функция arcsin позволяет вычислить арксинус числа. Функция arcsin является обратной функцией функции синуса.
- Арктангенс: арктангенс. Функция арктангенса позволяет вычислить арктангенс числа. Функция арктангенса является обратной функцией функции тангенса.
- Тригонометрический калькулятор: simple_trig. Калькулятор, который использует тригонометрическую формулу для упрощения тригонометрического выражения.
- Косинус: cos. Кос-тригонометрическая функция вычисляет косинус угла в радианах, градусов или градианов.
- Косеканс: косеканс. Тригонометрическая функция sec позволяет вычислить секанс угла, выраженного в радианах, градусах или градусах.
- Котангенс : котанг. Тригонометрическая функция котана для вычисления котана угла в радианах, градусов или градианов.
- Тригонометрическое расширение: expand_trigo.
Калькулятор позволяет получить тригонометрическое разложение выражения. - Тригонометрическая линеаризация : linearization_trigo. Калькулятор, позволяющий линеаризовать тригонометрическое выражение.
- Упрощение калькулятора: упрощение. Калькулятор, который может упростить алгебраическое выражение онлайн.
- Секанс : сек. Тригонометрическая функция sec позволяет вычислить секанс угла, выраженного в радианах, градусах или градусах.
- Синус : синус. Тригонометрическая функция sin для вычисления греха угла в радианах, градусов или градианов.
- Тангенс: коричневый. Тригонометрическая функция тангенса для вычисления тангенса угла в радианах, градусов или градианов.
Напоминания о курсах, калькуляторы, упражнения и игры: Тригонометрические функции, Вещественные функции
М. Г. Башмакова, В.Х. Салихов, “О мере иррациональности $\mathop{\mathrm{arctg}}\frac{1}{2}$”, Чебышевский сб.
, 20:4 (2019), 58–68| Чебышевский сб., 2019, Том 20, Выпуск 4, Страницы 58–68 (Ми чеб836) |
О мере иррациональности $\mathop{\mathrm{arctg}}\frac{1}{2}$
М. Г. Башмакова , В.Х. Салихов
Брянский государственный технический университет
Скачать полный текст в формате PDF (701 КБ)
Ссылки:
HTML
DOI: https://doi.org/10.22405/2226-8383-2018-20-4-58-68
Реферат: Оценка меры иррациональности для различных трансцендентных чисел является одним из направлений теории диофантова аппроксимации. Начиная с произведений . Борелем в конце 19 века были разработаны как общие методы оценки классов значений некоторых функций, так и специализированные подходы к оценке пекулярных чисел.
В частности, различные методы применялись для исследования арифметических свойств значений функции $\mathop{\mathrm{arctg}} x$.
92\right)=\frac {1}{z}\mathop{\mathrm{arctg}} z.$ Рассматриваемый ими подход использовал аппроксимацию гипергеометрической функции Гаусса полиномами типа Якоби и дал много конкретных результатов.
В последние десятилетия для вычисления различных чисел получили широкое распространение методы, в которых использовались симметричные относительно некоторых замен переменных интегралы [4], [5], [6]. Первоначально интеграл, качественно использующий свойство симметрии, применил В.Х.Салихов [4], который с его помощью получил новую оценку для $\ln 3.$. Чуть позже В.Х. Салихов [7] применил аналогичный симметризованный комплексный интеграл для получения новой оценки $\pi.$ В этой работе он использовал классическое равенство $\frac{\pi}{4}=\mathop{\mathrm{arctg}} \ frac{1}{2}+\mathop{\mathrm{arctg}} \frac{1}{3}.$ Этот же метод, т.е. комплексный симметризованный интеграл, использовала Е.
Б. Томашевская [8], оценив значения $\mathop{\mathrm{arctg}} \frac{1}{n}, n\in\mathbb N, n>2$ и некоторые из предыдущих результатов для таких чисел были улучшены ею. Позже Е. Б. Томашевская [9] разработал аналогичный интеграл для оценки $\mathop{\mathrm{arctg}}\frac{1}{2}$, который позволил доказать наилучший до сих пор результат $\mu(\mathop{\mathrm{arctg }} \frac{1}{2})\leq 11.7116\dots$.
В 2014 г. К. Ву и Л. Ванг [10] улучшили результат В. Х. Салихова для $\ln 3$, применяя интегральную конструкцию нового типа, которая также использовала свойство симметрии. В настоящей статье мы взяли идею К. Ву и Л. Ванга и применили ее к интегралу Е. Б. Томашевской. Это позволило улучшить арифметические свойства интеграла и получить лучший результат для степени иррациональности $\mathop{\mathrm{arctg}}\frac{1}{2}$.
Ключевые слова: мера иррациональности, гипергеометрическая функция, симметризованный интеграл.
| Финансовое агентство | Номер гранта |
| Российский фонд фундаментальных исследований | 18-01-00296_ |
Получено: 21.
06.2018
Принято: 20.12.2019
Тип документа: Статья
УДК: 511.3
Язык: Русский
Ссылка: М. Г. Башмакова, В. Х. Салихов, “О мере иррациональности $\mathop{\mathrm{arctg}}\frac{1}{2}$”, Чебышевский сб., 20:4 (2019), 58–68
Цитирование в формате AMSBIB
\RBibitem{BasSal19}
\by М.~Г.~Башмакова, В.~Х.~Салихов
\paper О мере иррациональности $\matth arctg}}\frac{1}{2}$
\jour Чебышевский сб.
\год 2019
\том 20
\выпуск 4
\страниц 58--68
\mathnet{http://mi.mathnet.ru/cheb836}
\crossref{https://doi.org/10.22405/2226 -8383-2018-20-4-58-68}
Варианты подключения:
Ссылки на статьи в Google Scholar: русские цитаты,
английские цитаты
Статей по теме в Google Scholar: русские статьи,
Английские статьи
Операторы — на обороте, онлайн-редактор LaTeX
Символы в математическом режиме обычно отображаются курсивом, но иногда имена некоторых функций требуют другого форматирования, которое можно выполнить с помощью операторов, определенных в LaTeX.
- 1 Введение
- 2 оператора в разных контекстах
- 3 Определение собственных операторов
- 4 Справочник
- 5 Дополнительная литература
Тригонометрические функции, логарифмы и другие могут быть записаны в документе с помощью некоторых специальных команд, как показано в следующем примере:
Примеры математических операторов:
\[
\sin(a + b) = \sin a \cos b + \cos b \sin a
.\]
Открыть этот пример на обратной стороне
В этом примере выводится следующий результат:
Команды будут печатать имя функции прямым (латинским) текстом вместо курсива.
Некоторые операторы могут принимать параметры, которые обрабатываются особым образом, например лимиты.
\documentclass{статья}
\usepackage{аммат}
\начать{документ}
Тестирование обозначений пределов
\[
\lim_{h \to 0} \frac{f(x+h)-f(x)}{h}
.\]
Этот оператор изменяется при использовании вместе с
текст \( \lim_{h \to 0} (x-h) \).
\конец{документ}
Открыть этот пример на обратной стороне
В этом примере выводится следующий результат:
|выход=
Пакет ammath нужен для макроса \to ; без этого пакета необходимо использовать \rightarrow .
Обратите внимание, что объявление лимита может включать индекс. Полный список доступных операторов см. в справочном руководстве.
Для некоторых языков могут быть добавлены или изменены некоторые команды, проверьте на главной странице статьи для конкретных языков.
Если вам нужно добавить персонализированный оператор, который будет отображаться латинским шрифтом вместо курсива, используйте \DeclareMathOperator
\documentclass{статья}
\usepackage{аммат}
\DeclareMathOperator{\arctg}{arctg}
\начать{документ}
Пользовательский оператор для арктангенса:
\[
\arctg \frac{\pi}{3} = \sqrt{3}
.\]
\конец{документ}
Открыть этот пример на обратной стороне
В этом примере выводится следующий результат:
Команда \DeclareMathOperator принимает два параметра, первый — это имя нового оператора, а второй — отображаемый текст.
Чтобы эта команда работала, вам нужно импортировать пакет amsmath в преамбуле с
\usepackage{amsmath}
Команду можно немного изменить, если вам нужно, чтобы ваш определенный оператор использовал индексы, как оператор \lim , в таком случае используйте \DeclareMathOperator* .
Полный список математических операторов
| Оператор | Визуализирует как |
|---|---|
\cos | потому что {\ displaystyle \ cos} |
\csc | csc{\displaystyle\csc} |
\exp | ехр {\ displaystyle \ exp} |
\ ker | кер {\ displaystyle \ ker} |
\ limsup | lim sup{\displaystyle \limsup} |
\мин | мин {\ displaystyle \ min} |
\ sinh | грех {\ displaystyle \ sin } |
\arcsin | arcsin {\ displaystyle \ arcsin} |
\ cosh | |
\град | град {\ Displaystyle \ град} |
\ НОД | gcd {\ displaystyle \ gcd} |
\ lg | lg {\ displaystyle \ lg} |
\ ln | пер {\ Displaystyle \ пер} |
\Пр | Pr{\displaystyle \Pr} |
\sup | суп |
Арктан | arctan {\ displaystyle \ arctan} |
\ кроватка | детская кроватка |
\дет | дет {\ displaystyle \ det} |
\ hom | хом {\ displaystyle \ hom } |
\лим | лим |
\лог | журнал {\ displaystyle \ log} |
\сек | сек |
| загар {\ displaystyle \ tan} |
\ arg | аргумент {\ displaystyle \ arg} |
\ coth | coth{\displaystyle\coth} |
\ тусклый | тусклый {\ displaystyle \ dim } |
\liminf | lim inf{\displaystyle \liminf} |
\max | макс {\ displaystyle \ max} |
\ sin | грех {\ Displaystyle \ грех} |
\ танх | tanh{\displaystyle \tanh} |
Дополнительную информацию см.
- Математические выражения
- Нижние и верхние индексы
- Дроби и двучлены
- Интервал в математическом режиме
- Интегралы, суммы и пределы
- Стиль отображения в математическом режиме
- Не очень короткое введение в LaTeX2ε
Формула Арктана — определение, формула, примеры задач
Тригонометрия — это исследование, связанное с оценкой и демонстрацией сторон и углов прямоугольного треугольника. Операции в тригонометрии осуществляются с помощью сторон, углов и тригонометрических соотношений. Эти тригонометрические отношения являются значениями тригонометрических функций, которые выводятся из отношений сторон и углов данного треугольника.
Тригонометрия имеет основные тригонометрические функции, и эти функции имеют свои собственные стандартные значения тригонометрического отношения под разными углами. Основные функции, которые необходимо знать, это синус, косинус, тангенс, котангенс, косеканс и сектанс.
И обратная сторона этих тригонометрических функций представлена префиксом «arc-», например, arcsin, arccos, arctan, arccot, arcsec и arccosec.
Что такое формула арктана?
Тангенс является тригонометрической функцией, и в прямоугольном треугольнике тангенс равен перпендикуляру к основанию (перпендикуляр/основание) и дает значение угла.
Arctan — это ссылка на обратную функцию тангенса. Символически арктан представлен тангенсом -1 x в тригонометрических уравнениях.
Предположим, тангенс угла θ равен x.
Тогда x =tanθ
=> θ =tan -1 x
Возьмем прямоугольный треугольник QPR с углом θ. Теперь, когда мы изучили, что касательная равна перпендикуляру к основанию.
т. е. тангенс θ =p/b
И, используя то же самое, мы можем определить значение угла и арктангенса.
As, tan θ =p/b
=> θ =tan -1 (p/b)
Список формул арктангенса
Формулы арктангенса могут быть получены из градусов или радианов.
Эти формулы помогают в решении уравнений обратной тригонометрии.
- θ =arctan(перпендикуляр/основание)
- arctan(-x)=-arctan(x) для всех x∈ R
- tan(arctan x)=x , для всех действительных чисел
- arctan(1/x )=π/2 – arctan(x) = arccot(x) ; если х>0
Существует также некоторая стандартная формула арктангенса для \pi. Эти формулы перечислены ниже.
- π/4 = 4 арктан(1/5) – арктан(1/239)
- π/4 = арктан(1/2) + арктан(1/3)
- π/4 = 2 арктан(1) /2) – арктан(1/7)
- π/4 = 2 арктан(1/3) +арктан(1/7)
- π/4 = 8 арктан(1/10) – 4 арктан(1/515) ) – arctan(1/239)
- π/4 = 3 arctan(1/4) + arctan(1/20) + arctan(1/1985)
Как мы выяснили выше, значение arctan может быть получено в градусах или радианах. Итак, приведенная ниже таблица иллюстрирует оценочные значения арктангенса.
| x | arctan(x) (in degree) | Arctan(x) (in radian) |
|---|---|---|
| -∞ | -90° | — π/2 |
| -3 | -71. 565° | -1.2490 |
| -2 | -63.435° | -1.1071 |
| -√3 | -60° | -π/ 3 |
| -1 | -45° | -π/4 |
| -1/√3 | -30° | -π/6 |
| -1/2 | -26.565° | -0.4636 |
| 0 | 0° | 0 |
| 1/2 | 26.565° | 0.4636 |
| 1/√3 | 30° | π/6 |
| 1 | 45° | π/4 |
| √3 | 60° | π/3 |
| 2 | 63.435° | 1.1071 |
| 3 | 71.565° | 1.2490 |
| ∞ | 90° | π/2 |
Sample Problems
Problem 1. Evaluate рыжевато-коричневый -1 (1).
Решение:
Дано
тангенс -1 (1)
И значение 1 можно также записать как
2) Теперь 1 = тангенс(40,0 9002 9)0005=>tan -1 (1) = tan -1 (45°)
=>45°
Задача 2.
Вычислить tan -1 (0,577).
Решение:
, данный
TAN -1 (0,577)
, а значение 0,577 также можно записать как
=> 0,577 = TAN (30 °)
,
=> 0,577 = TAN (30 °)
.
=>tan -1 (0,577)=tan -1 (30°)
=>30°
Задача 3. Оценить тангенс -1 (1.732).
Решение:
, данный
TAN -1 (1,732)
, а значение 1,732 также можно записать как
=> 1,732 = Тан (60 °)
,
99 => 1,732 = Тан (60 °),
=> 1,732 = Тан (60 °)
=>tan -1 (1,732)=tan -1 (60°)
=>60°
Задача 4. Вычислить тангенс -1 (0).
Решение:
Дано
tan -1 (0)
Значение 0 также может быть записано как
=>0 =tan(0°)
Теперь,
=>tan -1 (0)=tan -1 (0°)
=>0°
Оценка Пи с помощью ArcTan
Оценка Пи с помощью ArcTan Попав в ловушку психопата на необитаемом острове, вы задаетесь вопросом, есть ли более эффективный метод вычисления $\pi$ .
Ранее вы вычислили $\pi$, используя метод дартс. Размышляя о курсе тригонометрии, пройденном в средней школе Тейлора, вы вспоминаете, что 45-45-90 специальный прямоугольный треугольник.
SOHCAHTOA незабываем, и вы решаете найти
\[\tan \left( \alpha \right) = \frac{{напротив}}{{смежно}}\] Вы вычисляете: \[\tan \left( \alpha \right) = \frac{1}{1} = 1\] Итак, это означает, что, \[\arctan (1) = \frac{\pi }{4}\] С помощью некоторых основных алгебраических вычислений можно увидеть, что \[\pi = 4 \cdot \arctan \left( 1 \right)\] Вы решаете чтобы проверить этот метод и сравнить с предыдущим методом дартс.9{11}}}}{{11}} + …\] Что дает \[\arctan (1) = 1 — \frac{1}{3} + \frac{1}{5} — \frac{1}{7} + \frac{1}{9} — \ дробь{1}{{11}} + …\]
Шаг 1. Посмотрите на компьютерный код, который использует первые 2 члена арктангенса для оценки $\pi$ .
Нажмите на ссылку ниже и нажмите на символ. Это аппроксимирует $\pi$, используя первые 2 члена ряда арктангенса.
Нажмите здесь, чтобы открыть простой код в редакторе! Обратите внимание на 9-ю строку кода: arc_tan = t — pow(t,3)/3. Функция pow позволяет использовать показатели степени. Первая запись — это основание, а вторая — показатель степени (pow(base, exponent)). Ниже приведен клип с сайта p5js.org.
Шаг 2. Используйте первые 5 терминов в ряду ArcTan для оценки Pi
Измените этот код, чтобы оценить $\pi$ с первыми 5 членами ряда арктангенса.
Измените это:
arc_tan = t - мощность(t,3)/3
к этому:
arc_tan = t - pow(t,3)/3 + pow(t,5)/5 - pow(t,7)/7 + pow(t,9)/9
Обратите внимание: как только вы нажмете , появится белое окно предварительного просмотра. Последняя строка в белом предварительном просмотре — «abs(Est. — True). Это нахождение абсолютного значения ошибки или нашего оценочного значения Pi за вычетом истинного значения Pi.
Является ли наша оценка с 5 членами ближе к истинному Pi, чем с 2 сроками?
Если вы все сделаете правильно, ваш код должен вести себя так
Шаг 3. Используйте первые 10 терминов в серии ArcTan для оценки числа Pi
Измените этот код, чтобы оценить число Пи с помощью первых 10 членов ряда арктангенса.
Измените это:
arc_tan = t - pow(t,3)/3 + pow(t,5)/5 - pow(t,7)/7 + pow(t,9)/9
к этому:
arc_tan = t - pow(t,3)/3 + pow(t,5)/5 - pow(t,7)/7 + pow(t,9))/9 - pow(t,11)/11 + pow(t,13)/13 - pow(t,15)/15 + pow(t,17)/17 - pow(t,19)/19
Наша оценка с 10 членами ближе к истинному Пи, чем с 2 или 5 членами?
Шаг 4. Посмотрите на код, который зацикливается!
Щелкните здесь, чтобы открыть код, который зацикливается (не останавливается). Ниже вы узнаете больше о циклах.
Вы должны заметить, что мы продолжаем приближаться к Пи по мере увеличения количества терминов.
Другими словами, ошибка (abs(Est. — True) становится меньше. Теперь давайте посмотрим на некоторый код, который никогда не останавливается и продолжает добавлять все больше и больше терминов. Обратите внимание, что после того, как вы нажали , в предварительном просмотре теперь есть 4-я строка, которая сообщает нам, сколько терминов было запущено в нашем коде.0005
Вы должны увидеть это в окне предварительного просмотра.
Обратите внимание, как ошибка становится все меньше и ошибка Est. Число Пи становится ближе к Истинному Пи по мере увеличения количества терминов.
Шаг 5. Увеличьте частоту кадров
Глядя на 3-ю строку кода из последнего шага, вы должны увидеть это:
частота кадров = 10;
Теперь измените эту строку на эту:
частота кадров = 60;
Если вы все сделаете правильно, ваш код должен вести себя так
Код из шага 4 был со скоростью 10 кадров в секунду.
Максимальная скорость и скорость по умолчанию — 60 кадров в секунду. Скорость была снижена, чтобы облегчить чтение рассчитанных значений. Теперь, когда код работает со скоростью 60 кадров в секунду, он работает с той же скоростью, что и предыдущая активность с доской для дартс. Какой метод быстрее оценит число Пи?
Готово!
контрольных вопросов:
1. Как вы думаете, почему мы использовали arctan(1) для оценки $\pi$ ? Почему бы не использовать треугольник 30-60-90 или другой прямоугольный треугольник? Подумайте о том, как ведет себя функция f(x) = arctan(x), и посмотрите на некоторые особые прямоугольные треугольники (45-45-90, 30-60-90 и т. д.)
2. Можете ли вы выразить арктангенс (t) с помощью сигма?
Ниже показано, как вы записываете arcsin(t) и arccos(t) в сигма-нотации. Эти формулы справедливы для \[ — 1 \le t \le 1\]
\[\begin{массив}{l} \ arcsin \ left( t \ right) = t + \ frac {1} {2} \ left ( {\ frac {{{t ^ 3}}} {3}} \ right) + \ frac {{1 \ cdot 3}}{{2 \cdot 4}}\left( {\frac{{{t^5}}}{5}} \right) + \frac{{1 \cdot 3 \cdot 5}}{{2 \cdot 4 \cdot 6}}\left( {\frac{{{t^7}}}{7}} \right) + .
{2n + 1}}}
\конец{массив}\]Просмотрите код по ссылке, предоставленной на шаге 4. Можете ли вы определить, где в окне кодирования находится сигма-нотация из контрольного вопроса №3? Посмотрите короткое видео ниже, чтобы понять, что такое петля.
3. Используйте расширение для arccos в вопросе 2, чтобы вычислить цифры $\pi$ (Подсказка: используйте треугольник 30-60-90). Является ли использование arccos лучше (точнее и быстрее), чем использование arctan? Или это примерно так же? Это хуже?
4. Подумайте о методе «мишени для дротиков», который обсуждался в предыдущем упражнении по программированию. Является ли использование arctan(1) «лучшим» методом (более точным и быстрым), чем метод дартс? Объясните свои рассуждения.
Онлайн-калькулятор арктангенса (arctan) — С упражнениями и многим другим!
Онлайн-калькулятор арктангенса , т.
е. операция, обратная тангенсу, которая позволит вам узнать угол в градусах или радианах, связанный со значением этого тригонометрического отношения.
Работа этого калькулятора арктангенса очень проста. Все, что вам нужно сделать, это ввести значение арктангенса . Нажмите кнопку расчета и выберите, хотите ли вы получить результат в градусах (°) или в радианах (рад).
Разделы статей
- Что такое арктангенс?
- Аркотангенс числа 1
- Аркотангенс числа 0
- Аркотангенс числа бесконечности
- График функции арктангенса
- Таблица функции арктангенса
- Характеристики арктангенса
- Вычислить арктангенс в Excel
- Аркотангенс в калькуляторе iPhone
- Как пользоваться онлайн-калькулятором арктангенса
Что такое арктангенс?
Как мы уже говорили ранее, Arctangent является обратной функцией касательной :
Arctan ( Y ) = TAN -1 ( Y ), x + KLE ) это математическая формула или правильный способ написать, что мы собираемся вычислить арктангенс определенного значения.
Давайте посмотрим это на нескольких примерах ниже.
Аркотангенс 1
Например, мы знаем, что тангенс 45º равен 1, поэтому при применим арктангенс 1, мы получим начальный угол, равный 45 градусам:
arctan(1) = tan -1 (1) = 45°
Аркотангенс 0
Теперь мы собираемся сделать то же самое, что и в предыдущем примере, но на этот раз с нулевым значением, что является одним из наиболее распространенных вопросов, когда мы говорим об арктангенсе. функция. Мы собираемся вычислить арктангенс в этом случае и затем проанализировать полученный результат:
arctan(0) = tan -1 (0) = 0°
Является ли это ожидаемым результатом? Да, так как тангенс нуля также имеет это значение, то есть 0. Чтобы было понятнее, о чем мы говорим, ниже у вас есть график, на котором вы можете видеть, как функция проходит через начало координат , и то, что мы только что сказали, проверено.
Аркотангенс бесконечности
À Что такое арктангенс бесконечности? или минус бесконечность? В этом случае мы должны использовать ограничения для решения этой проблемы.
Если мы хотим вычислить арктангенс бесконечности мы видим, что предел равен π/2 или 90º:
Если мы хотим узнать арктангенс минус бесконечности то мы имеем то же самое результат, но со знаком минус.
График функции арктангенса
На этой диаграмме выше вы можете увидеть внешний вид функции арктангенса для ограниченного интервала значений, имеющих в направлении π/2 y hacia — π/2
Таблица функции Arctangent
Ниже у вас есть Arctangent Table , которая включает в себя . Наиболее часто используемые значения в тригонометрических проблемах или те, которые участвуют в этой тригономной функции:
Характеристики арктангенса
Мы заканчиваем раздел, посвященный этой тригонометрической функции, немного говоря о свойства арктангенса, включая его область определения, путь, производную и интеграл.
Домен
Область определения функции arctan(y) находится в диапазоне от от минус бесконечности до плюс бесконечности В этом интервале нет разреза. Следовательно, мы можем сказать, что включены все действительные числа:
arctan(y) :[-∞ , +∞]
Это видно на графике выше.
Tour
В этом случае, и мы можем проверить это на графике, путь идет от [- π/2 , π/2] до [- π/2 , π/2].
Благодаря двум предыдущим свойствам мы можем сказать, что функция арктангенса непрерывна и возрастает во всех R.
Производная арктангенса
Это формула, которую мы получаем при вычислении производной арктангенса x :
Если вместо x мы имеем функцию u, то можно сказать, что производная от арктангенса функции равна производной этой функции, деленной на единицу плюс функция в квадрате. Это выражается следующим образом:
Integral
Наконец, это Integral , полученный для функции:
Рассчитайте Arctangent в Excel
youtube.com/embed/2Mx7udjOrnI?feature=oembed» frameborder=»0″ allow=»accelerometer; autoplay; encrypted-media; gyroscope; picture-in-picture» allowfullscreen=»»/>Excel включает функцию, которая позволяет вам до расчета . . Просто откройте новую таблицу и введите в пустую ячейку следующую формулу:
=ATAN()
Вы должны принять во внимание, что между скобками вы должны написать значение числа, для которого вы хотите получить его арктангенс , кроме того, результат, который Excel выдает по умолчанию, будет выражается в радианах в диапазоне, охватывающем [- π/2 , π/2].
В качестве практического примера мы вычислим арктангенс 2 в Excel,
=ATAN(2)
Это даст нам результат 1,107148718 радиан, но если мы хотим выразить 1 в градусах нам нужно будет написать следующую формулу:
=ГРАДУСЫ(АТАН(2))
Это даст нам результат 63,43494882 градуса для арктангенса 2.
В зависимости от единицы измерения вам нужно будет используйте ту или иную формулу Excel, чтобы получить арктангенс числа 2. арктангенс числа .
Аркотангенс в калькуляторе iPhone
Калькулятор iPhone позволяет вам вычислить ATAN (обратное значение тангенса), но он использует неинтуитивный метод, поэтому вы можете не знать, как это сделать.
Для этого первое, что вы должны сделать, это отключить блокировку поворота экрана, если она у вас была включена. Затем войдите в приложение калькулятора, поверните мобильный телефон на 90º, чтобы перевести его в ландшафтный режим, и вы получите доступ к научная версия приложения.
Теперь нажмите кнопку с надписью 2 nd , напишите el número para el cual quieres saber su arcotangente y cuando lo hayas hecho, pulsa la tecla en la que está escrito «tan -1 «.
Как использовать онлайн-калькулятор арктангенса
youtube.com/embed/FqI0IQAbaIM?feature=oembed» frameborder=»0″ allow=»accelerometer; autoplay; encrypted-media; gyroscope; picture-in-picture» allowfullscreen=»»/>Вычислить арктангенс онлайн — это то, что многие из вас хотят, чтобы вам не приходилось использовать калькулятор, поэтому мы записали видео, в котором объясняем, как воспользуйтесь нашим калькулятором, чтобы не сомневаться в дальнейшем процессе.
Единственное, что вы должны иметь в виду, это то, что перед лицом вычислить арктэг десятичного числа , вы должны использовать в качестве разделителя a . вместо запятой (,) в противном случае будет приниматься только целая часть, и полученный угол не будет тем, который вы действительно ищете.
Nacho
Ingeniero de Telecomunicaciones dedicado al mundo de Internet. En Esta веб-те Ayudo hacer cálculos у преобразования sencillas дие кон-эль-Пасо-де-лос-Años се-нос-ха olvidado Cómo себе Hace. Si tienes dudas, déjame un commentario y te ayudaré.

)
)
)
)
)
)
)
)